Книга Укрощение бесконечности. История математики от первых чисел до теории хаоса, страница 43 – Йен Стюарт

Авторы: А Б В Г Д Е Ж З И Й К Л М Н О П Р С Т У Ф Х Ч Ш Ы Э Ю Я
Книги: А Б В Г Д Е Ж З И Й К Л М Н О П Р С Т У Ф Х Ц Ч Ш Щ Ы Э Ю Я
Бесплатная онлайн библиотека LoveRead.ec

Онлайн книга «Укрощение бесконечности. История математики от первых чисел до теории хаоса»

📃 Cтраница 43

В 1807 г. Жозеф Фурье представил свой доклад о путях распространения тепла Французской академии наук, но его не утвердили из-за серьезных недоработок. Чтобы подтолкнуть ученого к дальнейшим исследованиям, Академия даже учредила к 1812 г. Большую премию за изучение теплопроводности. Поскольку о награде стало известно заранее, Фурье уже в 1811 г. успел оформить свои идеи в виде доклада на соискание премии и выиграл ее. Но его труд всё равно жестоко критиковали за недостаток логической строгости, и Академия не разрешила его публиковать в виде научной статьи. Фурье, в ярости из-за такого отношения, написал труд «Аналитическая теория тепла», изданный в 1822 г. Туда почти полностью и без изменений вошел доклад 1811 г., но было и много новых материалов. Наконец в 1824 г. ученого оценили по заслугам: он был избран секретарем Академии и уже без помех опубликовал в виде научной статьи свой доклад от 1811 г.

Первым шагом Фурье был вывод ДУЧП для описания теплопроводности. Там имелось множество упрощений и допущений: тело должно быть однородным (с одинаковыми свойствами по всему объему) и изотропным (его свойства не зависят от направления) и т. д. В итоге он получил выражение, которое теперь известно как уравнение теплопроводности. Оно описывает распределение температуры в любой точке трехмерного тела и в зависимости от времени. Уравнение теплопроводности очень похоже с виду на уравнение Лапласа и на волновое уравнение, но с частной производной по времени в первой степени, а не во второй. Это небольшое отличие очень важно для математики ДУЧП в целом.

Были выведены такие же уравнения для одномерных и двумерных тел (стержень и плоскость), полученные удалением переменной z (для двумерного тела) и y (для одномерного). Фурье решил уравнение теплопроводности для стержня (чью длину мы принимаем равной π), на концах которого сохраняется неизменная температура, с условием, что в момент времени t = 0 (начальное состояние) температура в точке x стержня принимает вид:

b1 sin x + b2 sin 2x + b3 sin 3x + …

(выражение, полученное с помощью предварительных вычислений), и сделал вывод, что температуру должно описывать схожее, но более сложное выражение, где каждый член умножается на соответствующую экспоненциальную функцию. Аналогия с гармониками в волновом уравнении поразительна. Но там каждая мода задана обычной синусоидой, колеблется бесконечно с одинаковой амплитудой, а здесь каждая синусоидальная мода распределения температуры убывает экспоненциально по времени, и более высокие моды убывают быстрее.

КАК РАБОТАЮТ РЯДЫ ФУРЬЕ

Типичный пример разрывной функции – прямоугольная волна S(x), которая принимает значение 1, когда −π < x ≤ 0, и равна −1, когда 0 < x ≤ π, и имеет период 2π. Применив формулу Фурье к прямоугольной волне, мы получаем ряд S(x) = sin x + 1/3 sin 3x + 1/5 sin 5x + …

Синусоиды складываются, как мы видим на схеме ниже.

Иллюстрация к книге — Укрощение бесконечности. История математики от первых чисел до теории хаоса [i_136.jpg]

Представление с помощью ряда Фурье прямоугольной волны: вверху ее компоненты, синусоиды, внизу – их сумма


Хотя волна прямоугольной формы разрывная, каждое ее приближение будет непрерывно. Но по мере добавления всё больших членов ряда колебания растут, делая график рядов Фурье всё более крутым около точек разрыва. Здесь мы видим, как бесконечный ряд непрерывных функций может превратиться в разрывную функцию.

Причина такого различия в том, что в волновом уравнении энергия сохраняется, и поэтому колебание не затухает. А в уравнении теплопроводности тепло распространяется по всему стержню и теряется на его концах, потому что они охлаждаются.

Результатом работы Фурье стало то, что мы можем разложить начальное распределение температуры в ряд Фурье – сумму синусов и косинусов, похожую на приведенную выше формулу, а значит, способны немедленно описать, как тепло распространяется по телу со временем. Фурье считал очевидным, что такое выражение можно составить для любого начального распределения температуры, – и здесь-то начинались его неприятности. Мало кому из современников ученого было интересно, какое отношение теплопроводность имеет к волнам. Ее изучение казалось гораздо более сложным занятием.

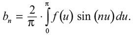
Доводы Фурье в пользу возможности разложить функцию на синусы и косинусы были слишком сложными, запутанными и недостаточно строгими. Ему пришлось воспользоваться всеми разделами математики, чтобы в конце концов получить простые выражения для коэффициентов b1, b2, b3 и т. д. Обозначив начальное распределение температуры как f(x), он получил:

Иллюстрация к книге — Укрощение бесконечности. История математики от первых чисел до теории хаоса [i_137.jpg]

В 1777 г. Эйлер уже вывел эту формулу во время работы над волновым уравнением для звука и доказал ее с помощью мудрого наблюдения, заметив, что разные моды, sin mπx и sin nπx, являются ортогональными, т. е.

Иллюстрация к книге — Укрощение бесконечности. История математики от первых чисел до теории хаоса [i_138.jpg]

равен 0, если m и n – разные целые числа, не равные 0, т. е. на самом деле равен π/2, если m = n. Если предположить, что f(x) можно разложить в ряд Фурье, то, умножив обе стороны выражения на sin nx и проинтегрировав, мы избавимся от всех слагаемых, кроме одного, и в остатке получим формулу Фурье для bn.

Гидродинамика

Ни одно обсуждение ДУЧП в математической физике не будет полным без упоминания гидродинамики. И правда, эта область очень важна для практического применения, поскольку уравнения описывают, как вода обтекает подводные лодки или воздух – воздушные суда, и даже показывают сопротивление воздуха во время гонок «Формулы-1».

Эйлер сделал первые шаги в этой области в 1757 г., выведя ДУЧП для движения жидкости с нулевой вязкостью («липкостью»). Это уравнение остается в силе для некоторых жидкостей, но из-за излишней упрощенности не очень практично. Уравнения для вязких жидкостей вывел в 1821 г. Клод Навье, а потом их получил в 1829 г. Пуассон. Уравнения включают различные частные производные скорости движения жидкости. В 1845 г. Джордж Стокс вывел те же уравнения исходя из базовых физических принципов, и в итоге они получили название уравнения Навье – Стокса.

Вход
Поиск по сайту
Ищем:
Календарь