Онлайн книга «Выход из кризиса. Новая парадигма управления людьми, системами и процессами»
|
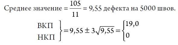
Предостережения и исключения. В управлении на основе качества не существует простых проблем. Мы должны быть готовы к тому, что непредвиденные ситуации и незапланированные изменения с большей степенью вероятности застанут сотрудника врасплох: 1. Даже после того, как кто-то достиг состояния статистической управляемости, он может выпасть из него. Точка может оказаться за контрольными пределами, указывая на присутствие специальной причины, ранее не встречавшейся. Производственный рабочий должен вернуться назад и исключить эту специальную причину из своей работы. Он не войдет в состояние статистической управляемости до тех пор, пока не сделает этого. 2. К сожалению, люди часто легкомысленно полагаются на прошлый опыт. По этой причине контрольные карты и другие статистические методы контроля должны вводиться на короткий период, чтобы узнать, находится ли работа все еще в состоянии статистической управляемости. 3. Новый продукт или допуски по новому контракту могут привести к новому типу дефекта. Производственному рабочему, возможно, придется добиваться состояния статистической управляемости при новом наборе операций. 4. Отдел контроля может ввести новый показатель для какой-либо важной характеристики качества (например, вязкость). Для рабочего это может означать появление нового продукта. ![]() Рис. 20. Одиннадцать сварщиков, дефекты на 5000 швов. Сварщики пронумерованы от 1 до 11 в порядке продолжительности стажа работы на данном участке. Среднее значение равно 9,55 дефекта на 5000 швов. Верхний контрольный предел (ВКП) – 19,0. Нижний контрольный предел (НКП) – 0. Сварщик № 6 находится за верхним контрольным пределом Пример лидерства: откуда берутся дефекты? Работу выполняют 11 сварщиков. Для каждого рабочего были подсчитаны дефекты на 5000 сварных швов (см. табл. 1 и рис. 20). Всем им потребовалось одинаковое время для сварки 5000 швов. Таблица 1 ![]() ![]() Сварщик № 6 находится за пределами системы. На него требуется обратить особое внимание. Какого рода должно быть это внимание? Это любые наблюдения и действия, которые могут ему помочь. 1. Исследуйте входящие потоки работы. Может быть, сварщик № 6 получает поток, с которым трудно работать. Если дело в этом, тогда сварщик № 6 более не нуждается в повышенном внимании. 2. Проанализируйте его оборудование, проверьте его зрение, поищите другие возможные помехи (здоровье, неприятности дома). Кроме того, всегда существует потребность в улучшении работы всех сварщиков. Можно было бы отправить к окулисту всех, а не только сварщика № 6. Разумно также направить усилия и на предшествующие этапы, на достижение большей однородности входных материалов, на исследование возможности получать материалы, обладающие лучшими сварочными свойствами. Общее улучшение (уменьшение среднего числа дефектов на 5000 швов для всех) будет целиком зависеть от изменений компонентов системы, таких как оборудование, материалы, обучение. Водитель вилочного погрузчика постоянно натыкался на заграждения. Причина: у него болела шея, и он не мог наклоняться в разные стороны, чтобы посмотреть, куда едет. Решение: другая работа. Пример поддержки лидерства [57]. Суть работы – правильно разложить страницы по ящикам. Каждый из 80 ящиков соответствует определенной характеристике страницы, которая предположительно может быть идентифицирована при просмотре. На участке занято 240 женщин. Работа в данный момент проверяется на 100 %. Общее число ошибок критического характера, обнаруженных за месяц, составило 44 на 10 000 страниц. Для построения графика результатов работы каждой сотрудницы хорошо подходит миллиметровая бумага, на осях отложены значения корня квадратного из натуральных чисел. (По предложению Мостеллера и Тьюки, Codex Book Company, Norwood, Mass.) Отложим по вертикальной оси y число ошибок, по горизонтальной оси x число правильных операций, как это показано на рис. 21. Тогда общая средняя доля ошибок будет представлена линией y = 0,0044x. Определение 3σ-границ – исключительно простая операция: надо только провести две параллельные линии на расстоянии три стандартных отклонения над и под линией y = 0,0044x. (Масштаб на бумаге Мостеллера – Тьюки показывает 1, 2, 3 и 4 стандартных отклонения; 1 стандартное отклонение = 5 мм. Для сжатия одной из шкал нужна подходящая модификация, пример – на рис. 21.) Контрольные пределы делят 240 женщин на три группы: ![]() Рис. 21. Зависимость числа ошибок (вертикальная ось) от числа правильных вложений (горизонтальная ось). Каждая точка – это результаты контроля работы одной работницы в течение месяца. Работало 240 женщин. Десять точек лежат над верхним контрольным пределом. Четыре точки находятся под нижним контрольным пределом; 226 точек – внутри пределов. На графике приведены не все точки. Десять точек над верхним контрольным пределом показывают мастеру, какого рода помощь нужна конкретным сотрудникам. Ему также следует попытаться понять, почему четыре человека, чьи результаты находятся под нижним контрольным пределом, показали столь превосходные результаты А. Результаты лежат выше верхнего контрольного предела. Б. Результаты лежат внутри контрольных пределов. В. Результаты лежат под нижним контрольным пределом. Женщины в группе А нуждаются в специальной помощи. Здесь не стоит пытаться определить, какова может быть помощь. Это ответственность мастера и менеджмента компании, однако некоторые предположения можно сделать. 1. Некоторые люди не способны с ходу понимать значения печатных слов (вид дислексии). Людей с таким недостатком надо перевести на другую работу. (Дислексия не означает недостаточность умственных способностей или слабой школьной подготовки.) Следует нанять психолога для конструирования тестов с целью проверки способности сотрудников воспринимать печатное слово. |
![Иллюстрация к книге — Выход из кризиса. Новая парадигма управления людьми, системами и процессами [i_033.jpg] Иллюстрация к книге — Выход из кризиса. Новая парадигма управления людьми, системами и процессами [i_033.jpg]](img/book_covers/065/65974/i_033.jpg)
![Иллюстрация к книге — Выход из кризиса. Новая парадигма управления людьми, системами и процессами [i_034.jpg] Иллюстрация к книге — Выход из кризиса. Новая парадигма управления людьми, системами и процессами [i_034.jpg]](img/book_covers/065/65974/i_034.jpg)
![Иллюстрация к книге — Выход из кризиса. Новая парадигма управления людьми, системами и процессами [i_035.jpg] Иллюстрация к книге — Выход из кризиса. Новая парадигма управления людьми, системами и процессами [i_035.jpg]](img/book_covers/065/65974/i_035.jpg)
![Иллюстрация к книге — Выход из кризиса. Новая парадигма управления людьми, системами и процессами [i_036.jpg] Иллюстрация к книге — Выход из кризиса. Новая парадигма управления людьми, системами и процессами [i_036.jpg]](img/book_covers/065/65974/i_036.jpg)