Книга Пуговицы Наполеона. Семнадцать молекул, которые изменили мир, страница 66 – Пенни Лекутер, Джей Берресон

Авторы: А Б В Г Д Е Ж З И Й К Л М Н О П Р С Т У Ф Х Ч Ш Ы Э Ю Я
Книги: А Б В Г Д Е Ж З И Й К Л М Н О П Р С Т У Ф Х Ц Ч Ш Щ Ы Э Ю Я
Бесплатная онлайн библиотека LoveRead.ec

Онлайн книга «Пуговицы Наполеона. Семнадцать молекул, которые изменили мир»

📃 Cтраница 66
Иллюстрация к книге — Пуговицы Наполеона. Семнадцать молекул, которые изменили мир [i_236.jpg]

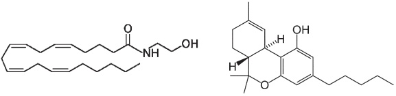
Анандамид из шоколада (слева) и ТГК из марихуаны (справа) сильно различаются по структуре


Итак, кофеин проник в Европу в виде шоколада. Примерно через сто лет здесь появился более насыщенный алкалоидом напиток — кофе. Впрочем, жители Ближнего и Среднего Востока к тому времени пили кофе уже несколько столетий. Самое раннее свидетельство об употреблении кофе на Востоке оставил персидский врач и ученый X века ар-Рази. Но, безо всякого сомнения, кофе на Востоке пили задолго до этого, как следует из легенды об эфиопском пастухе по имени Кальди. Его козы объели ягоды и листья с куста, который ему прежде не попадался, и развеселились настолько, что начали танцевать на задних ногах. Кальди решил сам попробовать яркие красные ягоды и взбодрился не меньше коз. Он собрал горстку ягод и отнес их к местному священнику, который их не одобрил и бросил в огонь. Вокруг разнесся изумительный аромат. Поджаренные зерна достали из углей и сварили из них первую чашку кофе. Красивая история, однако маловероятно, что первооткрывателями кофеина из Coffeaarabica были козы. Впрочем, вполне возможно, что кофейное дерево действительно происходит из высокогорных районов Эфиопии, а после оно распространилось на северо-востоке Африки и в Аравии. Употребление кофеина в виде кофе не всегда воспринималось с одобрением и временами находилось под запретом. Тем не менее к концу XV века паломники разнесли кофе по всему арабскому миру.

Иллюстрация к книге — Пуговицы Наполеона. Семнадцать молекул, которые изменили мир [i_237.jpg]

Какао-бобы — плоды тропического дерева Theobroma cacao. Фото Питера Лекутера


Примерно так же происходило распространение кофе в Европе в XVII веке. Кофеин в итоге преодолел недоверчивое отношение священников, правительств и врачей. Кофе стал продаваться на улицах итальянских городов, в кафе в Венеции и Вене, в Париже и Амстердаме, в Германии и Скандинавии. Считалось, что употребление кофе способствует воздержанию от алкоголя. В некоторой степени кофе действительно заместил вино на юге Европы и пиво на севере. Рабочий люд перестал пить на завтрак эль. В начале 1700-х годов в Лондоне насчитывалось около двух тысяч кофеен. Кофейнями управляли исключительно мужчины, и этот вид деятельности стал особой профессией или даже своего рода религией. Собиравшиеся в кофейне Эдварда Ллойда моряки, судовладельцы и купцы обменивались новостями и изучали бумаги. Позднее из этого вырос знаменитый страховой рынок “Ллойд”. В лондонских кофейнях родились многие банки, газеты, журналы, а также фондовая биржа.

Выращивание кофе оказало самое серьезное влияние на развитие целых регионов Нового Света, особенно Бразилии и стран Центральной Америки. Первые кофейные деревья были посажены на Гаити в 1734 году. Спустя пятьдесят лет здесь собирали половину мирового урожая кофе. Причины современной политической и экономической ситуации на Гаити часто связывают с кровавым восстанием рабов (1791–1803), вызванным ужасными условиями существования людей, принужденных работать на плантациях кофе и сахарного тростника. Когда торговля кофе в Вест-Индии начала угасать, такие страны, как Бразилия, Колумбия, страны Центральной Америки, Индия, Цейлон, Ява и Суматра, стали поставлять на растущий мировой рынок свой товар.

В Бразилии выращивание кофе стало основной отраслью сельского хозяйства. Огромные участки земли, которые сначала предполагалось отвести под плантации сахарного тростника, засадили кофейными деревьями, поскольку от продажи кофе можно было ожидать гораздо большей прибыли. В Бразилии рабство было отменено позднее, чем в других странах, так как производители кофе нуждались в дешевой рабочей силе. Ввоз рабов в Бразилию был запрещен только в 1850 году. В 1871 года дети, рожденные в семьях рабов, официально были признаны свободными. Так было положено начало планомерному, хотя и медленному, освобождению страны от рабства. Только в 1888 году, многими годами позже, чем в других западных странах, рабство в Бразилии было совершенно упразднено.

Производство кофе способствовало развитию экономики Бразилии в целом. Именно благодаря кофе в стране были проложены железные дороги, связавшие плантации с основными портами. После отмены рабства для работы на плантациях сюда прибыли бедные иммигранты из разных мест, в том числе из Италии, что повлияло на этнический состав и культурный облик страны.

Выращивание кофе изменило и природу. Огромные участки были расчищены, леса сведены, дикие животные лишились мест обитания. Когда кофе выращивают в качестве монокультуры, земля быстро истощается, и приходится искать новые места для плантаций. Для регенерации тропических лесов требуются сотни лет. Без подходящего растительного покрова происходит быстрая эрозия тонкого слоя почвы, и надежды на восстановление лесов не остается. В условиях монокультурного земледелия население зависит от капризов мирового рынка. Кроме того, оно способствует распространению болезней растений, таких как кофейная ржавчина, которые могут уничтожить целую плантацию всего за несколько дней.

Такая же эксплуатация людей и земли имела место в большинстве стран Центральной Америки, где выращивают кофе. Начиная с последнего десятилетия XIX века, индейцев майя, проживавших на территории Гватемалы, Никарагуа, Сальвадора и Мексики, стали вытеснять с их исконных земель, чтобы освободить место для посадок кофейного дерева. И этих же людей, лишенных привычных условий обитания, принуждали работать на плантациях. Мужчины, женщины и дети трудились много часов, получали за это ничтожно мало и практически не имели никаких прав. Владельцы плантаций в погоне за наживой оказывали влияние на политику этих стран, что усиливало социальное неравенство. Политические беспорядки и кровавые революции в этих странах в значительной мере обусловлены пристрастием людей к кофе.


Ценное лекарственное растение — опийный мак — постепенно распространилось из восточной части Средиземноморья по Европе и Азии. Доходы от незаконной торговли опиумом идут на финансирование организованной преступности и международного терроризма. Алкалоиды из опийного мака прямо или косвенно разрушили здоровье миллионов одних людей, но при этом смогли облегчить страдания миллионов других.

В свое время и опиум, и никотин рекламировали… потом запрещали. Когда-то считалось, что табак полезен для здоровья, и им лечили многие заболевания, а после курение стали считать опасной привычкой. В первой половине XX века к курению относились более чем терпимо. Сигарета была неотъемлемым атрибутом эмансипированных женщин и искушенных мужчин. К началу XXI века маятник качнулся в другую сторону, и во многих местах к никотину стали относиться так же, как к алкалоидам опиума: контролировать его оборот, облагать налогами и запрещать.

Напротив, кофеин, который когда-то вызывал недоверие властей и церкви, в настоящее время повсеместно распространен. Нет законов, которые регулировали бы употребление этого алкалоида детьми и подростками. Во многих странах родители покупают детям напитки, содержащие кофеин. Правительства большинства стран ограничивают использование алкалоидов опиума определенным спектром медицинских нужд, но они получают значительную выгоду от торговли кофеином и никотином, и кажется маловероятным, что они захотят отказаться от надежного источника дохода.

Реклама
Вход
Поиск по сайту
Ищем:
Календарь