Онлайн книга «Объясняя мир. Истоки современной науки»
![]() Отсюда центростремительное ускорение Луны равно: ![]() По закону обратных квадратов это число должно было совпасть со значением ускорения свободного падения тел на поверхности Земли, 9,81 м/с за секунду, деленным на квадрат отношения радиуса орбиты Луны к радиусу земного шара: ![]() Сравнивая «наблюдаемое» значение центростремительного ускорения Луны (0,0022 м/с за секунду) и расчетное значение, которое он получил из закона обратных квадратов (0,0027 м/с за секунду), Ньютон заявил, что «они достаточно хорошо совпадают» [32]. Впрочем, позже он получил лучший результат. 34. Закон сохранения импульса
Пусть два движущихся объекта с массами m1 и m2 сталкиваются лоб в лоб. Если за некоторый короткий промежуток времени δt объект 1 воздействует на объект 2 с силой F, то за этот промежуток времени второй объект подвергнется действию ускорения a2, которое согласно Второму закону механики Ньютона будет удовлетворять равенству m2a2 = F. Его скорость v2 после этого изменится на величину: ![]() Согласно Третьему закону Ньютона второе тело подействует на первое с силой – F, которая равна по величине, но противоположна по направлению (на что указывает знак «минус»), поэтому в тот же промежуток времени скорость первого объекта v1 изменится в направлении, противоположном δv2, на величину: ![]() Тогда суммарное изменение общего импульса m1v1 + m2v2 равно: ![]() Конечно, два объекта могут оставаться в соприкосновении в течение более продолжительного времени, на протяжении которого сила не остается постоянной, но, так как суммарный импульс сохраняется в каждый малый промежуток времени, он сохраняется и все то время, пока длится столкновение. 35. Массы планет
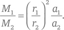
В эпоху Ньютона было известно, что четыре тела Солнечной системы обладают спутниками: у Юпитера, Сатурна и Земли есть свои спутники, а все планеты в то же время сами являются спутниками Солнца. По Закону всемирного тяготения тело массой M оказывает воздействие силой F = GMm/r² на спутник массой m на расстоянии r (где G – мировая гравитационная постоянная), поэтому по Второму закону Ньютона центростремительное ускорение, которое испытывает этот спутник, вычисляется как a = F/m = GM/r². Значение константы G и общие размеры Солнечной системы еще не были известны во времена Ньютона, но эти неизвестные величины не фигурируют в выражениях для отношений масс, рассчитываемых исходя из отношений расстояний и отношений центростремительных ускорений. Если два спутника тел с массами M1 и M2 обнаруживаются на некоторых расстояниях r1 и r2 от своих центральных тел, для которых известно их отношение r1/r2, а также отношение их центростремительных ускорений a1/a2, то отношение масс двух тел можно найти по формуле: ![]() В частности, если спутник движется с постоянной скоростью v по круговой орбите радиусом r, его орбитальный период равен T = 2πr/v, поэтому его центростремительное ускорение v²/r равняется a = 4π²r/T², отношение ускорений двух спутников a1/a2 = (r1/r2)/(T2/T1) 2, а отношение масс, выведенное из орбитальных периодов и отношений расстояний, равно: ![]() К 1687 г. все соотношения расстояний между планетами и Солнцем были хорошо известны, а зная по результатам наблюдений максимальные угловые расстояния между Юпитером и его спутником Каллисто, а также Сатурном и его спутником Титаном (который Ньютон называл «гюйгенсовым спутником»), можно было вывести отношения расстояния от Каллисто до Юпитера к расстоянию от Юпитера до Солнца, а также расстояния от Титана до Сатурна к расстоянию от Сатурна до Солнца. Расстояние от Луны до Земли было точно измерено в единицах земного диаметра, но не в отношении к расстоянию между Землей и Солнцем – тогда это значение еще не было известно. Ньютон использовал грубую прикидку для расстояний между Землей и Луной, а также между Землей и Солнцем, и использованные им значения несли значительную ошибку. Не считая этой конкретной проблемы, отношения скоростей и центростремительных ускорений планет и спутников хорошо выводились его методом из их известных орбитальных периодов обращения (на самом деле Ньютон взял для расчета период обращения Венеры, а не Юпитера или Сатурна, но это не повлияло на результат, поскольку соотношения расстояний от Солнца Венеры, Юпитера и Сатурна были достоверно известны). Как мы говорили в главе 14, полученные Ньютоном отношения масс Юпитера и Сатурна к массе Солнца были достаточно точны, тогда как рассчитанное им отношение массы Земли к массе Солнца было совершенно ошибочным. Об авторе
Стивен Вайнберг – физик-теоретик, лауреат Нобелевской премии, награжден Национальной медалью науки США, премией Льюиса Томаса за литературные произведения о науке, а также имеет большое количество других наград и почетных степеней. Он является членом Национальной академии наук США, Лондонского королевского общества, Американского философского общества. |
![Иллюстрация к книге — Объясняя мир. Истоки современной науки [i_162.jpg] Иллюстрация к книге — Объясняя мир. Истоки современной науки [i_162.jpg]](img/book_covers/072/72959/i_162.jpg)
![Иллюстрация к книге — Объясняя мир. Истоки современной науки [i_163.jpg] Иллюстрация к книге — Объясняя мир. Истоки современной науки [i_163.jpg]](img/book_covers/072/72959/i_163.jpg)
![Иллюстрация к книге — Объясняя мир. Истоки современной науки [i_164.jpg] Иллюстрация к книге — Объясняя мир. Истоки современной науки [i_164.jpg]](img/book_covers/072/72959/i_164.jpg)
![Иллюстрация к книге — Объясняя мир. Истоки современной науки [i_165.jpg] Иллюстрация к книге — Объясняя мир. Истоки современной науки [i_165.jpg]](img/book_covers/072/72959/i_165.jpg)
![Иллюстрация к книге — Объясняя мир. Истоки современной науки [i_166.jpg] Иллюстрация к книге — Объясняя мир. Истоки современной науки [i_166.jpg]](img/book_covers/072/72959/i_166.jpg)
![Иллюстрация к книге — Объясняя мир. Истоки современной науки [i_167.jpg] Иллюстрация к книге — Объясняя мир. Истоки современной науки [i_167.jpg]](img/book_covers/072/72959/i_167.jpg)
![Иллюстрация к книге — Объясняя мир. Истоки современной науки [i_168.jpg] Иллюстрация к книге — Объясняя мир. Истоки современной науки [i_168.jpg]](img/book_covers/072/72959/i_168.jpg)
![Иллюстрация к книге — Объясняя мир. Истоки современной науки [i_169.jpg] Иллюстрация к книге — Объясняя мир. Истоки современной науки [i_169.jpg]](img/book_covers/072/72959/i_169.jpg)