Книга Пуговицы Наполеона. Семнадцать молекул, которые изменили мир, страница 68 – Пенни Лекутер, Джей Берресон

Авторы: А Б В Г Д Е Ж З И Й К Л М Н О П Р С Т У Ф Х Ч Ш Ы Э Ю Я
Книги: А Б В Г Д Е Ж З И Й К Л М Н О П Р С Т У Ф Х Ц Ч Ш Щ Ы Э Ю Я
Бесплатная онлайн библиотека LoveRead.ec

Онлайн книга «Пуговицы Наполеона. Семнадцать молекул, которые изменили мир»

📃 Cтраница 68

Наконец, олива символизировала силу (палица Геракла была вырублена из ствола оливы) и жертвенность (по одной из версий крест, на котором был распят Христос, был частично сделан из оливы). В разные времена и у разных народов олива символизировала могущество и достаток, девственность и плодородие. Оливковое масло веками служило для помазания королей, императоров и епископов. Саулу, первому царю Израиля, во время коронации натерли лоб оливковым маслом. Спустя столетия на другом берегу Средиземного моря оливковым маслом был помазан на царство первый король франков Хлодвиг I. Содержимым того самого фиала — Святой стеклянницы — пользовались во время коронации еще тридцати четырех французских монархов. Сосуд был торжественно разбит во время Французской революции.

Древесина оливы удивительно тверда. Для появления плодов нужна короткая холодная зима и весна без заморозков, чтобы не уничтожить бутоны. Долгое жаркое лето и мягкая осень позволяют плодам вызреть. Средиземное море охлаждает свои южные берега и согревает северные, что делает этот регион идеально подходящим для выращивания оливы. Вдали от моря и без его смягчающего влияния на климат оливы не растут. Но они могут жить там, где выпадает очень мало дождей. Длинный стержневой корень этого дерева уходит глубоко в землю и достигает воды, а узкие жесткие листья покрыты легким пушком и имеют серебристую нижнюю поверхность. Все это позволяет предотвратить сильную потерю влаги за счет испарения. Оливы переживают засуху и могут расти на каменистых и скалистых склонах. Сильный мороз и ледяной ветер могут сломать ветви и ствол, но даже когда кажется, что дерево убито морозом, следующей весной олива обычно дает побеги. Нет ничего удивительного в том, что народы, жизнь которых на протяжении тысячелетий зависела от оливы, так чтут это замечательное дерево.

Химия оливкового масла

Люди давят масло из плодов различных растений: грецкого ореха и миндаля, кукурузы, кунжута, льна, подсолнечника, кокоса, сои, арахиса и многих других. Растительные масла, а также жиры — их близкие аналоги из животных тканей — давно ценятся людьми за пищевые качества, возможность давать свет, а также за лечебные и косметические свойства. Но ни одно другое растительное масло (или жир) не оказало такого влияния на культурное и экономическое развитие западной цивилизации, как масло из плодов оливкового дерева.

Отличие химического состава оливкового масла от состава других жиров и масел совсем невелико. Но, как мы неоднократно отмечали, совсем небольшое отличие может иметь весьма серьезные последствия. Нам кажется, не будет преувеличением сказать, что без олеиновой кислоты (получившей свое название от оливы и определяющей различие между оливковым маслом и всеми другими жирами и маслами) развитие западной цивилизации и демократии могло пойти совершенно иначе.

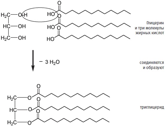
По своей химической структуре жиры и масла относятся к триглицеридам. Все они состоят из молекулы глицерина и трех молекул жирных кислот.

Иллюстрация к книге — Пуговицы Наполеона. Семнадцать молекул, которые изменили мир [i_239.jpg]

Глицерин


Жирные кислоты представляют собой длинные последовательности атомов углерода, имеющие на одном конце кислотную группу COOH (или HOOC):

Иллюстрация к книге — Пуговицы Наполеона. Семнадцать молекул, которые изменили мир [i_240.jpg]

Молекула жирной кислоты, состоящая из двенадцати атомов углерода. Кислотная группа обведена окружностью.


Эти простые по структуре молекулы часто изображают в виде зигзагообразной линии, в которой каждый угол и каждый конец обозначает атом углерода, а большинство атомов водорода не изображают вовсе.

Иллюстрация к книге — Пуговицы Наполеона. Семнадцать молекул, которые изменили мир [i_241.jpg]

Та же молекула жирной кислоты, состоящая из двенадцати атомов углерода


Образование триглицерида происходит при соединении молекулы глицерина с тремя молекулами жирных кислот. При этом выделяются три молекулы воды, образованные из атомов водорода каждой из трех OH-групп глицерина и OH-групп каждой из трех кислотных групп (COOH-групп) жирных кислот. Эта реакция конденсации (соединение молекул с выделением молекулы воды) аналогична реакции образования полисахаридов (см. главу 4).

Иллюстрация к книге — Пуговицы Наполеона. Семнадцать молекул, которые изменили мир [i_242.jpg]

На рисунке изображены три одинаковые молекулы жирной кислоты, однако возможно, что в реакции участвуют жирные кислоты двух или даже трех разных видов. Общим в структуре всех жиров и масел является глицерин, а различие определяется составом жирных кислот. В предыдущем примере мы изобразили насыщенные жирные кислоты — по отношению к водороду: к такой молекуле жирной кислоты больше нельзя присоединить ни одного атома водорода, поскольку между атомами углерода нет двойных связей, которые можно было бы разорвать, чтобы присоединить водород. Если же в молекуле такие связи есть, ее называют ненасыщенной жирной кислотой. Ниже представлены примеры нескольких распространенных насыщенных жирных кислот.

Иллюстрация к книге — Пуговицы Наполеона. Семнадцать молекул, которые изменили мир [i_243.jpg]

Как следует из названий, основным источником стеариновой кислоты является говяжий жир, а пальмитиновая кислота содержится в пальмовом масле.

Почти все жирные кислоты имеют в своем составе четное число атомов углерода. Выше приведены примеры наиболее распространенных жирных кислот, но существуют и другие. В сливочном масле содержится масляная кислота (всего четыре атома углерода) и капроновая кислота (шесть атомов углерода), которая также содержится в козьем молоке (ее название происходит от лат. caper — коза).

В ненасыщенных жирных кислотах содержится хотя бы одна двойная связь углерод — углерод. Если двойная связь одна, такая кислота называется мононенасыщенной, если их несколько — полиненасыщенной жирной кислотой. Изображенный ниже триглицерид состоит из двух мононенасыщенных и одной насыщенной жирной кислоты. Двойные связи имеют цис-конфигурацию, то есть атомы углерода в цепи располагаются с одной и той же стороны от двойной связи.

Иллюстрация к книге — Пуговицы Наполеона. Семнадцать молекул, которые изменили мир [i_244.jpg]

Триглицерид, имеющий в своем составе две мононенасыщенные и одну насыщенную жирную кислоту

Реклама
Вход
Поиск по сайту
Ищем:
Календарь