Книга Пуговицы Наполеона. Семнадцать молекул, которые изменили мир, страница 46 – Пенни Лекутер, Джей Берресон

Авторы: А Б В Г Д Е Ж З И Й К Л М Н О П Р С Т У Ф Х Ч Ш Ы Э Ю Я
Книги: А Б В Г Д Е Ж З И Й К Л М Н О П Р С Т У Ф Х Ц Ч Ш Щ Ы Э Ю Я
Бесплатная онлайн библиотека LoveRead.ec

Онлайн книга «Пуговицы Наполеона. Семнадцать молекул, которые изменили мир»

📃 Cтраница 46
Иллюстрация к книге — Пуговицы Наполеона. Семнадцать молекул, которые изменили мир [i_168.jpg]

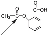
Салициловая кислота

Иллюстрация к книге — Пуговицы Наполеона. Семнадцать молекул, которые изменили мир [i_169.jpg]

Ацетилсалициловая кислота (стрелкой показано место присоединения ацетогруппы)


Эксперимент Хоффмана оправдал ожидания и его отца, и компании “Байер”. Ацетилированная форма кислоты оказалась эффективной. Кроме того, организм хорошо переносил ее. Выраженные противовоспалительные и обезболивающие свойства этого вещества способствовали тому, что в 1899 году “Байер” начал выпускать маленькие пакетики порошка аспирина. Название препарата составлено из “а” (ацетил) и “спир” (Spiraeaulmaria). Вскоре марка “Байер” стала синонимом аспирина. Это ознаменовало переход компании к производству лекарственных препаратов.

С ростом популярности аспирина природных источников салициловой кислоты (ивовой коры и таволги) перестало хватать. Был разработан новый способ синтеза с фенолом в качестве исходного материала. Продажи аспирина выросли необычайно. Во время Первой мировой войны американское дочернее отделение компании “Байер” закупало фенол где только возможно, чтобы гарантировать необходимый объем производства лекарства. Те страны, которые поставляли компании фенол, снизили производство пикриновой кислоты (тринитрофенола) — взрывчатого вещества, которое производили из того же исходного материала (см. главу 5). Можно только гадать, как это сказалось на ходе войны, однако, возможно, расширение производства аспирина привело к снижению объема производства пикриновой кислоты для военных целей и ускорило появление взрывчатых веществ на основе тринитротолуола.

Иллюстрация к книге — Пуговицы Наполеона. Семнадцать молекул, которые изменили мир [i_170.jpg]

Фенол

Иллюстрация к книге — Пуговицы Наполеона. Семнадцать молекул, которые изменили мир [i_171.jpg]

Салициловая кислота

Иллюстрация к книге — Пуговицы Наполеона. Семнадцать молекул, которые изменили мир [i_172.jpg]

Тринитрофенол (пикриновая кислота)


В наши дни аспирин является самым популярным лекарственным препаратом, который применяют при различных болезнях и травмах. Существует более четырехсот различных вариантов лекарственных препаратов на основе аспирина, и лишь в Соединенных Штатах ежегодно производится более десяти миллионов тонн этого вещества. Аспирин не только ослабляет боль, снижает температуру тела и препятствует воспалению, но и разжижает кровь. Аспирин в небольших дозах показан для предотвращения инсульта и тромбоза глубоких вен, в частности, у авиапассажиров во время длительных перелетов.

История сульфаниламидных препаратов

Приблизительно в то же самое время, когда Хоффман проводил эксперименты на своем отце (что в принципе не рекомендуется), немецкий врач Пауль Эрлих проводил эксперименты на себе. Эрлих был чрезвычайно странным человеком. Говорили, что ежедневно он выкуривает двадцать пять сигар и часами философствует в пивной. Однако кроме эксцентричности он обладал также решимостью и проницательностью, которые позволили ему стать лауреатом Нобелевской премии в области медицины в 1908 году. Эрлих не был специалистом в области экспериментальной химии или прикладной бактериологии, однако он заметил, что разные анилиновые красители окрашивают только определенные ткани и клетки только определенных микроорганизмов. Эрлих сделал вывод, что если один вид микроорганизмов поглощает краситель, а другой — нет, то с помощью токсичного красителя можно попытаться уничтожить один вид живой ткани, не воздействуя на остальные. Он хотел найти способ устранить болезнетворные микроорганизмы, не нанеся вреда организму хозяина. Молекулу красителя, обладающую селективным действием, Эрлих назвал “волшебной пулей”.

Он обнаружил, что краситель трипановый красный I связывается с клетками трипаносом (простейших паразитических организмов), которыми были заражены лабораторные мыши. К сожалению, этот краситель не уничтожал возбудителя сонной болезни, с которым пытался бороться Эрлих.

Но ученый настойчиво продолжал работу. Он показал, что его метод может работать, и знал, что проблема заключается только в поиске подходящей “волшебной пули” для конкретного заболевания. Он начал проводить исследования на возбудителе сифилиса — спиралевидной бактерии спирохете. Существовало множество гипотез о возникновении в Европе сифилиса. Одна из общепринятых гласила, что сифилис привезли из Нового Света моряки Колумба. До Колумба в Европе существовала определенная форма “проказы”, которая была очень заразной и также передавалась половым путем. Как сифилис, так и это заболевание иногда удавалось победить с помощью ртути. Современные представления о проказе совершенно не соответствуют описанию той болезни, так что, вероятно, это был все-таки сифилис.

На протяжении четырехсот лет до начала поиска Эрлихом “волшебной пули”, которая могла бы поразить возбудителя заболевания, больных сифилисом лечили препаратами ртути. Однако ее вряд ли можно было считать “волшебным” средством, поскольку она нередко убивала не только возбудителя заболевания, но и пациента. Жертвы такого способа лечения умирали от сердечной недостаточности, обезвоживания и удушья при вдыхании паров ртути. Но даже если пациент выживал, неизбежными спутниками лечения были выпадение волос и зубов, неконтролируемое слюноотделение, анемия, депрессия и нарушение функции печени и почек.

В 1909 году, протестировав 605 различных химикатов, Эрлих нашел один, который был достаточно эффективным и сравнительно безопасным. “Номер 606” (ароматическое соединение мышьяка) проявлял активность против возбудителя сифилиса. В 1910 году компания “Хехст”, с которой сотрудничал Эрлих, начала выпускать этот препарат под названием сальварсан. По сравнению с пыткой, которую представляло собой лечение парами ртути, новый метод был несоизмеримо гуманнее. Несмотря на токсическое побочное действие и отсутствие улучшения состояния некоторых пациентов даже после нескольких курсов лечения, применение сальварсана в значительной степени сократило распространение сифилиса. Компании этот препарат принес колоссальную прибыль, которая была использована на создание новых лекарств.

После получения сальварсана химики занялись поиском новых “волшебных пуль” среди тысяч веществ, проверяя их воздействие на болезнетворные микроорганизмы. Затем структуру исследуемых веществ изменяли и вновь проводили тестирование. Успеха не было. Казалось, что метод, названный Эрлихом “химиотерапией”, не имеет будущего. И вот в начале 30-х годов врач Герхард Домагк, работавший в исследовательской группе компании “И. Г. Фарбениндустри”, решил использовать краситель пронтозил красный для лечения своей дочери, у которой была хроническая стрептококковая инфекция, полученная в результате банального укола иголкой. Домагк проводил эксперименты с этим красителем в лаборатории, и хотя это вещество не оказывало действия на бактерии, выращиваемые в культуре, оно подавляло стрептококковую инфекцию у лабораторных мышей. Домагк решил рискнуть и дал дочери дозу красителя. Ее выздоровление было быстрым и окончательным.

Реклама
Вход
Поиск по сайту
Ищем:
Календарь