Онлайн книга «Теоретический минимум по Computer Science. Все что нужно программисту и разработчику»
|
Чтобы их все прослушать, потребуется 343 часа, так что вам лучше убедить девушку найти идеальную мелодию каким-нибудь другим путем. Перестановки без повторений
Факториал n! дает завышенное число способов упорядочивания n элементов, если некоторые из них одинаковые. Лишние комбинации, где такие элементы просто оказываются на других позициях, не должны учитываться. Если в последовательности из n элементов r идентичны, существуют r! способов переупорядочить их. То есть n! включает r! таких комбинаций. Чтобы получить число уникальных комбинаций, нужно разделить n! на этот излишек. Например, число различных сочетаний букв E в CODE ENERGY равняется
Игры с ДНК
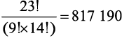
Ученый хочет выполнить моделирование на всех возможных сегментах ДНК, где есть такое количество пар нуклеотидов. Сколько задач ему предстоит выполнить? Сначала вычислим все возможные комбинации этих 23 пар нуклеотидов. Затем, чтобы учесть повторяющиеся пары нуклеотидов A-T и G-C, разделим результат на 9! и на 14! и получим:
Но задача еще не решена. Нужно учесть ориентацию пар нуклеотидов. Следующие два примера не тождественны: ![]() Для каждой последовательности из 23 пар нуклеотидов существует 223 различных сочетаний ориентации. Потому общее количество комбинаций равно: 817 190 × 223 ≈ 7 трлн. И это только для крошечной последовательности всего из 23 пар нуклеотидов, где мы знаем распределение! Наименьшая воспроизводимая ДНК, которая известна на сегодняшний день, — это ДНК крохотного цирковируса свиней, и в ней 1800 пар нуклеотидов. Код ДНК и жизнь в целом с технологической точки зрения по-настоящему удивительны. Просто с ума можно сойти: ДНК человека имеет около 3 млрд пар нуклеотидов, продублированных в каждой из 3 трлн клеток тела. Комбинации
Представьте колоду из 13 игральных карт только пиковой масти
Бином
![]() Конструкция в левой части (запись бинома) читается как «из n по m» [18]. Шахматные ферзи
Шахматная доска поделена на 64 клетки, 8 × 8. Число способов выбрать 8 клеток из 64 составляет
Правило суммирования
Подсчет сумм последовательностей часто встречается при решении комбинаторных задач. Суммы последовательных чисел обозначаются прописной буквой «сигма» (
|
![Иллюстрация к книге — Теоретический минимум по Computer Science. Все что нужно программисту и разработчику [i_055.jpg] Иллюстрация к книге — Теоретический минимум по Computer Science. Все что нужно программисту и разработчику [i_055.jpg]](img/book_covers/092/92372/i_055.jpg)
![Иллюстрация к книге — Теоретический минимум по Computer Science. Все что нужно программисту и разработчику [i_056.jpg] Иллюстрация к книге — Теоретический минимум по Computer Science. Все что нужно программисту и разработчику [i_056.jpg]](img/book_covers/092/92372/i_056.jpg)
![Иллюстрация к книге — Теоретический минимум по Computer Science. Все что нужно программисту и разработчику [i_057.jpg] Иллюстрация к книге — Теоретический минимум по Computer Science. Все что нужно программисту и разработчику [i_057.jpg]](img/book_covers/092/92372/i_057.jpg)
![Иллюстрация к книге — Теоретический минимум по Computer Science. Все что нужно программисту и разработчику [i_058.jpg] Иллюстрация к книге — Теоретический минимум по Computer Science. Все что нужно программисту и разработчику [i_058.jpg]](img/book_covers/092/92372/i_058.jpg)
![Иллюстрация к книге — Теоретический минимум по Computer Science. Все что нужно программисту и разработчику [i_059.jpg] Иллюстрация к книге — Теоретический минимум по Computer Science. Все что нужно программисту и разработчику [i_059.jpg]](img/book_covers/092/92372/i_059.jpg)
![Иллюстрация к книге — Теоретический минимум по Computer Science. Все что нужно программисту и разработчику [i_060.jpg] Иллюстрация к книге — Теоретический минимум по Computer Science. Все что нужно программисту и разработчику [i_060.jpg]](img/book_covers/092/92372/i_060.jpg)
![Иллюстрация к книге — Теоретический минимум по Computer Science. Все что нужно программисту и разработчику [i_061.jpg] Иллюстрация к книге — Теоретический минимум по Computer Science. Все что нужно программисту и разработчику [i_061.jpg]](img/book_covers/092/92372/i_061.jpg)
![Иллюстрация к книге — Теоретический минимум по Computer Science. Все что нужно программисту и разработчику [i_062.jpg] Иллюстрация к книге — Теоретический минимум по Computer Science. Все что нужно программисту и разработчику [i_062.jpg]](img/book_covers/092/92372/i_062.jpg)
![Иллюстрация к книге — Теоретический минимум по Computer Science. Все что нужно программисту и разработчику [i_063.jpg] Иллюстрация к книге — Теоретический минимум по Computer Science. Все что нужно программисту и разработчику [i_063.jpg]](img/book_covers/092/92372/i_063.jpg)
![Иллюстрация к книге — Теоретический минимум по Computer Science. Все что нужно программисту и разработчику [i_064.jpg] Иллюстрация к книге — Теоретический минимум по Computer Science. Все что нужно программисту и разработчику [i_064.jpg]](img/book_covers/092/92372/i_064.jpg)
![Иллюстрация к книге — Теоретический минимум по Computer Science. Все что нужно программисту и разработчику [i_065.jpg] Иллюстрация к книге — Теоретический минимум по Computer Science. Все что нужно программисту и разработчику [i_065.jpg]](img/book_covers/092/92372/i_065.jpg)
![Иллюстрация к книге — Теоретический минимум по Computer Science. Все что нужно программисту и разработчику [i_066.jpg] Иллюстрация к книге — Теоретический минимум по Computer Science. Все что нужно программисту и разработчику [i_066.jpg]](img/book_covers/092/92372/i_066.jpg)
![Иллюстрация к книге — Теоретический минимум по Computer Science. Все что нужно программисту и разработчику [i_067.jpg] Иллюстрация к книге — Теоретический минимум по Computer Science. Все что нужно программисту и разработчику [i_067.jpg]](img/book_covers/092/92372/i_067.jpg)