Онлайн книга «Выход из кризиса. Новая парадигма управления людьми, системами и процессами»
|
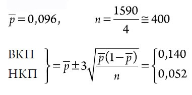
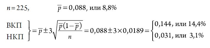
2. Некоторые женщины, возможно, нуждаются в очках (как в примере в главе 12). Женщины в группе Б представляют собой систему и не нуждаются в специальной помощи. Было бы неверным информировать их об ошибках, которые они сделали. Их не следует ранжировать – № 1, № 2 и так до последнего номера. Напротив, менеджменту нужно работать над системой. По приведенным данным нельзя судить об этой работе менеджмента, но во время визита статистика было обнаружено, что некоторые ящики стояли слишком высоко и женщинам было трудно до них дотянуться. (Интересно, почему менеджеры не заметили и не исправили много месяцев тому назад этот недостаток.) Другое предложение относительно группы Б – дать всем тот же тест на чтение, что и для группы А. Сотрудниц, у которых возникнут трудности при тестировании, следует перевести на другую работу. Постоянное совершенствование системы уменьшит наклон прямой линии, проходящей через начало координат, которая представляет общие результаты. Люди в группе В заслуживают отдельного внимания. Они достойны вознаграждения. Важно понять, как они выполняют свою работу и какими особыми возможностями обладают. Первым шагом должен стать анализ системы контроля. Насколько она эффективна? Хорошо известно, что контролеры могут пропускать до 40 % ошибок и вести контроль с переменным качеством. Они также могут забраковать безупречную продукцию. Организация контроля для достижения исключительно высокого качества. В производстве и в сфере услуг существуют примеры, когда совершенство в работе еще не достигнуто, а цена ошибки или дефекта высока. Шпиндели переднего вала автомобиля могут подвергаться 100 %-ному контролю по причинам, связанным с безопасностью. Лучшим решением было бы достижение состояния статистической управляемости при производстве шпинделей с вариабельностью намного меньше требуемой. Существует потребность в тщательности вычислений в банке, заполнения рецептов, расчетов тарифов, публикуемых налоговыми бюро. Начисление процентов, штрафов и другие транзакции в банке могут потребовать 100 %-ного контроля (или просмотра, или верификации, кто как предпочитает это называть) не только из соображений безопасности и заботы о репутации, но также и в целях минимизации полных затрат (см. главу 15). Требуется, чтобы оба сотрудника работали с одинаковыми, без каких-либо пометок, копиями оригинала. Вычисления, сделанные этими двумя людьми, набиваются на перфокарты также двумя отдельными операторами. Сравнение с помощью машины обнаружит различие между двумя вычислениями или ошибку перфорирования, но не выявит неверных вычислений, если результаты согласуются друг с другом. Особое внимание при 100 %-ном контроле (или просмотре) следует уделить исключению общих причин или взаимодействию между исходной работой и контролем. Руководство должно довести до сведения всех заинтересованных, что нельзя работать с документом, представляющим особую проблему, или с цифрами, которые неясны. Например, не должно быть никакой возможности прочесть 8 как 5. Если цифра не вполне ясна кому-то из сотрудников (это вопрос индивидуального суждения), он должен отложить документ в сторону и оставить его на рассмотрение руководителя. Руководителю для решения данного вопроса, возможно, понадобится поднять соответствующие первичные документы, или сделать письменный запрос, или послать телеграмму, или позвонить. Если взаимодействие между исходной работой и ее контролем полностью исключено и если исходная работа и ее анализ имеют в среднем одну ошибку на 1000 документов, то вместе эти два процесса дадут среднее значение намного лучше, чем 1/10002 или 1/1 000 000. Пример ошибочного контроля. Ошибочный контроль приводит к трем типам проблем: 1) разочарование производственных рабочих; 2) неправильная интерпретация точек на контрольной карте; 3) дефектная продукция попадает к потребителю. Приведенный ниже пример иллюстрирует типичные предпосылки для ошибочного контроля, а также разочарование производственных рабочих. На 17 операторов приходится 4 инспектора. Работа операторов распределяется по инспекторам с помощью случайных чисел. В таблице 2 показаны результаты контроля, полученные в течение трех недель, а на рис. 22 результаты контроля представлены в графическом виде. Очевидно, что где-то закралась ошибка: характер различия между результатами контролеров вызывает беспокойство. Контролеры 1 и 4 имеют близкие результаты. Согласие наблюдается и у контролеров 2 и 3, однако различие между парами контролеров существенно. Действенная мера в этом случае – операциональное определение того, что приемлемо, а что нет. Мы сталкивались с этой проблемой в главе 1. Операциональное определение включает в себя метод проверки, пример и критерии, при помощи которых принимается решение о том, может ли проделанная часть работы быть классифицирована как дефектная или как приемлемая (см. главу 9). Операциональное определение – это определение, смысл которого можно передать другим; это язык, с помощью которого люди могут понять друг друга. Я признателен Дэвиду Чамберсу за оказанную честь работать с ним над этим примером. Таблица 2 Данные о числе дефектных изделий, обнаруженных в процессе контроля за три недели, по операторам и по контролерам ![]() Примечание: коробки с готовыми изделиями (по 5 шт. в каждой) распределялись по контролерам с помощью случайных чисел. Число изделий, произведенных каждым оператором, примерно одинаково. Ошибочный контроль, вызванный страхом. Контрольная карта на рис. 23 показывает результаты ежедневного контроля в течение двух месяцев для доли дефектных изделий, обнаруженных при окончательной проверке продукции, подготовленной к отправке. Средняя доля дефектных изделий за два месяца составила 8,8 %. Контрольные пределы равны: ![]() ![]() Рис. 22. Представленные на карте в графической форме суммарные результаты для каждого из четырех контролеров свидетельствуют о наличии проблем, связанных с контролем. Вычисление контрольных пределов: ![]() . ![]() Рис. 23. Ежедневные данные по доле дефектных изделий. В день проверяется 225 изделий |
![Иллюстрация к книге — Выход из кризиса. Новая парадигма управления людьми, системами и процессами [i_037.jpg] Иллюстрация к книге — Выход из кризиса. Новая парадигма управления людьми, системами и процессами [i_037.jpg]](img/book_covers/065/65974/i_037.jpg)
![Иллюстрация к книге — Выход из кризиса. Новая парадигма управления людьми, системами и процессами [i_038.jpg] Иллюстрация к книге — Выход из кризиса. Новая парадигма управления людьми, системами и процессами [i_038.jpg]](img/book_covers/065/65974/i_038.jpg)
![Иллюстрация к книге — Выход из кризиса. Новая парадигма управления людьми, системами и процессами [i_039.jpg] Иллюстрация к книге — Выход из кризиса. Новая парадигма управления людьми, системами и процессами [i_039.jpg]](img/book_covers/065/65974/i_039.jpg)
![Иллюстрация к книге — Выход из кризиса. Новая парадигма управления людьми, системами и процессами [i_040.jpg] Иллюстрация к книге — Выход из кризиса. Новая парадигма управления людьми, системами и процессами [i_040.jpg]](img/book_covers/065/65974/i_040.jpg)
![Иллюстрация к книге — Выход из кризиса. Новая парадигма управления людьми, системами и процессами [i_041.jpg] Иллюстрация к книге — Выход из кризиса. Новая парадигма управления людьми, системами и процессами [i_041.jpg]](img/book_covers/065/65974/i_041.jpg)