Онлайн книга «Теоретический минимум по Computer Science. Все что нужно программисту и разработчику»
|
Например, суммирование первых пяти нечетных чисел записывается так:
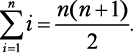
Обратите внимание: чтобы получить слагаемые 1, 3, 5, 7 и 9, вместо i последовательно используются числа от 0 до 4 включительно. Следовательно, сумма первых n натуральных чисел составляет: ![]() Когда гениальному математику Гауссу было 10 лет, он устал от суммирования натуральных чисел одного за другим по порядку и нашел такой ловкий прием: ![]() Догадаетесь, каким образом Гаусс это обнаружил? Объяснение приема приведено в приложении II. Давайте посмотрим, как можно его использовать для решения следующей задачи. Недорогой перелет
Любая пара дней между сегодняшним (день 1) и последним (день 30) допустима при условии, что возвращение будет в тот же день или позже, чем отъезд. Следовательно, 30 пар начинаются с 1-го дня, 29 пар начинаются со 2-го дня, 28 — с 3-го и т. д. И есть всего одна пара, приходящаяся на последний день. Таким образом, 30 + 29 + … + 2 + 1 — общее количество пар, которое нужно рассмотреть. Мы можем записать это как
Кроме того, мы можем решить эту задачу при помощи комбинаций, выбрав 2 дня из 30. Порядок не имеет значения: на более ранний день придется отъезд, на более поздний — возвращение. Таким образом, мы получим
1.4. Вероятность
Принципы случайности помогут вам разобраться в азартных играх, предсказании погоды или проектировании системы резервного хранения данных с низким риском отказа. Принципы эти просты, и все же большинство людей понимают их неправильно. ![]() Рис. 1.8. Случайное число [20] Сейчас мы применим наши навыки решения комбинаторных задач к вычислению вероятностей. Затем мы узнаем, каким образом различные типы событий используются для решения задач. Наконец, мы увидим, почему азартные игроки проигрываются в пух и прах. Подсчет количества возможных вариантов
Бросок кубика имеет шесть возможных результатов: 1, 2, 3, 4, 5 и 6. Шансы получить 4, следовательно, составляют
![]() Она работает, потому что каждый возможный исход одинаково вероятен. Кубик имеет ровные грани, и человек, бросающий его, нас не обманывает. Еще одно формирование команды
Мы уже убедились, что существует 223 = 8 388 608 возможных вариантов состава команды. Вам придется рассчитывать только на себя в одном-единственном случае: если в результате подбрасывания монеты выпадут 23 «решки» подряд. Вероятность такого события равна P(никто) =
|
![Иллюстрация к книге — Теоретический минимум по Computer Science. Все что нужно программисту и разработчику [i_068.jpg] Иллюстрация к книге — Теоретический минимум по Computer Science. Все что нужно программисту и разработчику [i_068.jpg]](img/book_covers/092/92372/i_068.jpg)
![Иллюстрация к книге — Теоретический минимум по Computer Science. Все что нужно программисту и разработчику [i_069.jpg] Иллюстрация к книге — Теоретический минимум по Computer Science. Все что нужно программисту и разработчику [i_069.jpg]](img/book_covers/092/92372/i_069.jpg)
![Иллюстрация к книге — Теоретический минимум по Computer Science. Все что нужно программисту и разработчику [i_070.jpg] Иллюстрация к книге — Теоретический минимум по Computer Science. Все что нужно программисту и разработчику [i_070.jpg]](img/book_covers/092/92372/i_070.jpg)
![Иллюстрация к книге — Теоретический минимум по Computer Science. Все что нужно программисту и разработчику [i_071.jpg] Иллюстрация к книге — Теоретический минимум по Computer Science. Все что нужно программисту и разработчику [i_071.jpg]](img/book_covers/092/92372/i_071.jpg)
![Иллюстрация к книге — Теоретический минимум по Computer Science. Все что нужно программисту и разработчику [i_072.jpg] Иллюстрация к книге — Теоретический минимум по Computer Science. Все что нужно программисту и разработчику [i_072.jpg]](img/book_covers/092/92372/i_072.jpg)
![Иллюстрация к книге — Теоретический минимум по Computer Science. Все что нужно программисту и разработчику [i_073.jpg] Иллюстрация к книге — Теоретический минимум по Computer Science. Все что нужно программисту и разработчику [i_073.jpg]](img/book_covers/092/92372/i_073.jpg)
![Иллюстрация к книге — Теоретический минимум по Computer Science. Все что нужно программисту и разработчику [i_074.jpg] Иллюстрация к книге — Теоретический минимум по Computer Science. Все что нужно программисту и разработчику [i_074.jpg]](img/book_covers/092/92372/i_074.jpg)
![Иллюстрация к книге — Теоретический минимум по Computer Science. Все что нужно программисту и разработчику [i_075.jpg] Иллюстрация к книге — Теоретический минимум по Computer Science. Все что нужно программисту и разработчику [i_075.jpg]](img/book_covers/092/92372/i_075.jpg)
![Иллюстрация к книге — Теоретический минимум по Computer Science. Все что нужно программисту и разработчику [i_076.jpg] Иллюстрация к книге — Теоретический минимум по Computer Science. Все что нужно программисту и разработчику [i_076.jpg]](img/book_covers/092/92372/i_076.jpg)
![Иллюстрация к книге — Теоретический минимум по Computer Science. Все что нужно программисту и разработчику [i_077.jpg] Иллюстрация к книге — Теоретический минимум по Computer Science. Все что нужно программисту и разработчику [i_077.jpg]](img/book_covers/092/92372/i_077.jpg)
![Иллюстрация к книге — Теоретический минимум по Computer Science. Все что нужно программисту и разработчику [i_078.jpg] Иллюстрация к книге — Теоретический минимум по Computer Science. Все что нужно программисту и разработчику [i_078.jpg]](img/book_covers/092/92372/i_078.jpg)
![Иллюстрация к книге — Теоретический минимум по Computer Science. Все что нужно программисту и разработчику [i_079.jpg] Иллюстрация к книге — Теоретический минимум по Computer Science. Все что нужно программисту и разработчику [i_079.jpg]](img/book_covers/092/92372/i_079.jpg)
![Иллюстрация к книге — Теоретический минимум по Computer Science. Все что нужно программисту и разработчику [i_080.jpg] Иллюстрация к книге — Теоретический минимум по Computer Science. Все что нужно программисту и разработчику [i_080.jpg]](img/book_covers/092/92372/i_080.jpg)
![Иллюстрация к книге — Теоретический минимум по Computer Science. Все что нужно программисту и разработчику [i_081.jpg] Иллюстрация к книге — Теоретический минимум по Computer Science. Все что нужно программисту и разработчику [i_081.jpg]](img/book_covers/092/92372/i_081.jpg)