Книга Объясняя мир. Истоки современной науки, страница 96 – Стивен Вайнберг

Авторы: А Б В Г Д Е Ж З И Й К Л М Н О П Р С Т У Ф Х Ч Ш Ы Э Ю Я
Книги: А Б В Г Д Е Ж З И Й К Л М Н О П Р С Т У Ф Х Ц Ч Ш Щ Ы Э Ю Я
Бесплатная онлайн библиотека LoveRead.ec

Онлайн книга «Объясняя мир. Истоки современной науки»

📃 Cтраница 96

Подставляя результат в формулу для cos φ, выражаем связь между углами θ и φ:

Иллюстрация к книге — Объясняя мир. Истоки современной науки [i_083.jpg]

Поскольку равенство справедливо при любых значениях угла θ, изменение в левой части равенства должно быть равно изменению в правой части при любом изменении θ. Допустим, мы производим бесконечно малое его изменение δθ (дельта тета). Чтобы рассчитать, насколько изменится φ, прибегнем к правилу дифференциального исчисления, согласно которому изменение любого угла α (это может быть θ или φ) на величину δα (дельта альфа) приводит к изменению cos α на величину – (δα/R) sin α. Оттуда же при изменении любой функции f, такой, например, как знаменатель в уравнении (5), на ничтожно малую величину δf изменение в отношении 1/f составляет −δf/f2. Приравняв соответствующие изменения с обеих сторон равенства, получаем:

Иллюстрация к книге — Объясняя мир. Истоки современной науки [i_084.jpg]

Теперь нам нужна формула, связывающая sin φ и sin θ. Для этого посмотрим на рис. 15 и обратим внимание, что вертикальная координата y точки на линии эллипса выражается как y = r + sin θ, а также y = r − sin φ, и, поделив их, сократив y, получаем:

Иллюстрация к книге — Объясняя мир. Истоки современной науки [i_085.jpg]

Совмещая уравнения (7) и (6), имеем:

Иллюстрация к книге — Объясняя мир. Истоки современной науки [i_086.jpg]

Итак, какова же площадь, описываемая радиус-вектором планеты, проведенным от Солнца, когда угол θ изменяется на δθ? Измеряя углы в градусах, мы можем сказать, что это площадь равнобедренного треугольника, две равные стороны которого имеют длину r+, а третья – маленькая часть дуги общей длиной 2πr+ окружности радиусом r+, равная 2πr+ × δθ/360°. Она равна

Иллюстрация к книге — Объясняя мир. Истоки современной науки [i_087.jpg]

В этой формуле поставлен минус, поскольку мы хотим, чтобы величина δA росла, если увеличивается угол φ; но если вспомнить, как мы определили эти углы, φ будет расти в том случае, если уменьшается θ, поэтому δφ больше нуля, когда δθ меньше нуля. Поэтому уравнение (8) можно переписать в виде:

Иллюстрация к книге — Объясняя мир. Истоки современной науки [i_088.jpg]

Принимая, что δA и δφ – описываемая первым радиус-вектором площадь и угол поворота второго радиус-вектора за ничтожно малый промежуток времени δt, и поделив обе части уравнения (10) на δt, найдем соответствие между описываемыми площадями и углами в виде равенства

Иллюстрация к книге — Объясняя мир. Истоки современной науки [i_089.jpg]

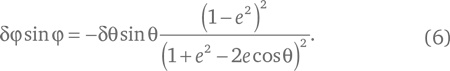
Нами получено точное равенство. Но теперь посмотрим, как оно себя ведет в том случае, когда e очень мал. Числитель второй дроби в уравнении (11) имеет вид (1 − e cos θ)² = 1 − 2e cos θ + e²cos²θ, так что слагаемые нулевого и первого порядка в числителе и знаменателе дроби одни и те же, и вся разница между числителем и знаменателем заключается в коэффициентах членов, пропорциональных e². И значит, уравнение (11) полностью соответствует искомому нами с самого начала равенству (1). Для большей определенности мы можем оставить в уравнении (11) члены порядка e²:

Иллюстрация к книге — Объясняя мир. Истоки современной науки [i_090.jpg]

где O (e³) обозначает члены, пропорциональные e³ или более высоким степеням e.

22. Фокусное расстояние линзы

Рассмотрим поставленную вертикально линзу с выпуклой передней стороной и плоской задней – похожие линзы Галилей и Кеплер использовали для изготовления объективов своих телескопов. Из криволинейных поверхностей легче всего полировать сферические, и мы допустим, что форма передней поверхности линзы – сегмент сферы радиусом r. Также в наших рассуждениях будем считать, что линза тонкая, то есть ее максимальная толщина значительно меньше, чем r.

Пусть луч света горизонтально падает на линзу параллельно ее оси и встречается с поверхностью линзы в точке P. В этом случае отрезок от расположенного позади линзы центра кривизны C сферической поверхности до точки P образует с центральной осью линзы угол θ. Линза преломит луч света таким образом, что после того, как он выйдет из ее толщи через заднюю поверхность, он пересечет ось под другим углом, который мы обозначим φ. Точку его пересечения с осью симметрии линзы обозначим F (см. рис. 16а). Нам требуется рассчитать расстояние f, которое отделяет эту точку от линзы, и доказать, что оно не зависит от θ, за счет чего все параллельные лучи, падающие на линзу горизонтально, пересекают ее центральную ось в точке F. Говорят, что в этом случае лучи фокусируются линзой в точке F, а расстояние f от нее до линзы называется фокусным расстоянием.

Для начала обратим внимание, что длина дуги вдоль передней поверхности линзы от оси линзы до точки P есть доля θ/360° от полной длины окружности, образующей сферы 2πr. С другой стороны, та же самая дуга составляет φ/360° от полной длины окружности радиусом f, которая равна 2πf. Будем считать, что эти две дуги одинаковые, и приравняем их:

Иллюстрация к книге — Объясняя мир. Истоки современной науки [i_091.jpg]

Теперь, сокращая в правой и левой частях 360° и 2π, получаем пропорцию:

Иллюстрация к книге — Объясняя мир. Истоки современной науки [i_092.jpg]

Значит, чтобы рассчитать фокусное расстояние линзы, нужно найти отношение φ к θ.

Для этого нужно обратить внимание, что именно происходит с лучом света внутри линзы (см. рис. 16б). Отрезок от центра кривизны C до точки P, в которой горизонтальный луч падает на линзу, перпендикулярен выпуклой сферической поверхности линзы в точке P, поэтому угол между этим перпендикуляром и лучом (то есть угол падения луча) равен θ. Как известно еще со времен Клавдия Птолемея, если угол θ достаточно мал (а для тонкой линзы так и есть), то угол α между направлением луча в толще стекла и тем же перпендикуляром (то есть угол преломления луча) пропорционален углу падения:

Вход
Поиск по сайту
Ищем:
Календарь