Книга Пуговицы Наполеона. Семнадцать молекул, которые изменили мир, страница 63 – Пенни Лекутер, Джей Берресон

Авторы: А Б В Г Д Е Ж З И Й К Л М Н О П Р С Т У Ф Х Ч Ш Ы Э Ю Я
Книги: А Б В Г Д Е Ж З И Й К Л М Н О П Р С Т У Ф Х Ц Ч Ш Щ Ы Э Ю Я
Бесплатная онлайн библиотека LoveRead.ec

Онлайн книга «Пуговицы Наполеона. Семнадцать молекул, которые изменили мир»

📃 Cтраница 63
Иллюстрация к книге — Пуговицы Наполеона. Семнадцать молекул, которые изменили мир [i_220.jpg]

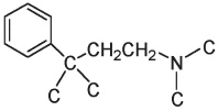
Остаток β-фенилэтиламина


Хотя в остальном молекулы эндорфинов и морфина не имеют между собой ничего общего, считается, что данного структурного элемента достаточно, чтобы они могли связываться с одними и теми же участками мозга.

Иллюстрация к книге — Пуговицы Наполеона. Семнадцать молекул, которые изменили мир [i_221.jpg]

Остаток β-фенилэтиламина в молекуле морфина


Однако морфин и производные химические вещества отличаются от других галлюциногенных молекул еще и наркотическим действием: они обезболивают, усыпляют и вызывают привыкание. По-видимому, это связано с наличием в их молекулах следующих структурных элементов: 1) фенольное, или ароматическое, кольцо; 2) четвертичный атом углерода (то есть атом углерода, связанный с четырьмя другими атомами углерода); 3) CH2-CH2-группа, связанная с 4) третичным атомом азота (то есть атомом азота, связанным с тремя атомами углерода).

Иллюстрация к книге — Пуговицы Наполеона. Семнадцать молекул, которые изменили мир [i_222.jpg]

Структурные элементы молекулы морфина: 1) бензольное кольцо; 2) четвертичный атом углерода (выделен жирным шрифтом); 3) две связанные между собой CH2-группы; 4) третичный атом азота (выделен жирным шрифтом)


Соединив все эти элементы вместе, мы получим структуру, подчиняющуюся так называемому морфиновому правилу:

Иллюстрация к книге — Пуговицы Наполеона. Семнадцать молекул, которые изменили мир [i_223.jpg]

Важнейшие элементы структуры, подчиняющейся “морфиновому правилу”


Ниже показано, что в молекуле морфина соблюдены эти условия (как, например, в молекулах кодеина и героина).

Иллюстрация к книге — Пуговицы Наполеона. Семнадцать молекул, которые изменили мир [i_224.jpg]

Структура морфина и ее соответствие “морфиновому правилу”, которое обеспечивает физиологическое действие обезболивающих препаратов


Определяющая роль данного структурного элемента в проявлении наркотических свойств была открыта благодаря научной интуиции. Ученые, которые вкалывали крысам синтетический препарат меперидин, заметили, что после инъекции крысы держат хвост совершенно определенным образом, причем тот же эффект наблюдался ранее при инъекции морфина.

Иллюстрация к книге — Пуговицы Наполеона. Семнадцать молекул, которые изменили мир [i_225.jpg]

Меперидин


Молекула меперидина не очень похожа на молекулу морфина. Что же между ними общего? Во-первых, бензольное кольцо. Во-вторых, соединенный с ним четвертичный атом углерода. В-третьих, группа CH2-CH2. В-четвертых, третичный атом азота, то есть элементы “морфинового правила”.

Иллюстрация к книге — Пуговицы Наполеона. Семнадцать молекул, которые изменили мир [i_226.jpg]

Демонстрация “морфинового правила” на структуре меперидина (демерола)


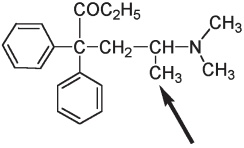
Тестирование меперидина показало, что он оказывает обезболивающее действие. Это вещество, известное под торговым названием демерол, часто используют вместо морфина, поскольку оно хотя и менее эффективно ослабляет боль, почти не оказывает рвотного действия. Однако оно также вызывает привыкание. Еще один мощный синтетический анальгетик, метадон, подобно героину и морфину, подавляет нервную систему, но не вызывает дремоты или эйфории. Структура метадона не вполне удовлетворяет “морфиновому правилу”: в этой молекуле нет двух соединенных между собой CH2-групп, поскольку к одной из них присоединена дополнительная CH3-группа. Это, казалось бы, незначительное отличие, по-видимому, определяет различие в биологической активности веществ.

Иллюстрация к книге — Пуговицы Наполеона. Семнадцать молекул, которые изменили мир [i_227.jpg]

Структура метадона. Стрелка указывает на положение СН3-группы, наличие которой приводит к несоответствию структуры метадона ‘морфиновому правилу” и изменяет его физиологическое действие.


Тем не менее метадон тоже вызывает привыкание. Зависимость от героина может трансформироваться в зависимость от метадона, поэтому до сих пор ведутся споры относительно того, насколько разумно избавлять пациентов от героиновой зависимости с помощью метадона.

“Попивая” дым

Никотин — второй алкалоид, имевший отношение к Опиумным войнам, — не был известен в Европе до тех пор, пока Христофор Колумб не отправился в Новый Свет. Там он увидел, как мужчины и женщины “пили” дым от горящих листьев, свернутых в трубочку и засунутых в ноздри. Привычка употреблять курительный, нюхательный и жевательный табак (листья растения табака, относящегося к роду Nicotiand) была широко распространена среди индейцев Южной Америки, Мексики и Карибских островов. Табак употребляли главным образом во время различных церемоний. Дым втягивали через трубки или свернутые листья либо просто дышали им, бросив листья на угли. Считалось, что это заставляет участников церемонии входить в транс или видеть галлюцинации. Это означает, что в том табаке концентрация активных компонентов была значительно выше, чем в листьях Nicotianatabacum, который распространился в Европе и других регионах. Скорее всего, тот табак, с употреблением которого столкнулся Колумб, был табаком майя, который относится к виду Nicotianarustica и обладает гораздо более сильным действием.

Табак быстро прижился в Европе, его начали культивировать. Французский посол в Португалии Жан Нико, имя которого увековечено в названии растения и алкалоида никотина, был горячим поклонником табака. Курильщиками были и другие заметные фигуры XVI века, например сэр Уолтер Рэли в Англии и королева Франции Екатерина Медичи. Однако вскоре появились и противники курения. Папским эдиктом было запрещено курение табака в церкви, а английскому королю Якову I приписывают появившийся в 1604 году памфлет, в котором описывалась “привычка, неприятная для глаз, отвратительная для носа, вредная для мозга и опасная для легких”.

Иллюстрация к книге — Пуговицы Наполеона. Семнадцать молекул, которые изменили мир [i_228.jpg]

Первая гравюра, изображающая южноамериканских курильщиков (Бразилия, около 1593 года). На этом празднике индейцы племени тупи курят табак через длинную трубку. Из коллекции Джона Дж. Лорда

Реклама
Вход
Поиск по сайту
Ищем:
Календарь