Книга Объясняя мир. Истоки современной науки, страница 98 – Стивен Вайнберг

Авторы: А Б В Г Д Е Ж З И Й К Л М Н О П Р С Т У Ф Х Ч Ш Ы Э Ю Я
Книги: А Б В Г Д Е Ж З И Й К Л М Н О П Р С Т У Ф Х Ц Ч Ш Щ Ы Э Ю Я
Бесплатная онлайн библиотека LoveRead.ec

Онлайн книга «Объясняя мир. Истоки современной науки»

📃 Cтраница 98

Мы не можем увидеть мнимое изображение, просто посмотрев на него, потому что после того, как оно получается, лучи света снова рассеиваются. Чтобы сфокусироваться в точке на сетчатке расслабленного человеческого глаза, лучи света должны войти в него по более или менее параллельным направлениям. В телескопе Кеплера была вторая выпуклая линза, которую называют окуляром, чтобы фокусировать расходящиеся лучи света от мнимого изображения так, чтобы они параллельно выходили из телескопа. Повторив те же рассуждения для лучей света, идущих в противоположном направлении, мы увидим, что для того, чтобы лучи света, расходящиеся от точки, покидали телескоп по параллельным направлениям, окуляр должен находиться на расстоянии f′ от мнимого изображения, где f′ – это фокусное расстояние окуляра (см. рис. 17б). Это означает, что длина телескопа L должна составлять сумму фокусных расстояний:

L = f + f.

Промежуток Δγ’ направлений лучей света, входящих в глаз от различных точек источника, связан с размером мнимого изображения по формуле:

Иллюстрация к книге — Объясняя мир. Истоки современной науки [i_099.jpg]
Иллюстрация к книге — Объясняя мир. Истоки современной науки [i_100.jpg]

Рис. 17. Телескопы: а) формирование мнимого изображения. Две сплошные линии со стрелками обозначают лучи света, которые входят в линзу и разделены небольшим углом Δγ. Эти линии (и другие, параллельные им) фокусируются на расстоянии f от линзы на вертикальном отрезке длиной Δd, пропорциональной Δγ; б) линзы в телескопе системы Кеплера. Линии со стрелками обозначают путь лучей света, которые идут к слабой выпуклой линзе от далекого объекта по практически параллельным направлениям; фокусируются с помощью линзы в точке на расстоянии f от линзы; расходятся от этой точки и преломляются сильной выпуклой линзой, чтобы войти в глаз наблюдателя по параллельным направлениям.


Видимый размер объекта пропорционален углу, под которым видны противоположные стороны удаленного объекта, поэтому увеличение телескопа равно отношению угла, под которым лучи света от краев объекта, выходящие из окуляра, входят в глаз наблюдателя, к углу, под которым они входили бы, если бы телескопа не было:

Иллюстрация к книге — Объясняя мир. Истоки современной науки [i_101.jpg]

Подставив в это соотношение две формулы, которые мы вывели для определения размера Δd мнимого изображения, мы увидим, что увеличение равно:

Иллюстрация к книге — Объясняя мир. Истоки современной науки [i_102.jpg]

Чтобы получить значительное увеличение, нам нужно, чтобы линза в передней части телескопа была намного слабее окуляра, то есть f >>f′.

Это не так уж легко сделать. В соответствии с формулой фокусного расстояния, данной в техническом замечании 22, чтобы получить сильный стеклянный окуляр с коротким фокусным расстоянием f′, его линза должна иметь маленький радиус кривизны, что означает, что она либо должна быть очень маленькой, либо не должна быть тонкой (то есть толщина должна быть намного меньше радиуса кривизны). В обоих этих случаях окуляр не сможет хорошо фокусировать свет. Вместо этого мы можем взять слабую переднюю линзу с большим фокусным расстоянием f, но в таком случае длина телескопа L = f + f′ ≈ f должна быть очень большой. Галилею потребовалось некоторое время, чтобы внести в свой телескоп изменения, давшие ему достаточное увеличение для астрономических целей.

Галилео сделал свой телескоп немного другим – с вогнутым окуляром. Как уже упоминалось в техническом замечании 22, если разместить вогнутую линзу так, чтобы она сводила в одну точку входящие в нее лучи света, они будут выходить по параллельным направлениям. Фокусное расстояние – это расстояние позади линзы, на котором лучи света сходились бы в одной точке, если бы линзы не было. В телескопе Галилея была слабая выпуклая линза впереди с фокусным расстоянием f и сильная вогнутая линза с фокусным расстоянием f′ позади нее, перед тем местом, где должно было находиться мнимое изображение, если бы вогнутой линзы не было. Увеличение этого телескопа, опять же, составляет f/f ′, но его длина равна только f − f′ вместо f + f′.

24. Лунные горы

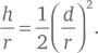
Темная и светлая стороны Луны разделяются границей дня и ночи, называемой терминатором – в этой области солнечные лучи падают по касательной к лунной поверхности. Когда Галилей начал наблюдать Луну в телескоп, он обратил внимание на яркие точки на темной стороне Луны вблизи терминатора и истолковал их как свет, отраженный вершинами гор достаточно высоких, чтобы на них попадал свет солнца, еще не вышедшего из-за горизонта для наблюдателя у подножия горы. Он смог рассчитать высоту этих гор с помощью геометрического построения, похожего на то, которое использовал аль-Бируни, чтобы измерить размер Земли. Начертим треугольник, вершинами которого будут центр Луны C, вершина горы на ночной стороне Луны M, которой едва лишь коснулся первый луч солнца, а также точка на поверхности T, где тот же самый луч скользит вдоль лунной равнины до того, как осветит гору (см. рис. 18). Это прямоугольный треугольник: отрезок TM – часть прямой, касательной к поверхности Луны в точке T, поэтому он должен быть перпендикулярен отрезку CT. Длина CT равна радиусу Луны r, а TM – расстояние между горой и линией терминатора. При условии, что гора имеет высоту h, длина отрезка CM (гипотенузы треугольника) равна r + h. По теореме Пифагора получаем:

Иллюстрация к книге — Объясняя мир. Истоки современной науки [i_103.jpg]

и значит,

Иллюстрация к книге — Объясняя мир. Истоки современной науки [i_104.jpg]

Поскольку высота любой горы на Луне значительно меньше размера самой Луны, то членом h² можно пренебречь и учитывать только 2rh. Разделив обе части уравнения на 2r², получаем:

Иллюстрация к книге — Объясняя мир. Истоки современной науки [i_105.jpg]

Так, измеряя отношение видимого расстояния вершины горы от терминатора к видимому радиусу Луны, Галилей смог найти отношение высоты горы к радиусу Луны.

Вход
Поиск по сайту
Ищем:
Календарь