Онлайн книга «Пуговицы Наполеона. Семнадцать молекул, которые изменили мир»
|
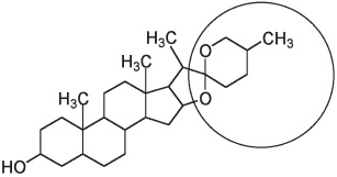
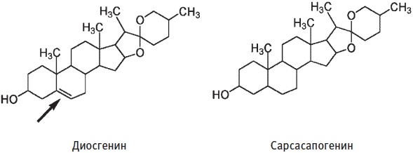
Когда Маркер подготовил к защите диссертацию и опубликовал результаты в “Журнале Американского химического общества”, выяснилось, что для получения ученой степени ему необходимо пройти еще один курс: физической химии. Маркер решил, что продолжение обучения будет пустой тратой времени и что с большей пользой он проведет это время в лаборатории. Профессора не раз предупреждали его, что без степени карьерный рост в науке невозможен. Тем не менее Маркер оставил университет. Спустя три года он был принят на работу в лабораторию престижного Рокфеллеровского института медицинских исследований [16] в Манхэттене: по-видимому, исследовательский талант ученого перевесил отсутствие у него ученой степени. Здесь Маркер заинтересовался стероидами. В частности, он хотел найти способ получения большого количества стероидов, необходимых для синтеза различных производных на основе структуры из четырех колец. В те времена прогестерон выделяли из мочи беременных кобыл и его цена (более тысячи долларов за грамм) делала его абсолютно недоступным для химиков-синтетиков. Небольшие количества драгоценного прогестерона покупали состоятельные владельцы скаковых лошадей для предотвращения выкидышей у лучших представителей породы. Маркер знал, что стероиды содержатся в некоторых растениях, таких как наперстянка, ландыш, сарсапариль (сассапариль) и олеандр. Выделять отдельно систему из четырех циклов тогда еще не умели, но было понятно, что в растительных тканях стероидов содержится значительно больше, чем в тканях животных. Маркер считал это направление перспективным, однако на его пути вновь встали традиция и закон. На сей раз это была традиция Рокфеллеровского института, в соответствии с которой химией растений занимались на факультете фармакологии, а не там, где работал Маркер. В роли законодателя выступил директор института, который запретил Маркеру заниматься растительными стероидами. И тогда Маркер ушел из Рокфеллеровского института. Его следующим местом работы стал Университет Пенсильвании, где он продолжил заниматься стероидами, а позднее начал сотрудничать с фармацевтической компанией “Парк-Дэвис”. Из растений Маркеру удалось выделить необходимое для работы количество стероидов. Он начал с корней сарсапариля, из которых готовят рутбир и аналогичные напитки. Было известно, что там содержатся вещества, называемые сапонинами по той причине, что они способны образовывать в воде мыльные или пенящиеся растворы (по-латински sapo — родительный падеж от saponis — означает мыло). Сапонины — сложные молекулы, хотя, конечно, не такие большие, как растительные полимеры целлюлоза или лигнин. Сарсапонин — сапонин из сарсапариля — состоит из трех остатков сахара, присоединенных к системе стероидных колец, которая, в свою очередь, через кольцо D соединена с двумя другими кольцами. ![]() Структура сарсапонина — сапонина из сарсапариля Было известно, что удалить остатки сахаров (два остатка глюкозы и один остаток другого сахара — рамнозы) из этой молекулы достаточно легко. В кислой среде остатки сахара отщепляются по положению, указанному на рисунке стрелкой. ![]() Сложности возникают дальше — с сарсасапогенином. Чтобы получить систему стероидных колец из этого сапогенина, нужно отделить два кольца, обведенные окружностью на следующем рисунке. В те времена химики считали, что этого нельзя сделать, не повредив систему стероидных колец. ![]() Сарсасапогенин — сапогенин из сарсапариля Однако Маркер был уверен в том, что это возможно — и оказался прав. В результате предложенного им процесса удавалось выделить систему стероидных колец, на основании которой с помощью нескольких дополнительных реакций можно было получить чистый синтетический прогестерон, ничем не отличавшийся от прогестерона, образующегося в организме женщины. А удаление боковой группы позволяло осуществить синтез многих других стероидных веществ. Эта процедура — удаление боковой группы из системы стероидных колец в молекуле сапонина — до сих пор применяется в производстве синтетических гормонов и называется деградацией Маркера. Затем Маркер решил найти растение, которое содержит больше исходного материала, чем сарсапариль. Сапогенины можно было выделить из триллиума, юкки, наперстянки, агавы или спаржи. Маркер исследовал сотни тропических и субтропических растений и в конечном итоге остановился на диком ямсе (растении из семейства диоскорейных), распространенном в мексиканском штате Веракрус. Дело было в начале 1942 года. США только что вступили во Вторую мировую войну. Мексиканские власти не выдавали разрешений на сбор растений, и Маркеру посоветовали не ездить за ямсом. Прежде подобные советы не останавливали Маркера, не остановили они его и в этот раз. На местных автобусах он добрался туда, где, как ему говорили, встречается интересовавшее его растение. Здесь он собрал два мешка длинных черных корней cabeza de negro (черная голова) — так растение называли местные жители. Вернувшись в Пенсильванию, Маркер выделил из корней сапогенин, который по структуре был очень близок сарсасапогенину. Единственным отличием было наличие в молекуле диосгенина (так называется сапогенин из дикого ямса) дополнительной двойной связи. ![]() Диосгенин из дикого ямса отличается от сарсасапогенина из сарсапариля только наличием одной дополнительной двойной связи (показана стрелкой) Маркеру удалось удалить мешающую боковую группу, и в результате последующих реакций он получил большое количество прогестерона. Маркер убедился в том, что для получения значительных количеств недорогих стероидных гормонов следует организовать лабораторию в Мексике и использовать в качестве исходного материала мексиканский ямс. Однако хотя такое решение казалось Маркеру осмысленным, оно не заинтересовало ни одну из крупных фармацевтических компаний, которые он попытался увлечь своей идеей. Традиции вновь встали на его пути. Руководители фармацевтических компаний утверждали, что в Мексике такой сложный синтез осуществить нельзя. Маркер не смог получить финансовой поддержки от фармацевтических компаний и решил заняться производством гормонов самостоятельно. Он ушел из Университета Пенсильвании и поселился в Мехико, где в 1944 году с несколькими компаньонами открыл фирму “Синтекс” (“синтез” плюс “Мексика”). Компания стала мировым лидером в производстве стероидов. |
![Иллюстрация к книге — Пуговицы Наполеона. Семнадцать молекул, которые изменили мир [i_195.jpg] Иллюстрация к книге — Пуговицы Наполеона. Семнадцать молекул, которые изменили мир [i_195.jpg]](img/book_covers/073/73959/i_195.jpg)
![Иллюстрация к книге — Пуговицы Наполеона. Семнадцать молекул, которые изменили мир [i_196.jpg] Иллюстрация к книге — Пуговицы Наполеона. Семнадцать молекул, которые изменили мир [i_196.jpg]](img/book_covers/073/73959/i_196.jpg)
![Иллюстрация к книге — Пуговицы Наполеона. Семнадцать молекул, которые изменили мир [i_197.jpg] Иллюстрация к книге — Пуговицы Наполеона. Семнадцать молекул, которые изменили мир [i_197.jpg]](img/book_covers/073/73959/i_197.jpg)
![Иллюстрация к книге — Пуговицы Наполеона. Семнадцать молекул, которые изменили мир [i_198.jpg] Иллюстрация к книге — Пуговицы Наполеона. Семнадцать молекул, которые изменили мир [i_198.jpg]](img/book_covers/073/73959/i_198.jpg)