Онлайн книга «Капуста, неверные мужья и зебра. Загадки и головоломки для развития критического мышления»
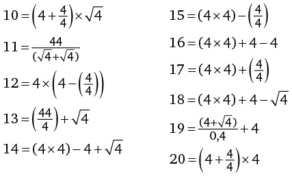
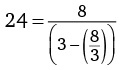
![]() От 21 до 30: ![]() От 31 до 40: ![]() От 41 до 50: ![]() (Выражаю благодарность сайту mathforum.org, где я позаимствовал эти решения.) 108. ЗАДАЧА КОЛУМБА [42] ![]() Дроби прекрасно сокращаются, поскольку
109. ТРОЙКИ И ВОСЬМЕРКИ ![]() 110. ДЕТСКАЯ ИГРА Если в условиях задачи сказано, что дети способны решить ее быстрее взрослых, то это говорит о том, что для ее решения не требуется знания математики, нужно лишь распознать простые визуальные закономерности. Увидев список чисел, взрослые автоматически начинают размышлять в категориях чисел. Однако в данной головоломке числа – всего лишь фигуры, не имеющие никакого математического смысла. Подсчитайте количество петель в каждом из четырехзначных чисел: полученное количество и есть число справа от знака равенства. У символа 8 две петли, у 0 одна, у 9 одна, а значит, число 8809 содержит шесть петель. Следовательно, число 2581 имеет 2 петли. 111. ЗАДАЧА 1: СЛЕДУЙТЕ ЗА СТРЕЛКОЙ Надеюсь, вы не слишком долго думали. Здесь действует простая закономерность. Каждое очередное число можно получить, умножив две цифры предыдущего числа: 7 × 7 = 49; 4 × 9 = 36; 3 × 6 = 18. Таким образом, следующее число – 1 × 8 = 8. 112. ЗАДАЧА 2: СЛЕДУЙТЕ ЗА СТРЕЛКОЙ Здесь закономерность состоит в следующем: нужно возвести каждую цифру числа в квадрат и сложить результаты: 42 = 15; 12 + 62 = 37; 32 + 72 = 58. И так далее, пока не будет обнаружено, что отсутствующее число – 20, поскольку 42 + 22 = 20 и 22 + 02 = 4. Я довольно долго изучал фрагмент 4 → 16, прежде чем понял, что здесь требуется возведение в квадрат. На следующем этапе необходимо было понять, как возведение в квадрат может привести от 16 к 37. А затем все пошло своим чередом. 113. ЗАДАЧА 3: СЛЕДУЙТЕ ЗА СТРЕЛКОЙ Эта головоломка покажется по-настоящему сложной, если вы еще не встречались с подобными задачами. Кажется, что здесь нет никакой арифметической закономерности. Однако если произносить слова, обозначающие эти числа, то можно заметить, что слова становятся все длиннее: Ten (10) Nine (9) Sixty (60) Ninety (90) Seventy (70) Sixty-six (66) Если записать эти слова, закономерность становится очевидной. В первом числе списка три буквы, во втором четыре, в третьем пять, а в остальных шесть, семь и восемь соответственно. Числа приведены в порядке возрастания длины слова, которым обозначается число, причем у каждого нового члена последовательности на одну букву больше. Таким образом, следующий член последовательности должен состоять из девяти букв. Однако многие слова, обозначающие числа, состоят из девяти букв, например: forty-four (44), fifty-five (55), sixty-nine (66), ninety-six (96). Вернемся к списку и проанализируем его еще раз. Числа со словами из трех букв – one (1), two (2), six (6) и ten (10). Числа со словами из четырех букв – four (4), five (5) и nine (9). Каждое число в данной последовательности – это самое большое число с соответствующим количеством букв. Мы можем убедиться в этом, проверив другие числа в списке. Самое большое число с девятью буквами – ninety-six (96), а значит, это и есть ответ. Ну, не совсем. Число 10000000000000000000000000000000000000000000000000000000000000000000000000000000000000000000000000000, или – это googol (гугол), а в этом слове шесть букв. Если прибавить к этому числу еще один ноль, получится число ten googol (десять гуголов), а здесь девять букв. Вот это лучший ответ! Понимаете, почему эту задачу, как утверждают некоторые, часто просят решить в Google потенциальных кандидатов? 114. СЛОВАРНЫЙ УГОЛОК В словаре один квадриллион чисел. Все числа должны начинаться с одного из слов one (1), two (2), three (3), four (4), five (5), six (6), seven (7), eight (8), nine (9), ten (10), eleven (11), twelve (12), thirteen (13), fourteen (14), fifteen (15), sixteen (16), seventeen (17), eighteen (18), nineteen (19), twenty (20), thirty (30), fourty (40), fifty (50), sixty (60), seventy (70), eighty (80) или ninety (90). Следовательно, номер первой словарной статьи должен начинаться с цифры 8. Аналогичные рассуждения позволяют сделать вывод, что номер последней словарной статьи должен начинаться с цифры 2, поскольку из всех перечисленных выше слов two – последнее по алфавиту. Однако это неправильный ответ, так как числа, начинающиеся с 2, но не являющиеся этим числом, будут расположены в словаре после числа 2. Существуют такие варианты для следующего обозначения искомого числа: trillion (1 000 000 000 000), billion (1 000 000 000), million (1 000 000), thousand (1000) и hundred (100). Слово trillion (1 000 000 000 000) последнее по алфавиту, а значит, первые два слова искомого числа – two trillion (2 000 000 000 000). Следующее слово в этом числе также должно быть two. Далее идут слова thousand (1000), two (2), hundred (100), two (2). Ответ – 2 000 000 002 202. |
![Иллюстрация к книге — Капуста, неверные мужья и зебра. Загадки и головоломки для развития критического мышления [i_274.jpg] Иллюстрация к книге — Капуста, неверные мужья и зебра. Загадки и головоломки для развития критического мышления [i_274.jpg]](img/book_covers/095/95498/i_274.jpg)
![Иллюстрация к книге — Капуста, неверные мужья и зебра. Загадки и головоломки для развития критического мышления [i_275.jpg] Иллюстрация к книге — Капуста, неверные мужья и зебра. Загадки и головоломки для развития критического мышления [i_275.jpg]](img/book_covers/095/95498/i_275.jpg)
![Иллюстрация к книге — Капуста, неверные мужья и зебра. Загадки и головоломки для развития критического мышления [i_276.jpg] Иллюстрация к книге — Капуста, неверные мужья и зебра. Загадки и головоломки для развития критического мышления [i_276.jpg]](img/book_covers/095/95498/i_276.jpg)
![Иллюстрация к книге — Капуста, неверные мужья и зебра. Загадки и головоломки для развития критического мышления [i_277.jpg] Иллюстрация к книге — Капуста, неверные мужья и зебра. Загадки и головоломки для развития критического мышления [i_277.jpg]](img/book_covers/095/95498/i_277.jpg)
![Иллюстрация к книге — Капуста, неверные мужья и зебра. Загадки и головоломки для развития критического мышления [i_278.jpg] Иллюстрация к книге — Капуста, неверные мужья и зебра. Загадки и головоломки для развития критического мышления [i_278.jpg]](img/book_covers/095/95498/i_278.jpg)
![Иллюстрация к книге — Капуста, неверные мужья и зебра. Загадки и головоломки для развития критического мышления [i_279.jpg] Иллюстрация к книге — Капуста, неверные мужья и зебра. Загадки и головоломки для развития критического мышления [i_279.jpg]](img/book_covers/095/95498/i_279.jpg)
![Иллюстрация к книге — Капуста, неверные мужья и зебра. Загадки и головоломки для развития критического мышления [i_280.jpg] Иллюстрация к книге — Капуста, неверные мужья и зебра. Загадки и головоломки для развития критического мышления [i_280.jpg]](img/book_covers/095/95498/i_280.jpg)