Онлайн книга «Теоретический минимум по Computer Science. Все что нужно программисту и разработчику»
|
1.3. Комбинаторика
Важно уметь считать вещи правильно, ведь в случае с вычислительными задачами вам придется делать это много раз
[16]. Математика далее будет еще более сложной, чем раньше, но не пугайтесь. Кое-кто полагает, что ему не стать хорошим программистом только потому, что, как ему кажется, математик он так себе. Если хотите знать, лично я завалил школьный экзамен по математике
Никто не захочет зубрить формулы и пошаговые процедуры, если он уже сдал выпускные экзамены. Если такая информация вдруг понадобится — ее легко отыскать в Интернете. Расчеты не обязательно делать от руки на бумаге. От программиста в первую очередь требуется интуиция. Познания в комбинаторике и умение решать комбинаторные задачи развивает эту интуицию. Так что давайте поработаем с несколькими инструментами по порядку: с умножением, перестановками, сочетаниями и суммами. Правило умножения
Если некоторое событие происходит n разными способами, а другое событие — m разными способами, то число разных способов, которыми могут произойти оба события, равно n × m. Вот пара примеров. Взлом кода
Две цифры можно набрать 100 способами (00–99), букву — 26 способами (A — Z). Следовательно, всего существует 100 × 26 = 2600 PIN-кодов. В худшем случае, чтобы подобрать правильный, нам придется перепробовать их все. Через 2600 секунд (то есть через 43 минуты) мы его точно взломаем. Формирование команды
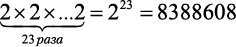
До начала набора есть всего один вариант состава — вы сами. Далее каждый бросок монеты удваивает число возможных вариантов. Это должно быть сделано 23 раза, таким образом, вам нужно посчитать, чему равно 2 в степени:
Обратите внимание, что один из этого множества вариантов — когда в команде состоите только вы. Перестановки
Если у нас n элементов, то мы можем упорядочить их n! разными способами. Факториал числа имеет взрывной характер, даже с малыми значениями n он дает огромные числа. На случай, если вы с ним не знакомы: n! = n × (n — 1) × (n — 2) … × 2 × 1. Легко заметить, что n! — это общее количество способов упорядочивания n элементов. Сколькими способами можно выбрать первый элемент из n? После того как он будет выбран, сколькими способами можно выбрать второй? Сколько вариантов останется для третьего? Подумайте об этом некоторое время, а потом переходите к примерам [17]. Коммивояжер
Любая перестановка 15 городов дает новый маршрут. Факториал — это количество различных комбинаций, так что всего существует 15! = 15 × 14 × … × 1 ≈ 1,3 трлн маршрутов. Число микросекунд, которые уйдут на их вычисление, примерно эквивалентно 15 дням. Будь у вас не 15, а 20 городов, вам бы понадобилось 77 тысяч лет. Совершенная мелодия
Мы должны подсчитать количество комбинаций по 6 нот из 13. Чтобы исключить неиспользуемые ноты, нужно остановить вычисление факториала после шестого множителя. Формально
![]() ![]() = 1 235 520 мелодий. |
![Иллюстрация к книге — Теоретический минимум по Computer Science. Все что нужно программисту и разработчику [i_045.jpg] Иллюстрация к книге — Теоретический минимум по Computer Science. Все что нужно программисту и разработчику [i_045.jpg]](img/book_covers/092/92372/i_045.jpg)
![Иллюстрация к книге — Теоретический минимум по Computer Science. Все что нужно программисту и разработчику [i_046.jpg] Иллюстрация к книге — Теоретический минимум по Computer Science. Все что нужно программисту и разработчику [i_046.jpg]](img/book_covers/092/92372/i_046.jpg)
![Иллюстрация к книге — Теоретический минимум по Computer Science. Все что нужно программисту и разработчику [i_047.jpg] Иллюстрация к книге — Теоретический минимум по Computer Science. Все что нужно программисту и разработчику [i_047.jpg]](img/book_covers/092/92372/i_047.jpg)
![Иллюстрация к книге — Теоретический минимум по Computer Science. Все что нужно программисту и разработчику [i_048.jpg] Иллюстрация к книге — Теоретический минимум по Computer Science. Все что нужно программисту и разработчику [i_048.jpg]](img/book_covers/092/92372/i_048.jpg)
![Иллюстрация к книге — Теоретический минимум по Computer Science. Все что нужно программисту и разработчику [i_049.jpg] Иллюстрация к книге — Теоретический минимум по Computer Science. Все что нужно программисту и разработчику [i_049.jpg]](img/book_covers/092/92372/i_049.jpg)
![Иллюстрация к книге — Теоретический минимум по Computer Science. Все что нужно программисту и разработчику [i_050.jpg] Иллюстрация к книге — Теоретический минимум по Computer Science. Все что нужно программисту и разработчику [i_050.jpg]](img/book_covers/092/92372/i_050.jpg)
![Иллюстрация к книге — Теоретический минимум по Computer Science. Все что нужно программисту и разработчику [i_051.jpg] Иллюстрация к книге — Теоретический минимум по Computer Science. Все что нужно программисту и разработчику [i_051.jpg]](img/book_covers/092/92372/i_051.jpg)
![Иллюстрация к книге — Теоретический минимум по Computer Science. Все что нужно программисту и разработчику [i_052.jpg] Иллюстрация к книге — Теоретический минимум по Computer Science. Все что нужно программисту и разработчику [i_052.jpg]](img/book_covers/092/92372/i_052.jpg)
![Иллюстрация к книге — Теоретический минимум по Computer Science. Все что нужно программисту и разработчику [i_053.jpg] Иллюстрация к книге — Теоретический минимум по Computer Science. Все что нужно программисту и разработчику [i_053.jpg]](img/book_covers/092/92372/i_053.jpg)
![Иллюстрация к книге — Теоретический минимум по Computer Science. Все что нужно программисту и разработчику [i_054.jpg] Иллюстрация к книге — Теоретический минимум по Computer Science. Все что нужно программисту и разработчику [i_054.jpg]](img/book_covers/092/92372/i_054.jpg)