Книга Объясняя мир. Истоки современной науки, страница 105 – Стивен Вайнберг

Авторы: А Б В Г Д Е Ж З И Й К Л М Н О П Р С Т У Ф Х Ч Ш Ы Э Ю Я
Книги: А Б В Г Д Е Ж З И Й К Л М Н О П Р С Т У Ф Х Ц Ч Ш Щ Ы Э Ю Я
Бесплатная онлайн библиотека LoveRead.ec

Онлайн книга «Объясняя мир. Истоки современной науки»

📃 Cтраница 105

Предположим, что расстояние между нами и планетой в два следующих один за другим момента времени, когда спутник находится в одинаковом положении на своей орбите, равно d1 и d2. Следовательно, мы наблюдаем эти положения на орбите в моменты времени:

Иллюстрация к книге — Объясняя мир. Истоки современной науки [i_156.jpg]

где с – скорость света (здесь мы предполагаем, что расстоянием между спутником и планетой можно пренебречь). Если расстояние между нами и этой планетой изменяется со скоростью v, независимо от того, двигается ли только она или мы вместе с ней, тогда d2 d1 = vT. Таким образом, наблюдаемый период равен:

Иллюстрация к книге — Объясняя мир. Истоки современной науки [i_157.jpg]

Следствие этой формулы зависит от допущения, что v за временной промежуток T меняется очень мало, что в общем случае верно для Солнечной системы, но v может меняться более ощутимо за временные промежутки, характерные для более масштабных явлений. Когда находящаяся на большом расстоянии планета движется к нам или от нас, скорость v будет отрицательной или положительной и видимый период обращения ее спутника тоже будет соответственно уменьшаться или увеличиваться. Мы можем измерить T, наблюдая планету в момент времени, когда v = 0, а затем измерить скорость света, наблюдая за периодом времени, когда v имеет известное не нулевое значение.

Это основа определения скорости света, которую Гюйгенс вывел, опираясь на наблюдения Рёмера, исследующего изменения видимого орбитального периода спутника Юпитера Ио. Но если скорость света известна, то те же самые расчеты могут дать нам относительную скорость v отдаленного объекта. В частности, световые волны определенных линий спектра далекой галактики колеблются с характерным периодом T, связанным с их частотой ν и длинной волны λ в следующем соотношении T = 1/v = λ/c. Эти периоды известны из наблюдений спектров в лабораториях на Земле. Поскольку в начале XX в. было обнаружено, что спектральные линии очень далеких галактик указывают на большие длины волн и, следовательно, на более длинные периоды колебаний, можно сделать вывод, что эти галактики отдаляются от нас.

32. Центростремительное ускорение

Ускорение – это мера изменения скорости, но скорость любого тела характеризуется, с одной стороны, так называемым модулем скорости, то есть ее абсолютной величиной, с другой – направлением. Скорость тела, движущегося по окружности, постоянно меняет свое направление по мере поворота вокруг центра окружности, поэтому даже при постоянном модуле скорости оно движется с ускорением в сторону центра, которое называется центростремительным.

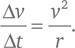
Давайте рассчитаем центростремительное ускорение для тела, которое обращается по окружности радиусом r с постоянной скоростью v. За короткий промежуток времени между моментами t1 и t2 тело переместится вдоль окружности на небольшое расстояние vΔt, где Δt равняется t2 t1, а радиус-вектор (стрелка, указывающая из центра окружности на тело) повернется на малый угол Δθ. Вектор скорости (стрелка, направленная в ту сторону, куда в данный момент движется тело, с длиной, пропорциональной текущему значению скорости) всегда направлен по касательной к окружности и, значит, перпендикулярно к радиус-вектору, так что если направление радиус-вектора меняется на угол Δθ, то и направление вектора скорости изменится на тот же самый малый угол. Таким образом, мы получаем два треугольника: сторонами первого являются радиус-векторы тела в моменты t1 и t2, а также хорда, соединяющая позиции тела в эти два момента. Стороны второго треугольника – векторы скорости в моменты t1 и t2, а также изменение скорости Δv, произошедшее за этот промежуток времени (см. рис. 24). Для небольших значений углов Δθ можно не учитывать разницу в длине хорды и дуги, соединяющих две последовательные позиции тела в моменты t1 и t2, поэтому можно считать длину хорды равной vΔt.

Иллюстрация к книге — Объясняя мир. Истоки современной науки [i_158.jpg]

Рис. 24. Расчет центростремительного ускорения. Вверху: векторы скорости тела, движущегося по окружности, в два различных момента времени, разделенных небольшим интервалом Δt. Внизу: те же два вектора скорости, совмещенные в треугольник, короткая сторона которого равна изменению скорости за тот же отрезок времени.


Мы видим, что эти два треугольника подобны (то есть они отличаются размерами, но не отношением сторон друг к другу), поскольку оба являются равнобедренными (у них по две одинаковые стороны), и между сторонами одинаковой длины один и тот же небольшой угол Δθ. Поэтому отношения короткой и длинной сторон в обоих треугольниках должны быть взаимно равны. То есть

Иллюстрация к книге — Объясняя мир. Истоки современной науки [i_159.jpg]

и, значит,

Иллюстрация к книге — Объясняя мир. Истоки современной науки [i_160.jpg]

Это – выведенная Гюйгенсом формула центростремительного ускорения.

33. Сравнение Луны с падающим телом

Древние считали, что между явлениями земными и небесными есть принципиальная разница. Ньютон решительно бросил вызов этой точке зрения, сопоставив центростремительное ускорение, которое испытывает Луна при движении по орбите вокруг Земли, с направленным вниз ускорением, которое испытывает тело, падающее вблизи земной поверхности.

Благодаря измерениям суточного параллакса Луны среднее расстояние между Луной и Землей уже было достоверно известно во времена Ньютона – оно составляет 60 радиусов Земли (точное значение равно 60,27). Рассчитывая размер земного радиуса, Ньютон принял, что 1’ (одна минута дуги) на экваторе равна одной миле, или 1024 м, поэтому для полной окружности в 360°, притом что в одном градусе 60’, радиус Земли составил:

Иллюстрация к книге — Объясняя мир. Истоки современной науки [i_161.jpg]

На самом деле средний радиус Земли равен 6 371 000 м – это различие стало наиболее значительным источником ошибки в расчете, выполненном Ньютоном. Орбитальный период Луны (сидерический месяц) был известен точно, он равен 27,3 суток, или 2 360 000 секунд. Значит, орбитальная скорость Луны равна:

Вход
Поиск по сайту
Ищем:
Календарь