Онлайн книга «Увлекательно о космосе. Межпланетные путешествия»
|
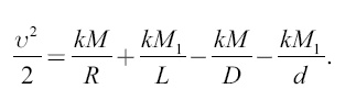
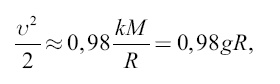
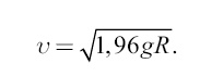
Величина Е есть потенциальная энергия тела (в точке земной поверхности) по отношению к Земле и Луне. Она равна ![]() где R – радиус Земли; L – расстояние от поверхности Земли до центра Луны; а k, m, М и М1 имеют прежние значения. Итак, ![]() или ![]() Подставим: M1 = 0,012M, D = 54,3R, L = 59,3R, d = 6R. Имеем: ![]() или ![]() откуда ![]() Известно, что g = 9,8 м/с2; R = 6370 км. Выполнив вычисления, получаем искомую скорость υ = 1 107 000 см/с = 11,07 км/с. Указанным способом можно вычислить скорость и в других подобных случаях. Например, для определения скорости ракеты, взлетающей с Луны по направлению к Земле, имеем уравнение: ![]() Здесь предполагается, конечно, что ракета должна достичь лишь точки равного притяжения, откуда начнется падение на Землю. Зная, что масса М1 Луны равна
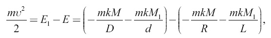
![]() откуда υ = 2,27 км/с – на 100 м меньше, чем скорость, вычисленная без принятия в расчет притяжения Земли. С такой же скоростью должно удариться о лунную почву тело, падающее на Луну из точки равного притяжения, имея Землю позади себя. Так производится расчет наличной скорости для артиллерийского снаряда, скорости, имеющей максимальное значение на земной поверхности. В случае ракеты скорость на уровне земной поверхности равна нулю и постепенно растет по мере взлета ракеты, пока не прекратится горение заряда. Следовательно, максимальную свою скорость ракета приобретает на некоторой высоте над Землей, где напряжение тяжести, естественно, меньше, чем на уровне моря. Поэтому максимальная скорость, уносящая ракету в межпланетный полет, меньше, чем для пушечного снаряда. Вычислим ее, сделав предпосылку, что ракета летит с ускорением, равным утроенному ускорению земной тяжести. Обозначим высоту, на которой ракета приобретает максимальную скорость υ, через х. Известно, что υ 2 = 2 × 3g × x = 6gx. Потенциальная энергия единицы массы ракеты на уровне × равна, согласно предыдущему: ![]() Потенциальная энергия той же единицы массы на высоте 54,37R (в точке равного притяжения) выражается суммой ![]() Потеря потенциальной энергии при перемещении ракеты с уровня x на уровень 54,37R составляет ![]() и должна, мы знаем, равняться кинетической энергии единицы массы ракеты, то есть
![]() откуда x = 0,2616; R = 0,2616 × 6370 = 1666 км. Теперь из уравнения υ2 = 6gх находим υ = 9750 м/с. Итак, ракета, отвесно направляющаяся к Луне, достигает наибольшей своей скорости – 9¾ км/с – далеко за пределами земной атмосферы. Число секунд t, в течение которого накапливается эта скорость, определяется из уравнения 9750 = 3 × 9,8t, откуда t = 321 с. Можно вычислить, что под действием земной тяжести ракета потеряет 321 × 7,76 = 2490 м своей секундной скорости (7,76 – средняя величина ускорения тяжести на протяжении 1666 км от земной поверхности). В общем итоге запас энергии, каким надо снабдить ракету для отвесного полета на Луну, должен отвечать скорости 9750 + 2490 = 12 240 м/с. Сходным образом можно установить, что при отвесном подъеме ракеты с Луны она приобретает максимальную скорость (2300 м/с) на высоте 90 км после 76 с подъема. И обратно: падая от точки равного притяжения на лунную поверхность, ракета должна начать замедление полета на высоте 90 км, чтобы при ускорении (отрицательном) свести свою 2300-метровую скорость к нулю. Вычисляя скорость, с какой тело должно покинуть Землю для удаления в бесконечность, мы принимали, что Земля – единственный центр, притяжение которого тело должно при этом преодолеть. На самом же деле приходится считаться также и с притяжением Солнца. Чтобы учесть это обстоятельство, установим сначала зависимость между скоростью тела на орбите и другими величинами. |
![Иллюстрация к книге — Увлекательно о космосе. Межпланетные путешествия [i_169.jpg] Иллюстрация к книге — Увлекательно о космосе. Межпланетные путешествия [i_169.jpg]](img/book_covers/077/77820/i_169.jpg)
![Иллюстрация к книге — Увлекательно о космосе. Межпланетные путешествия [i_170.jpg] Иллюстрация к книге — Увлекательно о космосе. Межпланетные путешествия [i_170.jpg]](img/book_covers/077/77820/i_170.jpg)
![Иллюстрация к книге — Увлекательно о космосе. Межпланетные путешествия [i_171.jpg] Иллюстрация к книге — Увлекательно о космосе. Межпланетные путешествия [i_171.jpg]](img/book_covers/077/77820/i_171.jpg)
![Иллюстрация к книге — Увлекательно о космосе. Межпланетные путешествия [i_172.jpg] Иллюстрация к книге — Увлекательно о космосе. Межпланетные путешествия [i_172.jpg]](img/book_covers/077/77820/i_172.jpg)
![Иллюстрация к книге — Увлекательно о космосе. Межпланетные путешествия [i_173.jpg] Иллюстрация к книге — Увлекательно о космосе. Межпланетные путешествия [i_173.jpg]](img/book_covers/077/77820/i_173.jpg)
![Иллюстрация к книге — Увлекательно о космосе. Межпланетные путешествия [i_174.jpg] Иллюстрация к книге — Увлекательно о космосе. Межпланетные путешествия [i_174.jpg]](img/book_covers/077/77820/i_174.jpg)
![Иллюстрация к книге — Увлекательно о космосе. Межпланетные путешествия [i_175.jpg] Иллюстрация к книге — Увлекательно о космосе. Межпланетные путешествия [i_175.jpg]](img/book_covers/077/77820/i_175.jpg)
![Иллюстрация к книге — Увлекательно о космосе. Межпланетные путешествия [i_176.jpg] Иллюстрация к книге — Увлекательно о космосе. Межпланетные путешествия [i_176.jpg]](img/book_covers/077/77820/i_176.jpg)
![Иллюстрация к книге — Увлекательно о космосе. Межпланетные путешествия [i_177.jpg] Иллюстрация к книге — Увлекательно о космосе. Межпланетные путешествия [i_177.jpg]](img/book_covers/077/77820/i_177.jpg)
![Иллюстрация к книге — Увлекательно о космосе. Межпланетные путешествия [i_178.jpg] Иллюстрация к книге — Увлекательно о космосе. Межпланетные путешествия [i_178.jpg]](img/book_covers/077/77820/i_178.jpg)
![Иллюстрация к книге — Увлекательно о космосе. Межпланетные путешествия [i_179.jpg] Иллюстрация к книге — Увлекательно о космосе. Межпланетные путешествия [i_179.jpg]](img/book_covers/077/77820/i_179.jpg)
![Иллюстрация к книге — Увлекательно о космосе. Межпланетные путешествия [i_180.jpg] Иллюстрация к книге — Увлекательно о космосе. Межпланетные путешествия [i_180.jpg]](img/book_covers/077/77820/i_180.jpg)
![Иллюстрация к книге — Увлекательно о космосе. Межпланетные путешествия [i_181.jpg] Иллюстрация к книге — Увлекательно о космосе. Межпланетные путешествия [i_181.jpg]](img/book_covers/077/77820/i_181.jpg)
![Иллюстрация к книге — Увлекательно о космосе. Межпланетные путешествия [i_182.jpg] Иллюстрация к книге — Увлекательно о космосе. Межпланетные путешествия [i_182.jpg]](img/book_covers/077/77820/i_182.jpg)