Книга Укрощение бесконечности. История математики от первых чисел до теории хаоса, страница 42 – Йен Стюарт

Авторы: А Б В Г Д Е Ж З И Й К Л М Н О П Р С Т У Ф Х Ч Ш Ы Э Ю Я
Книги: А Б В Г Д Е Ж З И Й К Л М Н О П Р С Т У Ф Х Ц Ч Ш Щ Ы Э Ю Я
Бесплатная онлайн библиотека LoveRead.ec

Онлайн книга «Укрощение бесконечности. История математики от первых чисел до теории хаоса»

📃 Cтраница 42
Иллюстрация к книге — Укрощение бесконечности. История математики от первых чисел до теории хаоса [i_130.jpg]

Последовательность изображений волны, движущейся слева направо

Иллюстрация к книге — Укрощение бесконечности. История математики от первых чисел до теории хаоса [i_131.jpg]

Режимы колебаний струны


Музыка, свет, звук и электромагнетизм

Древним грекам было известно, что колебание струны может давать много разных музыкальных нот в зависимости от расположения узлов, или неподвижных точек. Для основной частоты неподвижными остаются только точки крепления. Если у струны есть узел посередине, получается нота на октаву выше, и чем больше таких узлов, тем выше частота ноты. Более высокие колебания называют обертонами.

Колебания скрипичной струны представляют собой стоячие волны: форма струны в любой момент времени остается неизменной, за исключением того, что она либо растягивается, либо сжимается под прямым углом к своей длине. Наибольшее растяжение – это амплитуда волны, которая физически определяет тон ноты. Форма волны наглядно изображается в виде синусоиды, а их амплитуды соответствуют изменению синусоиды во времени.

В 1759 г. Эйлер развил эти идеи, перейдя от струн к барабанам. И снова он вывел уравнение волны, описывающее продольные колебания барабанной мембраны во времени. Физической интерпретацией этого явления была закономерность, по которой ускорение отдельно взятой точки барабанной поверхности пропорционально среднему натяжению, полученному в результате совместного воздействия на этот участок соседних точек. Барабан отличается от струны не только количеством измерений (его поверхность – двумерная плоская мембрана), но и гораздо более интересными границами. Собственно, они здесь вообще играют решающую роль. Границей поверхности барабана может быть любая замкнутая кривая, и ключевым условием является ее фиксированность. Вся остальная поверхность барабана может двигаться, однако его обод надежно закреплен.

Математики XVIII в. были способны решить уравнения для колебаний мембраны барабанов разной формы. И снова они обнаружили, что любое колебание может быть составлено из более простых, и это дает нам уникальный набор разных частот. Самым простым случаем считается прямоугольный барабан, простейшие колебания которого являются комбинацией синусоидальных волн в двух взаимно перпендикулярных направлениях. Более сложный случай – круговой барабан, который приводит к новым функциям – так называемым функциям Бесселя. Амплитуды этих волн всё еще представляют собой синусоиды, меняющиеся во времени, но их пространственная структура намного сложнее.

Уравнение волны очень важно для науки. Волны возникают не только в музыкальных инструментах, но и в физике света и звука. Эйлер открыл трехмерный вариант уравнения, который приложил к звуковым волнам. Примерно веком позже Джеймс Клерк Максвелл получил такое же математическое выражение из своих уравнений, описывающих электромагнитные волны, и предсказал существование радиоволн.

Иллюстрация к книге — Укрощение бесконечности. История математики от первых чисел до теории хаоса [i_132.jpg]
Иллюстрация к книге — Укрощение бесконечности. История математики от первых чисел до теории хаоса [i_133.jpg]

Колебания поверхности круглого барабана, а также настоящей гитары


Земное притяжение

Еще одна область приложения ДУЧП – притяжение, или теория потенциала. Главной движущей силой развития теории стало изучение силы тяжести – Земли и любой другой планеты. Ньютон представлял планеты как идеальные сферы, хотя их истинная форма ближе к эллипсоиду. И хотя сила притяжения к сфере одинакова с притяжением к точечной частице (для расстояний, выходящих за границы сферы), это нельзя сказать об эллипсоидах.

Колин Маклорен совершил важный рывок в этой области в удостоенном награды труде от 1740 г. «Трактат о флюксиях», изданном в 1742 г. Его первым шагом был поиск доказательства того, что если жидкость однородной плотности вращается с постоянной скоростью под влиянием своей силы тяжести, то наиболее равновесной формой обязательно будет сфероид – эллипсоид вращения. Затем он изучил силы притяжения, создаваемые таким сфероидом, но не очень успешно. Главным результатом было то, что если у двух эллипсоидов одинаковые фокусы и частица находится либо на экваториальной плоскости, либо на оси вращения, то сила притяжения любого сфероида будет пропорциональна их массе.

Иллюстрация к книге — Укрощение бесконечности. История математики от первых чисел до теории хаоса [i_134.jpg]

Эллипсоид


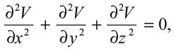
В 1743 г. Клеро продолжил работу над этой проблемой, опубликовав свой труд «Теория фигуры Земли, извлеченная из принципов гидростатики». Но настоящий прорыв совершил Адриен-Мари Лежандр. Он доказал основное свойство, характерное не только для сфероида, но для любого тела вращения. Если вам известна сила тяготения по всей длине оси вращения, вы можете вычислить ее в любой другой точке. Метод Лежандра позволял представить силы тяжести как интеграл в сферических полярных координатах. Умело обращаясь с этим интегралом, он выразил его величину как композицию сферических гармоник, которые определяются специальными функциями, получившими название многочленов Лежандра. В 1784 г. он продолжил работу в этой области, доказав много основных свойств открытых им многочленов. Фундаментальным ДУЧП в теории потенциала является уравнение Лапласа. Его можно найти в пятитомнике «Небесной механики», которую он начал издавать в 1799 г. Схожие идеи уже возникали у его предшественников, но именно Лаплас придал им четкость и завершенность. Уравнение имеет вид:

Иллюстрация к книге — Укрощение бесконечности. История математики от первых чисел до теории хаоса [i_135.jpg]

где V(x, y, z) – потенциал точки (x, y, z) в пространстве. Интуитивно он пришел к выводу, что величина потенциала в любой заданной точке составляет среднюю величину от размеров крошечной сферы вокруг нее. Уравнение действительно и вне границ тела: внутри него необходима модификация. Это выражение ныне известно как уравнение Пуассона.

Тепло и температура

Успехи в изучении звука и силы тяготения побудили математиков обратить взор и на другие физические явления. Одним из самых притягательных было тепло. В XIX в. наука о теплопередаче приобрела практичную основу, главным образом из-за нужд развивающейся металлообрабатывающей промышленности и благодаря возросшему интересу к внутренней структуре Земли, в частности температуре внутри планеты. Измерить напрямую температуру в областях, расположенных в тысячах километров под земной корой, тогдашними методами, конечно, было невозможно. Оставалось найти косвенные пути, основанные на знании того, как тепло распространяется в телах разной консистенции.

Вход
Поиск по сайту
Ищем:
Календарь