Онлайн книга «Пуговицы Наполеона. Семнадцать молекул, которые изменили мир»
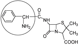
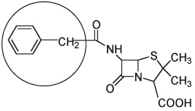
![]() Углерод с четырьмя одинарными связями и азот с тремя одинарными связями имеют трехмерную пространственную структуру, тогда как две одинарные связи углерода и его двойная связь с кислородом лежат в одной плоскости Четырехчленные кольца в органических соединениях не являются плоскими — они слегка выгнуты, но даже это обстоятельство не позволяет молекуле избавиться от так называемого углового напряжения, которое возникает из-за того, что связи между атомами вынуждены отклоняться от предпочтительного положения. Именно это напряжение структуры является причиной антимикробного действия пенициллинов. Для синтеза клеточных стенок бактерии используют специальные ферменты. В присутствии этих ферментов β-лактамное кольцо пенициллина раскрывается, и напряжение в молекуле снимается. При этом OH-группа бактериального фермента ацилируется (это тот же самый тип реакций, в результате которого салициловая кислота превращается в аспирин), и раскрытое кольцо пенициллина присоединяется к молекуле бактериального фермента. Обратите внимание: в результате пятичленное кольцо пенициллина сохраняется. ![]() В ходе реакции ацилирования раскрытое четырехчленное кольцо пенициллина присоединяется к молекуле бактериального фермента В результате ацилирования происходит инактивация фермента, участвующего в синтезе клеточной стенки бактерий. Не имея возможности ограждать себя клеточной стенкой, бактерии погибают. Клетки животных и человека окружены мембраной, а не клеточной стенкой, и у них нет таких ферментов. Поэтому на наши клетки пенициллин не оказывает подобного действия. Из-за неустойчивости четырехчленного кольца препараты группы пенициллина, в отличие от сульфаниламидных препаратов, следует хранить при пониженной температуре. Как только кольцо раскрывается (а этот процесс ускоряется при повышении температуры), пенициллин теряет активность. Но, кажется, бактерии разгадали секрет кольца. Со временем возникли устойчивые к действию пенициллина штаммы бактерий, в которых образуется фермент, способный раскрывать β-лактамное кольцо антибиотика до того, как антибиотик разрушает бактериальный фермент, участвующий в построении клеточной стенки. На рисунке изображена формула пенициллина G, который был впервые выделен из плесени в 1940 году и до сих пор широко применяется. Из плесеней были выделены многие другие виды пенициллина, а некоторые были синтезированы химическим путем из природных версий антибиотиков этой группы. Антибиотики из группы пенициллина различаются только структурой той части молекулы, которая обведена окружностью. ![]() Структура пенициллина G. Вариабельная часть молекулы обведена окружностью. Ампициллин (синтетическое производное пенициллина, эффективное против устойчивых к пенициллину G бактерий) имеет очень похожую структуру. Он имеет лишь одну дополнительную NH2-группу. ![]() Ампициллин Боковая группа амоксициллина — одного из самых часто назначаемых в настоящее время антибиотиков — похожа на боковую группу ампициллина, но содержит дополнительную OH-группу. Боковая группа может быть очень простой, как в пенициллине О, или достаточно сложной, как в клоксациллине. ![]() Структура боковых групп амоксициллина (слева), пенициллина O (в центре) и клоксациллина (справа) В наши дни в клинической практике используются четыре из десятка различных вариантов пенициллинов. Эти молекулы могут сильно различаться структурой боковой группы, однако все они имеют четырехчленное β-лактамное кольцо. Именно эта часть молекулы может спасти вам жизнь, если вам когда-нибудь понадобится антибиотик пенициллинового ряда. У нас нет надежных статистических данных, отражающих среднюю продолжительность жизни людей в разные исторические периоды: есть только оценочные данные для отдельных стран и народов. В соответствии с этими данными с 3500-х годов до н. э. до 50-х годов XVIII века, то есть в течение пяти с лишним тысячелетий, средняя продолжительность жизни европейцев колебалась от 30 до 40 лет. В Древней Греции около 680-х годов до н. э. этот показатель достигал 41 года, а в Турции в 1400-х годах составлял всего 31 год. Такой же является средняя продолжительность жизни людей в развивающихся странах в наши дни. Три главные причины столь малой продолжительности жизни — недостаточное питание, плохие санитарные условия и эпидемические заболевания — тесно связаны между собой. Плохое питание снижает сопротивляемость организма, а плохие санитарные условия способствуют распространению эпидемий. В тех частях света, где интенсивно развивались сельское хозяйство и транспорт, исчезла проблема недостатка пищи. В это же время улучшились личная гигиена и медицинское обслуживание, появились системы очистки воды и канализации, наладилась система вывоза мусора, появились средства борьбы с паразитами, была проведена вакцинация населения. Все это привело к уменьшению частоты случаев эпидемических заболеваний и общему оздоровлению населения. В результате, начиная с 60-х годов XIX века, продолжительность жизни людей в развитых странах стала расти. Однако последний удар по инфекционным заболеваниям, которые на протяжении тысячелетий уносили человеческие жизни, нанесли антибиотики. С 30-х годов XX века эти молекулы заметно влияют на уровень смертности от инфекционных заболеваний. Сульфаниламидные препараты позволили эффективно бороться с пневмонией, являющейся частым осложнением кори, и корь уже не считается смертельным заболеванием. Пневмония, туберкулез, гастрит и дифтерия, которые в 1900-х годах занимали верхние строчки в списке наиболее опасных заболеваний, сегодня не входят в этот список. Благодаря антибиотикам отдельные случаи таких инфекционных заболеваний, как бубонная чума, холера, сыпной тиф и сибирская язва, больше не вызывают эпидемий. Теперь общественность обеспокоена возможностью распространения бактериальных инфекций в результате деятельности террористов. Однако имеющийся в нашем распоряжении арсенал антимикробных препаратов скорее всего позволит избежать этой опасности. |
![Иллюстрация к книге — Пуговицы Наполеона. Семнадцать молекул, которые изменили мир [i_182.jpg] Иллюстрация к книге — Пуговицы Наполеона. Семнадцать молекул, которые изменили мир [i_182.jpg]](img/book_covers/073/73959/i_182.jpg)
![Иллюстрация к книге — Пуговицы Наполеона. Семнадцать молекул, которые изменили мир [i_183.jpg] Иллюстрация к книге — Пуговицы Наполеона. Семнадцать молекул, которые изменили мир [i_183.jpg]](img/book_covers/073/73959/i_183.jpg)
![Иллюстрация к книге — Пуговицы Наполеона. Семнадцать молекул, которые изменили мир [i_184.jpg] Иллюстрация к книге — Пуговицы Наполеона. Семнадцать молекул, которые изменили мир [i_184.jpg]](img/book_covers/073/73959/i_184.jpg)
![Иллюстрация к книге — Пуговицы Наполеона. Семнадцать молекул, которые изменили мир [i_185.jpg] Иллюстрация к книге — Пуговицы Наполеона. Семнадцать молекул, которые изменили мир [i_185.jpg]](img/book_covers/073/73959/i_185.jpg)
![Иллюстрация к книге — Пуговицы Наполеона. Семнадцать молекул, которые изменили мир [i_186.jpg] Иллюстрация к книге — Пуговицы Наполеона. Семнадцать молекул, которые изменили мир [i_186.jpg]](img/book_covers/073/73959/i_186.jpg)