Книга Объясняя мир. Истоки современной науки, страница 100 – Стивен Вайнберг

Авторы: А Б В Г Д Е Ж З И Й К Л М Н О П Р С Т У Ф Х Ч Ш Ы Э Ю Я
Книги: А Б В Г Д Е Ж З И Й К Л М Н О П Р С Т У Ф Х Ц Ч Ш Щ Ы Э Ю Я
Бесплатная онлайн библиотека LoveRead.ec

Онлайн книга «Объясняя мир. Истоки современной науки»

📃 Cтраница 100
Иллюстрация к книге — Объясняя мир. Истоки современной науки [i_114.jpg]

Поделив обе части на m и на 1 + ζ, используем закон сохранения энергии и получим уравнение:

Иллюстрация к книге — Объясняя мир. Истоки современной науки [i_115.jpg]

Это та же самая зависимость между скоростью и перепадом высоты d = h0h, которая справедлива и для свободно падающего тела, с тем лишь отличием, что g заменяется на g/(1 + ζ). Если эту замену не учитывать, зависимость скорости шарика, катящегося вниз по наклонной плоскости, от проходимого перепада высоты та же самая, что и для тела в свободном падении. Это означает, что, изучая скатывание шаров по наклонной плоскости, можно доказать, что и свободно падающие тела движутся равноускоренно. Однако таким образом нельзя рассчитать ускорение, если не учитывать реальное значение коэффициента 1/(1 + ζ).

Путем сложных доказательств Гюйгенс сумел выразить время, которое требуется маятнику длины L, чтобы переместиться с одной стороны на другую с небольшим углом, равенством:

Иллюстрация к книге — Объясняя мир. Истоки современной науки [i_116.jpg]

Полученный Гюйгенсом результат означал, что это время в π раз больше, чем то время, которое нужно падающему телу, чтобы пройти расстояние d = L/2.

26. Параболические траектории

Предположим, что пулю или снаряд выстреливают горизонтально со скоростью v. Если не учитывать сопротивление воздуха, пуля будет продолжать лететь горизонтально с одной и той же скоростью и одновременно двигаться равноускоренно вертикально вниз. Поэтому спустя время t после выстрела она пролетит расстояние по горизонтали x = vt и потеряет высоту z, пропорциональную квадрату времени. Принято выражать это формулой z = gt²/2, где g = 9,8 м/с за секунду – эту константу измерил Гюйгенс уже после кончины Галилео Галилея. Поскольку t = x/v, значит:

Иллюстрация к книге — Объясняя мир. Истоки современной науки [i_117.jpg]

График значений этого уравнения, в котором одна координата пропорциональна квадрату другой, имеет вид параболы.

Обратите внимание, что если ружье было расположено на высоте h над землей, то пуля пролетит по горизонтали расстояние √(2v²h/g) до того, как упадет на землю в момент, когда вертикальный перепад высоты z сравняется с h. Даже не зная значений v или g, Галилей мог убедиться, что путь, проходимый пулей, представляет собой параболу, измеряя расстояния d для различных начальных высот ствола ружья h и проверяя, что d всегда остается пропорциональным квадратному корню из h. Неизвестно, проделывал ли Галилей такие эксперименты на самом деле, но есть свидетельства, что в 1608 г. он провел близкий по смыслу эксперимент, о котором мы кратко говорили в главе 12. В нем шарик скатывался по наклонной плоскости на стол с различных начальных высот H, затем свободно катился по оставшейся горизонтальной поверхности стола и, наконец, слетал с его края. Как показано в техническом замечании 25, скорость шарика в момент достижения им нижней точки наклонной плоскости равна:

Иллюстрация к книге — Объясняя мир. Истоки современной науки [i_118.jpg]

где g – обычное значение 9,8 м/с за секунду, а ζ – отношение энергии вращения шарика к его кинетической энергии, постоянная, зависящая от распределения массы внутри катящегося шарика. Для твердотельного шара равномерной плотности ζ = 2/5. Ту же самую скорость шарик имеет и в тот момент, когда соскакивает с края стола, поэтому горизонтальное расстояние, которое шарик после этого пролетит за то время, которое ему потребуется, чтобы упасть на глубину h, будет равно:

Иллюстрация к книге — Объясняя мир. Истоки современной науки [i_119.jpg]

Галилей не упоминал поправку на вращательное движение, выражаемую коэффициентом ζ, но он мог подозревать, что наличие такой поправки уменьшает горизонтальное расстояние, которое преодолевает шар, поскольку он не стал сравнивать это расстояние с величиной d = √(Hh), которую можно было бы ожидать, не учитывая ζ, а лишь проверял тот факт, что для фиксированной высоты стола h пройденное расстояние d было действительно пропорционально √(H) с точностью до нескольких процентов. По каким-то причинам Галилей так ни разу и не опубликовал результаты этого эксперимента.


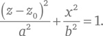
Для множества задач в астрономии и математике удобно представлять параболу как предельный частный случай эллипса, один фокус которого находится очень далеко от другого. Как демонстрировалось в техническом замечании 18, уравнение эллипса с большой осью 2a и малой осью 2b таково:

Иллюстрация к книге — Объясняя мир. Истоки современной науки [i_120.jpg]

В нем мы для удобства выполнения дальнейшего анализа заменили координаты x и у, которые использовали в техническом замечании 18, на z – z0 и x, соответственно, где z0 – произвольно выбираемая константа. Центр этого эллипса находится в точке с координатами z = z0 и x = 0. Как мы видели в замечании 18, фокус эллипса находится в точке z – z0 = −ae, x = 0, где e – эксцентриситет, определяемый как e² ≡ 1 − b²/a², а точка, в которой кривая находится ближе всего к этому фокусу, расположена в z − z0 = −a и x = 0. Удобнее обозначить именно эту точку наибольшего сближения с фокусом координатами z = 0 и x = 0, выбрав значение z0 равным a, и в этом случае ближайший фокус окажется расположен от нее на расстоянии z = z0ea = (1 – e) a. Теперь мы хотим сделать a и b бесконечно большими, так что противоположный фокус эллипса удалится в бесконечность и у нашей кривой не будет определенной максимальной координаты x, но при этом нужно, чтобы расстояние между фокусом и точкой наиболее тесного сближения с кривой (1– e) a оставалось бы конечным, так что мы задаем:

Иллюстрация к книге — Объясняя мир. Истоки современной науки [i_121.jpg]
Вход
Поиск по сайту
Ищем:
Календарь