Книга Укрощение бесконечности. История математики от первых чисел до теории хаоса, страница 40 – Йен Стюарт

Авторы: А Б В Г Д Е Ж З И Й К Л М Н О П Р С Т У Ф Х Ч Ш Ы Э Ю Я
Книги: А Б В Г Д Е Ж З И Й К Л М Н О П Р С Т У Ф Х Ц Ч Ш Щ Ы Э Ю Я
Бесплатная онлайн библиотека LoveRead.ec

Онлайн книга «Укрощение бесконечности. История математики от первых чисел до теории хаоса»

📃 Cтраница 40

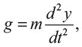
Законы движения Ньютона говорят о том, что если y(t) – высота, на которой частица движется над поверхностью Земли, подвергаясь силе тяготения, то вторая производная d2y/dt2 пропорциональна воздействующей на нее силе g:

Иллюстрация к книге — Укрощение бесконечности. История математики от первых чисел до теории хаоса [i_122.jpg]

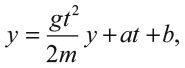
где m – масса. Это уравнение не определяет функцию y напрямую – оно показывает свойства ее второй производной. Чтобы найти саму y, необходимо решить дифференциальное уравнение. Дважды последовательно интегрируя, получим:

Иллюстрация к книге — Укрощение бесконечности. История математики от первых чисел до теории хаоса [i_123.jpg]

где b – исходная высота частицы, a – начальная скорость. Формула говорит нам, что график, описывающий изменение высоты y относительно времени t, представляет собой параболу, ветви которой направлены вниз. Это наблюдение сделал еще Галилей.

Иллюстрация к книге — Укрощение бесконечности. История математики от первых чисел до теории хаоса [i_124.jpg]

Параболическая траектория снаряда


ЧТО ИСЧИСЛЕНИЕ ДАЕТ НАМ

Современная наука изобилует дифференциальными уравнениями: они оказались наиболее распространенным способом моделирования законов природы. Например, без них не обходится построение траектории полета исследовательских космических зондов, таких как «Маринер», направленный на Марс, или два корабля «Пионер», исследовавших Солнечную систему и предоставивших ученым превосходные снимки Юпитера, Сатурна, Урана и Нептуна, или доставленные на Марс марсоходы «Спирит» и «Оппортьюнити» – шестиколесные роботы, исследовавшие Красную планету.

Иллюстрация к книге — Укрощение бесконечности. История математики от первых чисел до теории хаоса [i_125.jpg]

Марсоход «Спирит» (художественное воспроизведение, НАСА)


Еще один хороший пример – миссия «Кассини», нацеленная на изучение Сатурна и его лун. Среди сделанных в ее рамках открытий – существование морей из жидкого метана и этана на спутнике Сатурна Титане. Конечно, исчисление – далеко не единственный математический метод, примененный в космических исследованиях, но без него ни одна из миссий буквально не оторвалась бы от Земли.

Если вернуться на Землю, можно упомянуть любое воздушное судно, автомобиль, движущийся по дороге, подвесной мост или устойчивое к подземным толчкам здание, в создании которых исчисление сыграло важнейшую роль. Даже наше описание того, как относительно времени меняется популяция животных того или иного вида, исходит из дифференциальных уравнений. То же относится к описанию распространения эпидемий, где построенные с помощью исчисления модели помогают разработать эффективные меры подавления эпидемии. Недавно разработанные модели распространения ящура в Великобритании показали недостаточную эффективность принимаемых мер.

Работы Коперника, Кеплера, Галилея и других ученых Возрождения открыли нам математические закономерности, описывающие реальный мир. Одни модели со временем оказались ошибочными, и от них отказались, другие в точности отражали действительность и развивались дальше. Именно в те давние времена выражение «работает как часы» стало всё чаще применяться к нашей Вселенной. Как выяснилось, она живет по строгим, непреложным законам, несмотря на упорные возражения религиозных иерархов, особенно католической церкви.

Величайшим открытием Ньютона стало то, что законы природы проявляют себя не как закономерности некоторых величин, но как взаимоотношения между их производными. Законы природы написаны на языке исчисления, и здесь важны не значения физических переменных, а скорость, с которой они меняются. Это было величайшее прозрение, и оно породило революцию, завершившуюся появлением более-менее современного научного подхода, который навсегда изменил нашу планету.

Глава 9. Примеры в природе

Формулирование физических законов

Самым важным посланием в «Началах» Ньютона являются не собственно открытые и использованные им законы, но общая идея, что таковые существуют, а также очевидность того, что их можно моделировать математически с помощью дифференциальных уравнений. И в то время как английские математики увязали в бесплодных инсинуациях вокруг предполагаемого (и надуманного) похищения Лейбницем идей Ньютона по поводу исчисления, их коллеги на континенте плодотворно продвигали эти идеи в жизнь, делая важные открытия в изучении механики небесных тел, сопротивления материалов, гидродинамики, а также природы тепла, света и звука – самой основы математической физики. Многие уравнения, полученные в те годы, применяются до сих пор, несмотря на несомненные достижения физики как науки, – а может, как раз благодаря им.

Дифференциальные уравнения

Прежде всего математики сосредоточились на поиске четких формул для решения частных типов самых простых дифференциальных уравнений. И в некотором смысле это было неудачным шагом: как правило, формул для таких типов уравнений просто не существует. В итоге внимание оставалось прикованным скорее к уравнениям, которые можно решить с помощью формул, нежели к тем, которые точно описывают законы природы. Хороший пример – дифференциальное уравнение движения маятника, принимающее форму:

Иллюстрация к книге — Укрощение бесконечности. История математики от первых чисел до теории хаоса [i_126.jpg]

с соответствующей константой k, где t – время, а θ – угол отклонения маятника (при θ = 0 он принимает вертикальное положение). Для этого уравнения не существует решения в виде классических функций (многочленных, экспоненциальных, тригонометрических, логарифмических и т. д.). Но есть решение с использованием эллиптической функции, найденное век спустя. Однако если предположить, что угол сколько угодно мал, и мы видим, что маятник совершает совсем небольшие колебания, sin θ становится практически равен θ, и чем меньше угол θ, тем точнее приближение. А значит, дифференциальное уравнение можно заменить таким:

Иллюстрация к книге — Укрощение бесконечности. История математики от первых чисел до теории хаоса [i_127.jpg]
Вход
Поиск по сайту
Ищем:
Календарь