Онлайн книга «Увлекательно о космосе. Межпланетные путешествия»
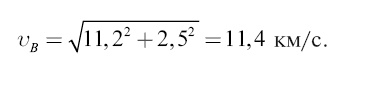
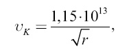
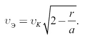
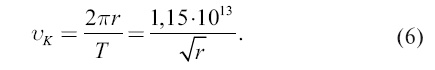
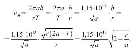
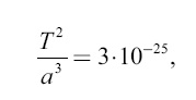
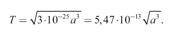
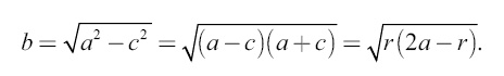
![]() Рис. 59. К расчету скорости полета По второму закону Кеплера площади, описываемые радиусом-вектором в равные времена, равны. Пусть тело (планета) движется вокруг Солнца по эллипсу с полуосями а и b; период обращения Т секунд, секундная скорость υ, радиус-вектор r; тогда для точек перигелия и афелия имеем равенство ![]() где левая часть есть выражение (приближенное) для площади, описываемой радиусом-вектором за 1 с, a πab – площадь эллипса. Имеем: ![]() Пусть теперь тело (звездолет, планета), движущееся вокруг Солнца по круговой орбите радиуса r, должно перейти в точке А своего пути на эллиптическую орбиту с полуосями а и b. Определим, какое для этого необходимо изменение скорости. Из третьего закона Кеплера следует, что отношение квадрата периода обращения планеты к кубу ее среднего расстояния от Солнца (или большой полуоси) есть величина постоянная; для планет Солнечной системы эта постоянная равна (в единицах системы см – г – с) ![]() откуда ![]() Отсюда имеем скорость у кругового движения около Солнца на расстоянии г. ![]() Обращаясь к эллиптической орбите, имеем прежде всего ![]() Из формулы (5) мы знаем, что скорость υэ движения по эллиптической орбите в точке А ![]() Так как скорость υK движения по круговой орбите (см. (6) ![]() то из сопоставления формул (6) и (7) имеем ![]() По этой формуле и вычисляется скорость, какую необходимо сообщить звездолету, чтобы с круговой орбиты он перешел на эллиптическую или удалился в бесконечность. В последнем случае полагаем большую полуось а эллипса равной бесконечности. Имеем ![]() то есть для удаления звездолета с круговой орбиты в бесконечность необходимо, чтобы круговая скорость его увеличилась в √2 раз. Так, для удаления с земной орбиты (соответствующая скорость 29,6 км/с) в бесконечность нужна скорость υ∞ =29,6√2 = 41,8, то есть приращение скорости 41,8 – 29,6 = 12,2 км/с. Теперь мы можем вычислить скорость, какая должна быть сообщена звездолету для преодоления притяжения Земли и Солнца и, следовательно, для свободного удаления с Земли в бесконечность. Чтобы преодолеть притяжение, нужна начальная скорость 11,2 км/с, то есть работа («живая сила») для каждого килограмма веса звездолета ![]() Чтобы преодолеть солнечное притяжение, нужна работа (υ = 12 200 м/с) ![]() Общая работа для преодоления совокупного притяжения Земли и Солнца равна ![]() Искомая скорость x получается из уравнения: ![]() откуда ![]() Вычислим теперь начальные скорости, необходимые для достижения планет Марса и Венеры. Для Марса ![]() Поэтому из формулы (8) имеем ![]() то есть нужна добавочная скорость 32,6 – 29,6 = 3 км/с. Искомая скорость для преодоления совокупного притяжения Земли и Солнца вычисляется, как сейчас было показано: ![]() Таким же образом определяем, что для достижения Венеры нужна начальная скорость, не меньшая ![]() |
![Иллюстрация к книге — Увлекательно о космосе. Межпланетные путешествия [i_183.jpg] Иллюстрация к книге — Увлекательно о космосе. Межпланетные путешествия [i_183.jpg]](img/book_covers/077/77820/i_183.jpg)
![Иллюстрация к книге — Увлекательно о космосе. Межпланетные путешествия [i_184.jpg] Иллюстрация к книге — Увлекательно о космосе. Межпланетные путешествия [i_184.jpg]](img/book_covers/077/77820/i_184.jpg)
![Иллюстрация к книге — Увлекательно о космосе. Межпланетные путешествия [i_185.jpg] Иллюстрация к книге — Увлекательно о космосе. Межпланетные путешествия [i_185.jpg]](img/book_covers/077/77820/i_185.jpg)
![Иллюстрация к книге — Увлекательно о космосе. Межпланетные путешествия [i_186.jpg] Иллюстрация к книге — Увлекательно о космосе. Межпланетные путешествия [i_186.jpg]](img/book_covers/077/77820/i_186.jpg)
![Иллюстрация к книге — Увлекательно о космосе. Межпланетные путешествия [i_187.jpg] Иллюстрация к книге — Увлекательно о космосе. Межпланетные путешествия [i_187.jpg]](img/book_covers/077/77820/i_187.jpg)
![Иллюстрация к книге — Увлекательно о космосе. Межпланетные путешествия [i_188.jpg] Иллюстрация к книге — Увлекательно о космосе. Межпланетные путешествия [i_188.jpg]](img/book_covers/077/77820/i_188.jpg)
![Иллюстрация к книге — Увлекательно о космосе. Межпланетные путешествия [i_189.jpg] Иллюстрация к книге — Увлекательно о космосе. Межпланетные путешествия [i_189.jpg]](img/book_covers/077/77820/i_189.jpg)
![Иллюстрация к книге — Увлекательно о космосе. Межпланетные путешествия [i_190.jpg] Иллюстрация к книге — Увлекательно о космосе. Межпланетные путешествия [i_190.jpg]](img/book_covers/077/77820/i_190.jpg)
![Иллюстрация к книге — Увлекательно о космосе. Межпланетные путешествия [i_191.jpg] Иллюстрация к книге — Увлекательно о космосе. Межпланетные путешествия [i_191.jpg]](img/book_covers/077/77820/i_191.jpg)
![Иллюстрация к книге — Увлекательно о космосе. Межпланетные путешествия [i_192.jpg] Иллюстрация к книге — Увлекательно о космосе. Межпланетные путешествия [i_192.jpg]](img/book_covers/077/77820/i_192.jpg)
![Иллюстрация к книге — Увлекательно о космосе. Межпланетные путешествия [i_193.jpg] Иллюстрация к книге — Увлекательно о космосе. Межпланетные путешествия [i_193.jpg]](img/book_covers/077/77820/i_193.jpg)
![Иллюстрация к книге — Увлекательно о космосе. Межпланетные путешествия [i_194.jpg] Иллюстрация к книге — Увлекательно о космосе. Межпланетные путешествия [i_194.jpg]](img/book_covers/077/77820/i_194.jpg)
![Иллюстрация к книге — Увлекательно о космосе. Межпланетные путешествия [i_195.jpg] Иллюстрация к книге — Увлекательно о космосе. Межпланетные путешествия [i_195.jpg]](img/book_covers/077/77820/i_195.jpg)
![Иллюстрация к книге — Увлекательно о космосе. Межпланетные путешествия [i_196.jpg] Иллюстрация к книге — Увлекательно о космосе. Межпланетные путешествия [i_196.jpg]](img/book_covers/077/77820/i_196.jpg)
![Иллюстрация к книге — Увлекательно о космосе. Межпланетные путешествия [i_197.jpg] Иллюстрация к книге — Увлекательно о космосе. Межпланетные путешествия [i_197.jpg]](img/book_covers/077/77820/i_197.jpg)
![Иллюстрация к книге — Увлекательно о космосе. Межпланетные путешествия [i_198.jpg] Иллюстрация к книге — Увлекательно о космосе. Межпланетные путешествия [i_198.jpg]](img/book_covers/077/77820/i_198.jpg)
![Иллюстрация к книге — Увлекательно о космосе. Межпланетные путешествия [i_199.jpg] Иллюстрация к книге — Увлекательно о космосе. Межпланетные путешествия [i_199.jpg]](img/book_covers/077/77820/i_199.jpg)
![Иллюстрация к книге — Увлекательно о космосе. Межпланетные путешествия [i_200.jpg] Иллюстрация к книге — Увлекательно о космосе. Межпланетные путешествия [i_200.jpg]](img/book_covers/077/77820/i_200.jpg)
![Иллюстрация к книге — Увлекательно о космосе. Межпланетные путешествия [i_201.jpg] Иллюстрация к книге — Увлекательно о космосе. Межпланетные путешествия [i_201.jpg]](img/book_covers/077/77820/i_201.jpg)