Онлайн книга «Код. Тайный язык информатики»
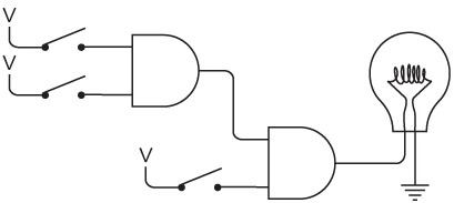
![]() Реле такого типа называется двухпозиционным. Оно имеет два электрически противоположных выхода. Когда на одном из них есть напряжение, на другом его нет. Как и в случае с переключателями, два реле могут быть соединены последовательно. ![]() Выход верхнего реле подает напряжение на нижнее. Как видите, когда оба переключателя разомкнуты, лампочка не горит. Попробуем замкнуть верхний переключатель. ![]() Лампочка не загорается, поскольку нижний переключатель все еще разомкнут, и второе реле не срабатывает. Попробуем разомкнуть верхний переключатель и замкнуть нижний. ![]() Лампочка по-прежнему не горит. Ток до нее не доходит, потому что не сработало первое реле. Единственным способом зажечь лампочку является замыкание обоих переключателей. ![]() Теперь активированы оба реле, и между источником питания, лампочкой и землей течет ток. Подобно двум соединенным последовательно переключателям, эти два реле решают небольшую логическую задачу. Лампа загорается только в случае срабатывания обоих реле. Такая схема последовательного соединения двух реле называется вентилем И. Для его обозначения на схемах инженеры-электрики используют специальный символ, который выглядит так. ![]() Это первый из четырех основных логических вентилей. Вентиль И имеет два входа (слева на приведенной выше схеме) и один выход (справа). Вам часто будет встречаться именно такое изображение вентиля И — со входами слева и выходом справа. Дело в том, что людям, привыкшим читать слева направо, удобнее изучать электрические схемы также слева направо. Однако входы логического вентиля И можно было бы изобразить вверху, справа или внизу. Исходная схема с двумя последовательно соединенными реле, двумя переключателями и лампочкой выглядела так. ![]() С использованием символа вентиля И эта же схема принимает следующий вид. ![]() Обратите внимание: символ вентиля И не только используется вместо двух соединенных последовательно реле, но также подразумевает, что верхнее реле подключено к источнику питания и оба реле соединены с землей. Опять же, лампочка загорается только в случае замыкания верхнего и нижнего переключателей. Вот почему эта схема называется вентилем И. Входы вентиля И не обязательно должны быть соединены с переключателями, а выход — подключен к лампочке. В данном случае мы имеем дело просто с напряжением на входах и выходе. Например, выход одного вентиля И может быть входом второго вентиля И. ![]() Эта лампочка загорится лишь в случае замыкания всех трех переключателей. Только если будут замкнуты верхние два переключателя, выход первого вентиля И активирует первое реле во втором вентиле И. Нижний переключатель активирует второе реле во втором вентиле И. Если мы выразим отсутствие напряжения в виде 0, а его наличие — в виде 1, то зависимость выходного сигнала вентиля И от входных сигналов будет следующей. ![]() Как и в случае с двумя последовательно соединенными переключателями, работу вентиля И можно описать с помощью небольшой таблицы. Можно делать вентиль И с более чем двумя входами. Например, вы последовательно соединили три реле. ![]() Лампочка загорится при замыкании всех трех переключателей. Подобная конфигурация обозначается таким символом. ![]() Такая схема называется трехвходовым вентилем И. Следующий логический вентиль состоит из двух реле, соединенных параллельно. ![]() Важно: выходы двух реле соединены друг с другом. Этот объединенный выход подает питание на лампочку. Для того чтобы лампочка загорелась, достаточно активировать одно из двух реле. Например, если мы замкнем верхний переключатель, лампочка загорится, поскольку получает питание от левого реле. ![]() Аналогично лампочка загорится, если мы оставим верхний выключатель разомкнутым, но замкнем нижний. ![]() Лампочка также загорится при замыкании обоих переключателей. ![]() В данном случае мы находимся в ситуации, когда лампочка загорается при замыкании верхнего или нижнего переключателя. Ключевым здесь является слово или, поэтому данная схема называется вентилем ИЛИ. Для его обозначения инженеры-электрики используют такой символ. ![]() Он несколько похож на символ вентиля И, за исключением закругления стороны входов. На выходе вентиля ИЛИ есть напряжение, если оно подается на один из двух его входов. Если мы обозначим отсутствие напряжения 0, а его наличие — 1, то вентиль ИЛИ сможет находиться в четырех возможных состояниях. |
![Иллюстрация к книге — Код. Тайный язык информатики [i_137.jpg] Иллюстрация к книге — Код. Тайный язык информатики [i_137.jpg]](img/book_covers/084/84993/i_137.jpg)
![Иллюстрация к книге — Код. Тайный язык информатики [i_138.jpg] Иллюстрация к книге — Код. Тайный язык информатики [i_138.jpg]](img/book_covers/084/84993/i_138.jpg)
![Иллюстрация к книге — Код. Тайный язык информатики [i_139.jpg] Иллюстрация к книге — Код. Тайный язык информатики [i_139.jpg]](img/book_covers/084/84993/i_139.jpg)
![Иллюстрация к книге — Код. Тайный язык информатики [i_140.jpg] Иллюстрация к книге — Код. Тайный язык информатики [i_140.jpg]](img/book_covers/084/84993/i_140.jpg)
![Иллюстрация к книге — Код. Тайный язык информатики [i_141.jpg] Иллюстрация к книге — Код. Тайный язык информатики [i_141.jpg]](img/book_covers/084/84993/i_141.jpg)
![Иллюстрация к книге — Код. Тайный язык информатики [i_142.jpg] Иллюстрация к книге — Код. Тайный язык информатики [i_142.jpg]](img/book_covers/084/84993/i_142.jpg)
![Иллюстрация к книге — Код. Тайный язык информатики [i_143.jpg] Иллюстрация к книге — Код. Тайный язык информатики [i_143.jpg]](img/book_covers/084/84993/i_143.jpg)
![Иллюстрация к книге — Код. Тайный язык информатики [i_144.jpg] Иллюстрация к книге — Код. Тайный язык информатики [i_144.jpg]](img/book_covers/084/84993/i_144.jpg)
![Иллюстрация к книге — Код. Тайный язык информатики [i_145.jpg] Иллюстрация к книге — Код. Тайный язык информатики [i_145.jpg]](img/book_covers/084/84993/i_145.jpg)
![Иллюстрация к книге — Код. Тайный язык информатики [i_146.jpg] Иллюстрация к книге — Код. Тайный язык информатики [i_146.jpg]](img/book_covers/084/84993/i_146.jpg)
![Иллюстрация к книге — Код. Тайный язык информатики [i_147.jpg] Иллюстрация к книге — Код. Тайный язык информатики [i_147.jpg]](img/book_covers/084/84993/i_147.jpg)
![Иллюстрация к книге — Код. Тайный язык информатики [i_148.jpg] Иллюстрация к книге — Код. Тайный язык информатики [i_148.jpg]](img/book_covers/084/84993/i_148.jpg)
![Иллюстрация к книге — Код. Тайный язык информатики [i_149.jpg] Иллюстрация к книге — Код. Тайный язык информатики [i_149.jpg]](img/book_covers/084/84993/i_149.jpg)
![Иллюстрация к книге — Код. Тайный язык информатики [i_150.jpg] Иллюстрация к книге — Код. Тайный язык информатики [i_150.jpg]](img/book_covers/084/84993/i_150.jpg)
![Иллюстрация к книге — Код. Тайный язык информатики [i_151.jpg] Иллюстрация к книге — Код. Тайный язык информатики [i_151.jpg]](img/book_covers/084/84993/i_151.jpg)
![Иллюстрация к книге — Код. Тайный язык информатики [i_152.jpg] Иллюстрация к книге — Код. Тайный язык информатики [i_152.jpg]](img/book_covers/084/84993/i_152.jpg)
![Иллюстрация к книге — Код. Тайный язык информатики [i_153.jpg] Иллюстрация к книге — Код. Тайный язык информатики [i_153.jpg]](img/book_covers/084/84993/i_153.jpg)