Книга Объясняя мир. Истоки современной науки, страница 101 – Стивен Вайнберг

Авторы: А Б В Г Д Е Ж З И Й К Л М Н О П Р С Т У Ф Х Ч Ш Ы Э Ю Я
Книги: А Б В Г Д Е Ж З И Й К Л М Н О П Р С Т У Ф Х Ц Ч Ш Щ Ы Э Ю Я
Бесплатная онлайн библиотека LoveRead.ec

Онлайн книга «Объясняя мир. Истоки современной науки»

📃 Cтраница 101

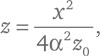
где l остается постоянной, в то время как a стремится к бесконечности. Так как e здесь предельно приближается к единице, малая полуось будет выражаться как:

Иллюстрация к книге — Объясняя мир. Истоки современной науки [i_122.jpg]

Принимая, что z0 = a, и используя эту формулу для b², приведем уравнение эллипса к следующему виду:

Иллюстрация к книге — Объясняя мир. Истоки современной науки [i_123.jpg]

Из левой части вычитаем слагаемое a²/a², а из правой – равную ему единицу. Затем обе части умножаем на a и получаем:

Иллюстрация к книге — Объясняя мир. Истоки современной науки [i_124.jpg]

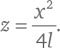
В случае, когда a значительно больше x, y или l, можно опустить первый член, и уравнение приходит к виду:

Иллюстрация к книге — Объясняя мир. Истоки современной науки [i_125.jpg]

Это то же самое уравнение, которое мы выше вывели для описания движения горизонтально выстреливаемой пули, если мы примем, что:

Иллюстрация к книге — Объясняя мир. Истоки современной науки [i_126.jpg]

так что фокус параболы F находится на расстоянии l = v²/2g ниже начальной позиции пули (см. рис. 19).

Иллюстрация к книге — Объясняя мир. Истоки современной науки [i_127.jpg]

Рис. 19. Параболическая траектория пули, которой стреляют горизонтально с возвышенности. Точка F – фокус параболы.


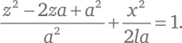
Параболы, как и эллипсы, можно рассматривать как конические сечения, но в случае параболы плоскость, которой рассекается конус, параллельна поверхности конуса. Принимая, что уравнение конуса, центральная ось которого совпадает с осью z, имеет вид √(x² + y²) = α (z − z0), а уравнение плоскости, параллельной данному конусу, просто y = α (z − z0), где z0 – произвольная константа, кривая пересечения конуса и плоскости удовлетворяет равенству:

Иллюстрация к книге — Объясняя мир. Истоки современной науки [i_128.jpg]

Сокращая члены α²z² и α²z0², переходим к виду:

Иллюстрация к книге — Объясняя мир. Истоки современной науки [i_129.jpg]

что совпадает с уже полученной нами формулой в случае, когда z0 = l/α². Обратите внимание, что парабола любой формы может быть получена сечением любого конуса при любом значении углового коэффициента α, потому что форма параболы (но не ее расположение или ориентация) целиком зависит лишь от аргумента l, выражаемого в единицах длины. Нам не нужен никакой безразмерный параметр наподобие α или эксцентриситета эллипса.

27. Вывод закона преломления света по аналогии с теннисным мячиком

Декарт попытался вывести закон преломления света, основываясь на предположении о том, что луч света преломляется при переходе из одной среды в другую подобно тому, как меняет направление движения теннисный мячик, пробивающий экран из тонкой ткани. Допустим, что такой мячик ударяется о ткань наклонно со скоростью vA. При этом он потеряет часть скорости и после прохождения сквозь ткань будет иметь скорость vB < vA, но мы не ожидаем, что это столкновение приведет к изменению компоненты скорости мячика, направленной вдоль экрана. Можно нарисовать прямоугольный треугольник, катеты которого будут соответствовать перпендикулярной и параллельной компонентам начальной скорости мячика по отношению к экрану, а гипотенуза будет обозначать полную скорость vA. Если исходная траектория расположена под углом i к перпендикуляру к поверхности, тогда компонента скорости параллельно ткани будет равна vA sin i (см. рис. 20). Аналогично, если после пробивания преграды путь мячика идет дальше под углом r к тому же перпендикуляру, то параллельная поверхности компонента скорости составит vB sin r. Вслед за Декартом предполагая, что пробивающий ткань мячик меняет лишь поперечную, а не продольную скорость, получаем:

Иллюстрация к книге — Объясняя мир. Истоки современной науки [i_130.jpg]

и, следовательно,

Иллюстрация к книге — Объясняя мир. Истоки современной науки [i_131.jpg]

где n является отношением

Иллюстрация к книге — Объясняя мир. Истоки современной науки [i_132.jpg]
Иллюстрация к книге — Объясняя мир. Истоки современной науки [i_133.jpg]

Рис. 20. Скорости теннисного мячика. Горизонтальная линия обозначает экран из ткани, которую пробивает теннисный мячик с начальной скоростью vA и скоростью после события vB. Прямые линии со стрелками показывают масштаб и направления этих скоростей. На этом чертеже путь мячика претерпевает излом, становясь ближе к перпендикуляру к поверхности, как это происходит в случае, когда луч света попадает в более плотную среду. Это показывает, что пробивание мячиком тканевого экрана явно уменьшает компоненту его скорости, направленную вдоль поверхности, в противоположность тому, что предполагал Декарт.


Уравнение (1) известно как закон Снеллиуса, верно описывающий случай преломления света. К несчастью, аналогия между светом и теннисным мячиком теряет смысл при рассмотрении уравнения (2), дающего нам величину n: дело в том, что для теннисных мячей vB меньше, чем vA, и уравнение (2) дает n < 1, тогда как в случае, когда свет проникает из воздушной среды внутрь стекла или воды, получается n > 1. Плохо и другое: нет оснований полагать, что для теннисного мячика отношение vB/vA действительно не зависит от углов i и r, поэтому пользы от уравнения (1) в таком виде мало.

Вход
Поиск по сайту
Ищем:
Календарь