Книга Объясняя мир. Истоки современной науки, страница 104 – Стивен Вайнберг

Авторы: А Б В Г Д Е Ж З И Й К Л М Н О П Р С Т У Ф Х Ч Ш Ы Э Ю Я
Книги: А Б В Г Д Е Ж З И Й К Л М Н О П Р С Т У Ф Х Ц Ч Ш Щ Ы Э Ю Я
Бесплатная онлайн библиотека LoveRead.ec

Онлайн книга «Объясняя мир. Истоки современной науки»

📃 Cтраница 104

Нетрудно вывести аналитическую формулу, дающую максимальное значение φ для любого коэффициента преломления n. Чтобы найти максимум φ, примем во внимание тот факт, что точке максимума соответствует такое значение угла падения i, при котором график зависимости φ от i горизонтален, а это означает, что ничтожно малое изменение δφ угла φ, происходящее вследствие ничтожно малого изменения δi угла i, равняется нулю с точностью до первого порядка величины δi. Чтобы использовать это условие, применим табличную формулу из курса дифференциального исчисления, согласно которой при ничтожно малом изменении δх аргумента x изменение arcsin x равно:

Иллюстрация к книге — Объясняя мир. Истоки современной науки [i_146.jpg]

где, если arcsin x измеряется в градусах, R = 360°/2π. Таким образом, когда угол падения изменяется на величину δi, угол отклонения меняется на:

Иллюстрация к книге — Объясняя мир. Истоки современной науки [i_147.jpg]

или, поскольку δ sin i = cos i δi/R,

Иллюстрация к книге — Объясняя мир. Истоки современной науки [i_148.jpg]

Таким образом, условие максимального значения φ таково, что:

Иллюстрация к книге — Объясняя мир. Истоки современной науки [i_149.jpg]

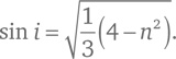
Возведя обе части в квадрат и используя правило cos²i = 1 − sin²i (которое является следствием из теоремы Пифагора), мы можем найти из этого выражения значение для sin i:

Иллюстрация к книге — Объясняя мир. Истоки современной науки [i_150.jpg]

При этом значении угла падения угол φ максимален:

Иллюстрация к книге — Объясняя мир. Истоки современной науки [i_151.jpg]

При n = 4/3 максимальный угол отклонения φ достигается при значении b/R = sin i = 0,86, для которого i = 59,4°, r = 40,2° и φmax = 42,0°.

30. Вывод закона преломления света на основе волнового принципа

Закон преломления света можно вывести, исходя из предположения о том, что свет движется по пути наименьшего времени, как было описано в техническом замечании 28. Но его также можно вывести и на основе волновой теории света. По мнению Гюйгенса, свет – это колебания какой-то среды, которая может либо быть заполнена прозрачной материей, либо представляться нам пустотой. Фронт возмущения этой среды являет собой прямую линию, которая движется вперед в направлении своего перпендикуляра со скоростью, характерной для среды, в которой он распространяется.

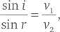
Иллюстрация к книге — Объясняя мир. Истоки современной науки [i_152.jpg]

Рис. 23. Преломление световой волны. И снова горизонтальная линия обозначает границу раздела двух прозрачных сред, в которых свет движется с разными скоростями. Отрезки с поперечными штрихами обозначают фронт волны в разные момены времени – когда передний край фронта волны входит в контакт с границей и когда задний край теряет контакт с границей. Прямые линии со стрелками указывают траектории перемещения переднего и заднего края волнового фронта.


Рассмотрим сегмент такого фронта возмущения длиной L в среде 1, который движется по направлению к границе со средой 2. Допустим, что направление его движения, совпадающее с перпендикуляром к фронту волны, образует с нормалью (перпендикуляром) к этой границе угол i. Когда передний край фронта касается границы раздела сред в точке A, задний его край B еще находится на некотором расстоянии (измеряемом вдоль направления движения волны) от границы, равном L tg i (см. рис. 23). Это значит, что теперь задняя граница фронта волны достигнет пограничной точки D через промежуток времени, равный L tg i/v1, где v1 – скорость распространения возмущения в среде 1. В течение того же времени передний край фронта возмущения будет перемещаться в среде 2 под углом r от перпендикуляра к границе раздела сред к точке C, которая расположена на расстоянии v2L tg i/v1, где v2 – скорость распространения возмущения в среде 2. Когда он пройдет этот путь, волновой фронт, расположенный под прямым углом к направлению своего движения в среде 2, протянется между точками C и D, образуя таким образом прямоугольный треугольник с вершинами A, С и D, в котором угол при вершине C прямой.

Катет AC длиной v2L tg i/v1 – противолежащий углу r в этом треугольнике. Его гипотенуза – отрезок AD, имеющий длину L/cos i (см. рис. 23). Отсюда:

Иллюстрация к книге — Объясняя мир. Истоки современной науки [i_153.jpg]

Вспомнив, что tg i = sin i/cos i, замечаем, что множители cos i и L сокращаются, оставляя:

Иллюстрация к книге — Объясняя мир. Истоки современной науки [i_154.jpg]

Или, если выразить это иначе,

Иллюстрация к книге — Объясняя мир. Истоки современной науки [i_155.jpg]

что и является формулой закона преломления света.

То, что волновая теория света, как доказал Гюйгенс, описывает явление преломления так же, как и принцип наименьшего времени следования, описанный Ферма, вовсе не случайно. Можно показать, что даже в том случае, когда волна движется сквозь неоднородную среду, в которой скорость светового луча плавно меняется в различных направлениях, а не резко на границе раздела сред, из волновой теории Гюйгенса следует, что луч между двумя точками всегда будет следовать по пути наименьшего времени.

31. Измерение скорости света

Предположим, что мы наблюдаем какой-либо процесс, происходящий с определенной периодичностью на некотором расстоянии от нас. Для определенности возьмем естественный спутник, обращающийся вокруг далекой планеты, хотя приведенный ниже анализ можно применить и к любому другому периодически повторяющемуся процессу. Предположим, что спутник достигает определенного положения на своей орбите в два следующих друг за другом момента времени t1 и t2. Например, это могут быть моменты времени, когда он появляется из-за планеты. Если орбитальный период этого спутника равен T, то t2 t1 = T. Это период, который мы наблюдаем при условии, что расстояние между нами и планетой постоянно. Но если это расстояние меняется, то он будет сдвигаться от Т в ту или иную сторону на значение, которое зависит от скорости света.

Вход
Поиск по сайту
Ищем:
Календарь