Книга Выход из кризиса. Новая парадигма управления людьми, системами и процессами, страница 70 – У. Эдвард Деминг

Авторы: А Б В Г Д Е Ж З И Й К Л М Н О П Р С Т У Ф Х Ч Ш Ы Э Ю Я
Книги: А Б В Г Д Е Ж З И Й К Л М Н О П Р С Т У Ф Х Ц Ч Ш Щ Ы Э Ю Я
Бесплатная онлайн библиотека LoveRead.ec

Онлайн книга «Выход из кризиса. Новая парадигма управления людьми, системами и процессами»

📃 Cтраница 70
Иллюстрация к книге — Выход из кризиса. Новая парадигма управления людьми, системами и процессами [i_028.jpg]

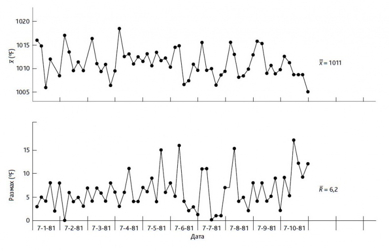
Рис. 15. Контрольные карты (х-среднее и R-размах) для бойлера № 3, июль 1981 г. Точки, вышедшие из-под контроля, требуют немедленного внимания

Иллюстрация к книге — Выход из кризиса. Новая парадигма управления людьми, системами и процессами [i_029.jpg]

Рис. 16. Средняя стоимость обслуживания потребителей (в долларах на потребителя). Средний скользящий размах за три месяца использовался для вычисления контрольных пределов


Снижение числа отказов при передаче энергии по подземному кабелю. Другой пример – подземный кабель. Эта энергетическая компания столкнулась с тревожным ростом частоты отказов на подземной линии электропередачи мощностью 115 000 вольт, проложенной 33 года назад. Ремонт поврежденного кабеля был дорогим и требовал аварийного отключения потребителей. Прокладка нового кабеля по тому же или иному маршруту тоже стоила дорого.

Сотрудники технологического отдела и отдела подземных коммуникаций создали «кружок качества» и разработали альтернативный подход к решению этой проблемы, позволяющий значительно сократить расходы. Они разработали систему, хорошо предсказывающую грядущие отказы на стыках кабеля. Анализ данных показал, что изгибание кабеля в стыках ведет к повышению напряжения, что, в свою очередь, вызывает химические изменения в составе масла, циркулирующего вокруг кабеля для охлаждения и изоляции. Одно из этих химических изменений, рост количества окиси углерода в масле, было основным индикатором и хорошо коррелировало с механическим движением в каркасе кабеля, находящегося в подземных камерах.

Эта информация использовалась для планирования программы замены каждый год 10 кабельных стыков, имеющих наибольшую вероятность отказа, и так до тех пор, пока все стыки не будут признаны надежными. Таким образом, распределятся затраты и снизятся усилия, требуемые для обслуживания кабельной сети.

«Кружок качества», в который входили два инженера, восемь кабельных монтеров и шесть испытателей, постепенно разработал новые и более оперативные методы замены стыков в колодцах, обеспечивающие к тому же гораздо более комфортные и безопасные условия. Эта работа включала перепроектирование тележки и соответствующего оборудования, используемого при проведении данной работы.

Образцы масла теперь подвергались химическому анализу ежегодно на статистической основе для минимизации отказов кабельных стыков. За три года случился только один отказ. Программа замены стыков сберегла электростанции несколько сотен тысяч долларов и свела к нулю перерывы в обслуживании.

Этот экскурс на повышение качества и производительности – не программа от начала до конца, но демонстрация философии, которая на всех уровнях ответственности направляла усилия на более эффективное использование доступных ресурсов на удовлетворение нужд потребителей.

Улучшение муниципальных услуг

По Уильяму Хантеру

Авторемонтные мастерские в городе Мэдисон обслуживают мусоровозы, полицейские автомобили и другой автотранспорт, принадлежащий городу. В 1984 г. эти мастерские побили рекорд по жалобам на качество ремонта. Мораль механиков была низкой. Мэр Джозеф Сенсенбреннер решил сменить руководство мастерских. Повышение качества требовало от мастерских удовлетворения потребностей потребителей и их ожиданий (а в идеале и предвосхищения их). В этих целях сначала были рассмотрены конкретные жалобы и предложения потребителей – службы уборки улиц, полицейского участка и других, кто пользовался их услугами. Сведения были почерпнуты из бесед с представителями этих групп и собраны с помощью рассылки опросников.

Основная жалоба – слишком длительный простой автомобилей в ремонте. Механики нарисовали блок-схему процесса ремонта автомобилей. Они собрали данные, чтобы определить, сколько времени требовалось для завершения каждого шага. Результаты исследования использовались для сокращения времени ремонта.

Механики подготовили сравнительный анализ стоимости ремонта, и прежде всего затрат на предотвращение проблем. Например, затраты на восстановление внедорожника составляли 4200 долл. Этот внедорожник использовали для разбрасывания соли в зимний период. Соль вызывала коррозию автомобиля. Простые методы обслуживания (примерной стоимостью 164 долл.) могли бы уберечь машину от коррозии, вызванной солью.

Главный вывод, к которому пришли механики, анализируя эту информацию, заключался в необходимости широкой программы профилактического обслуживания. Они представили свои рекомендации мэру и некоторым членам городского управления 14 сентября 1984 г., детально обосновав их. Механики провели экскурсию по мастерским, чтобы на практике ознакомить с ходом работ. Затем мэру в память об этом событии подарили пресс для бумаг. Это был большой сломанный алюминиевый поршень с головкой стальной трубы, впрессованной под острым углом. Подарок был принят с благодарностью, после чего мэру сказали, что он стоит 3200 долл. – такова стоимость извлечения сломанного поршня из вышедшей из строя машины плюс стоимость ремонта. После этого ему показали пружину стоимостью полтора доллара и сказали: «Если бы у вас была хорошая программа профилактического обслуживания, мы бы заменили шестнадцать таких пружин в двигателе, а у вас не было бы этого пресса для бумаги».

Механики убедили мэра в необходимости современной программы профилактического обслуживания. «Вы знаете, как выявлять проблемы, как их решать, и вы хотите их решить. Мы должны посторониться, чтобы дать вам сделать это. То, что вы нам показали сегодня, произвело на меня большое впечатление, мы начнем распространять ваш опыт в других отделах городской службы. Я не вижу причины, почему бы не использовать такой подход также в федеральном правительстве и в управлении штатом».

Постскриптум. Механиков, которые были членами профсоюза, пригласили на семинар по статистическим методам контроля качества в Университет Висконсина. Они посетили семинар, потратив на это свое собственное время. Когда им предложили заплатить сверхурочные, они сказали: «Нет, спасибо. Мы работаем по методу Деминга потому, что нам это действительно интересно. Мы не делаем это за деньги».

Примечание. Те же самые принципы совершенствования, разработанные доктором Хантером с помощью Питера Шолтеса и механиков ремонтной мастерской в городе Мэдисон, применимы ко всем паркам легковых и грузовых автомобилей, кому бы они ни принадлежали – муниципалитету, универмагу, железной дороге, транспортной или любой другой компании.

Глава 8
Некоторые новые принципы обучения и лидерства

Разум для имеющих его – источник жизни, а ученость глупых – глупость.

Вход
Поиск по сайту
Ищем:
Календарь