Онлайн книга «Капуста, неверные мужья и зебра. Загадки и головоломки для развития критического мышления»
|
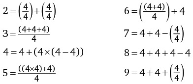
6. г) 3. Это происходит только в случаях, когда показания на часах меняются с 09:59:59 на 10:00:00; с 19:59:59 на 20:00:00 и с 23:59:59 на 00:00:00. 7. г) 216. Первые шесть положительных кубов – это 1, 8, 27, 64, 125 и 216. Очевидно, что 64 не может быть суммой трех положительных кубов, поскольку сумма всех положительных кубов меньших 64 равна 1 + 8 + 27 = 36. Аналогичным образом 125 не может быть суммой трех положительных кубов, поскольку максимальная сумма любых трех положительных кубов меньших 125 равна 8 + 27 + 64 = 99. Однако 27 + 64 + 125 = 216, а значит, 216 – это и есть наименьший куб, представляющий собой сумму трех положительных кубов. 8. в) 13-й. Если первые три члена последовательности – это −3, 0, 2, то четвертый член – это −3 + 0 + 2 = −1. Следовательно, пятый член – 0 + 2–1 = 1 и т. д. Первые тринадцать членов этой последовательности: –3, 0, 2, –1, 1, 2, 2, 5, 9, 16, 30, 55, 101… 9. в) 320. Для того чтобы пронумеровать страницы с 1-й по 9-ю, нам понадобится 9 цифр; для нумерации страниц с 10-й по 99-ю необходимо 180 цифр. Таким образом, для нумерации страниц до начала трехзначных чисел (со страницы 100) потребуется 189 цифр. Остается 663 цифры, на которые приходится еще 221 страница. Следовательно, в книге 9 + 90 + 221 = 320 страниц. 10. б) 18. Представьте, что этот крест состоит из трех горизонтальных уровней. На первом расположен куб, который был приклеен к верхней грани исходного куба. На втором находится исходный куб и четыре дополнительных куба, приклеенных к его боковым граням. Третий уровень содержит только куб, приклеенный к нижней грани исходного куба. При добавлении желтых кубов один куб приклеивается к верхней грани голубого куба на первом уровне и четыре куба – к его боковым граням. Восемь желтых кубов будут приклеены к голубым кубам на втором уровне. А к единственному голубому кубу на третьем уровне будут приклеены пять желтых кубов, как и в кубе на первом уровне. Следовательно, всего потребуется 18 желтых кубов. Глава 5. Игры с числами. Задачи для сторонников чистоты жанра 101. ЗЕРКАЛО, ЗЕРКАЛО Эти суммы одинаковые! Такой вывод кажется довольно неожиданным, пока вы не проанализируете вычисления по столбцам. Может, даже целесообразно произнести это вслух. Первый столбец суммы слева содержит одну девятку, или 1 × 9; первый столбец суммы справа содержит девять единиц, или 9 × 1. Второй столбец суммы слева содержит две восьмерки, или 2 × 8; второй столбец суммы справа содержит восемь двоек, или 8 × 2. И так далее. Цифры в каждом столбце дают в сумме одно и то же число, а значит, общие суммы одинаковы. 102. ИНТЕЛЛЕКТ КАК У ГАУССА Если бы нам требовалось записать все эти числа в столбик, как при сложении, то надо было бы знать, что при использовании подхода Гаусса каждый столбец, соответствующий разряду единиц, десятков, сотен и тысяч, содержит одни и те же цифры – единицы, двойки, тройки и четверки, хотя порядок цифр в каждом столбце будет разным. Подсчитать сумму цифр в каждом столбце не составит труда: (6 × 1) + (6 × 2) + (6 × 3) + (6 × 4) = 6 + 12 + 18 + 24 = 60. Следовательно, общая сумма равна: ![]() 103. СУММА ЧИСЕЛ В ТАБЛИЦЕ Возможно, вы решили эту задачу одним из двух способов. Я буду называть первый способ методом Алкуина, поскольку он похож на тот, каким ученый образовал пары чисел при вычислении суммы чисел от 1 до 100, а второй способ – методом Гаусса. ![]() Метод Алкуина. Сложите числа попарно по диагонали, от верхней левой до нижней правой ячейки таблицы. При этом получите: (1 + 19) = 20, (2 + 18) = 20, (3 + 17) = 20 и так далее до пары (9 + 11) = 20. Всего существует одна пара первого типа, две пары второго типа, три пары третьего типа и т. д. Следовательно, сумма этих пар равна 20 + (2 × 20) + (3 × 20) + … + (9 × 20), или (1 + 2 + 3 + … + 9) × 20, что равно 45 × 20 = 900. К этому числу следует прибавить десять десяток, расположенных по диагонали, которые мы еще не включили. Таким образом, общая сумма составит 900 + 100 = 1000. Метод Гаусса. Сумма чисел первой строки равна (1 + 10) + (2 + 9) + … + (5 + 6) = 5 × 11 = 55. Каждое число во второй строке на единицу больше соответствующего числа в первой строке, стало быть, сумма чисел второй строки равна сумме чисел первой строки плюс 10. Сумма чисел третьей строки равна сумме чисел второй строки плюс 10, то есть сумме чисел первой строки плюс 20. Следовательно, сумма чисел во всей таблице равна 55 + (55 + 10) + (55 + 20) + … + (55 + 90). Что дает: (10 ×55) + (10 + 20 + 30 + … + 90) или 550 + 10(1 + 2 + 3 + … + 9) = 550 + (10 × 45) = 550 + 450 = 1000. 104. ЦИФРЫ В КВАДРАТАХ 9 – 5 = 4 × 6 ÷ 3 = 2 = 1 + 7 = 8. 105. УРАВНЕНИЯ-ПРИЗРАКИ 27 × 3 = 81. 6 × 9 = 54. 106. ЧИСЛА В КРУГАХ Сумма чисел в каждом круге равна 11. ![]() Сумма чисел в каждом круге равна 13. ![]() Сумма чисел в каждом круге равна 14. ![]() 107. ЧЕТЫРЕ ЧЕТВЕРКИ Существует много вариантов приведенных ниже решений. От 2 до 9: ![]() От 10 до 20: |
![Иллюстрация к книге — Капуста, неверные мужья и зебра. Загадки и головоломки для развития критического мышления [i_268.jpg] Иллюстрация к книге — Капуста, неверные мужья и зебра. Загадки и головоломки для развития критического мышления [i_268.jpg]](img/book_covers/095/95498/i_268.jpg)
![Иллюстрация к книге — Капуста, неверные мужья и зебра. Загадки и головоломки для развития критического мышления [i_269.jpg] Иллюстрация к книге — Капуста, неверные мужья и зебра. Загадки и головоломки для развития критического мышления [i_269.jpg]](img/book_covers/095/95498/i_269.jpg)
![Иллюстрация к книге — Капуста, неверные мужья и зебра. Загадки и головоломки для развития критического мышления [i_270.jpg] Иллюстрация к книге — Капуста, неверные мужья и зебра. Загадки и головоломки для развития критического мышления [i_270.jpg]](img/book_covers/095/95498/i_270.jpg)
![Иллюстрация к книге — Капуста, неверные мужья и зебра. Загадки и головоломки для развития критического мышления [i_271.jpg] Иллюстрация к книге — Капуста, неверные мужья и зебра. Загадки и головоломки для развития критического мышления [i_271.jpg]](img/book_covers/095/95498/i_271.jpg)
![Иллюстрация к книге — Капуста, неверные мужья и зебра. Загадки и головоломки для развития критического мышления [i_272.jpg] Иллюстрация к книге — Капуста, неверные мужья и зебра. Загадки и головоломки для развития критического мышления [i_272.jpg]](img/book_covers/095/95498/i_272.jpg)
![Иллюстрация к книге — Капуста, неверные мужья и зебра. Загадки и головоломки для развития критического мышления [i_273.jpg] Иллюстрация к книге — Капуста, неверные мужья и зебра. Загадки и головоломки для развития критического мышления [i_273.jpg]](img/book_covers/095/95498/i_273.jpg)