Книга Увлекательно о космосе. Межпланетные путешествия, страница 45 – Яков Перельман

Авторы: А Б В Г Д Е Ж З И Й К Л М Н О П Р С Т У Ф Х Ч Ш Ы Э Ю Я
Книги: А Б В Г Д Е Ж З И Й К Л М Н О П Р С Т У Ф Х Ц Ч Ш Щ Ы Э Ю Я
Бесплатная онлайн библиотека LoveRead.ec

Онлайн книга «Увлекательно о космосе. Межпланетные путешествия»

📃 Cтраница 45
Иллюстрация к книге — Увлекательно о космосе. Межпланетные путешествия [i_153.jpg]

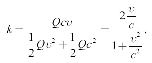
Отсюда искомое полезное действие

Иллюстрация к книге — Увлекательно о космосе. Межпланетные путешествия [i_154.jpg]

Оно достигает наибольшей величины при у = с, то есть когда автомобиль движется со скоростью вытекания продуктов взрыва.

По этой формуле легко вычислить полезное действие ракетного автомобиля; например, для с = 2000 м/с и у = 200 км/ч = 55 м/с:


k = 5,5 %.


Чтобы соперничать в экономичности с обыкновенным автомобилем, полезное действие которого около 20 %, авторакета должна обладать скоростью не ниже 760 км/ч. Но подобная скорость для колесного экипажа практически недопустима, так как сопряжена с опасностью разрыва бандажей колес центробежным эффектом.

4. Начальная скорость и продолжительность перелетов

Начальная скорость

Читатели пожелают, вероятно, узнать, как вычисляется скорость, с которой тело должно покинуть планету, чтобы преодолеть силу ее притяжения. Вычисление основано на законе сохранения энергии. Тело должно получить при взлете запас кинетической энергии, равный той работе, которую ему предстоит совершить. Если масса тела т, а искомая скорость у, то кинетическая энергия («живая сила») тела в момент взлета

Иллюстрация к книге — Увлекательно о космосе. Межпланетные путешествия [i_155.jpg]

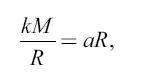
Работа же, совершаемая силой при перемещении с поверхности планеты в бесконечность (при отсутствии других центров притяжения), равна, как устанавливает небесная механика,

Иллюстрация к книге — Увлекательно о космосе. Межпланетные путешествия [i_156.jpg]

где М – масса планеты; R – ее радиус; а k – так называемая постоянная тяготения (см. Приложение 1). Абсолютную величину этой работы приравниваем к кинетической энергии:

Иллюстрация к книге — Увлекательно о космосе. Межпланетные путешествия [i_157.jpg]

откуда

Иллюстрация к книге — Увлекательно о космосе. Межпланетные путешествия [i_158.jpg]

Далее, мы знаем, что вес тела на поверхности планеты, то есть сила, с какою планета его притягивает, равен, по закону тяготения:

Иллюстрация к книге — Увлекательно о космосе. Межпланетные путешествия [i_159.jpg]

если масса тела m. Механика дает нам также и другое выражение для веса – произведение массы на ускорение, ma.

Значит,

Иллюстрация к книге — Увлекательно о космосе. Межпланетные путешествия [i_160.jpg]

откуда

Иллюстрация к книге — Увлекательно о космосе. Межпланетные путешествия [i_161.jpg]

и, следовательно, формула

Иллюстрация к книге — Увлекательно о космосе. Межпланетные путешествия [i_162.jpg]

принимает вид:


υ2 =2aR,


откуда

Иллюстрация к книге — Увлекательно о космосе. Межпланетные путешествия [i_163.jpg]

Подставляя вместо а ускорение тяжести на планете, а вместо R – радиус, получаем величину скорости, с какою тело навсегда покидает планету. Например, для Луны а = 1,62 м/с2, R = 1 740 000 м. Поэтому искомая скорость

Иллюстрация к книге — Увлекательно о космосе. Межпланетные путешествия [i_164.jpg]

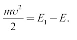
На том же можно основать вычисление начальной скорости снаряда или ракеты, которые, покинув Землю, должны долететь до точки равного притяжения между Землей и Луной. Масса Земли в 81 раз больше массы Луны, а так как сила притяжения уменьшается пропорционально квадрату удаления, то притяжения Земли и Луны уравниваются на расстоянии от Земли в 9 раз большем, чем от Луны (тогда притяжение Земли ослабеет в 9 × 9, то есть в 81 раз больше, чем притяжение Луны). Значит, точка равного притяжения лежит в 0,9 расстояния между Землей и Луной; последнее равно 60,3 радиуса R земного шара, так что ядро должно пролететь расстояние D = 0,9 × 60,3R = 54,3R. Обозначив искомую скорость, с какой тело должно покинуть Землю, через υ, имеем для кинетической энергии тела в момент вылета

Иллюстрация к книге — Увлекательно о космосе. Межпланетные путешествия [i_165.jpg]
, где m – масса тела. Произведенная же этим телом работа, по законам небесной механики, равна потерянной потенциальной энергии, то есть разности потенциальной энергии Е1 и Е в конечной и начальной точках пути. Поэтому

Иллюстрация к книге — Увлекательно о космосе. Межпланетные путешествия [i_166.jpg]

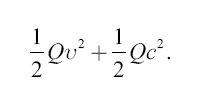
Здесь Е1 есть потенциальная энергия тела в конечной точке пути по отношению к Земле и к Луне. Первая часть потенциальной энергии равна:

Иллюстрация к книге — Увлекательно о космосе. Межпланетные путешествия [i_167.jpg]

где k — постоянная тяготения; М — масса Земли; m – масса брошенного тела; D — расстояние тела от центра Земли в конечной точке пути.

Вторая доля равна потенциальной энергии (по отношению к Луне):

Иллюстрация к книге — Увлекательно о космосе. Межпланетные путешествия [i_168.jpg]

где k и m имеют прежние значения; Мt – масса Луны; d – расстояние тела от центра Луны в конечной точке пути.

Вход
Поиск по сайту
Ищем:
Календарь