Онлайн книга «Капуста, неверные мужья и зебра. Загадки и головоломки для развития критического мышления»
|
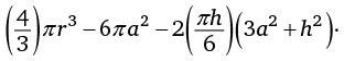
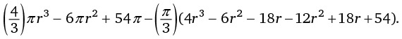
Давайте закончим начатое. Поскольку высота кольца для салфеток составляет 6 сантиметров, ее половина равна 3 сантиметрам. Следовательно, высота купола h равна r – 3, как показано на рисунке поперечного сечения ниже. ![]() Для поиска a (радиус цилиндра, подлежащего удалению) мы применим теорему Пифагора к прямоугольному треугольнику, изображенному пунктирной линией. Квадрат гипотенузы равен сумме квадратов двух других сторон, то есть r 2 = a2 + 32, а значит,
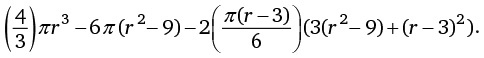
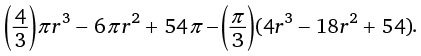
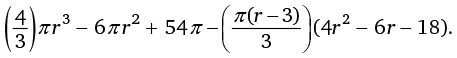
А теперь пора потрудиться. Мы уже нашли формулу объема кольца для салфеток: шар – цилиндр – 2 × купол. Воспользовавшись ею, получим ![]() Подставим в это выражение вместо a и h их значения, выраженные через r: ![]() Раскрыв скобки, получим ![]() Продолжим: ![]() Осталось еще немного: ![]() Простите за утомительную работу. ![]() Почти готово! ![]() Сокращаем члены выражения, содержащие r, и получаем 36π. Ответ поражает воображение. Переменная r в нем отсутствует, а значит, в задаче размер шара вообще не имеет значения! Все кольца для салфеток высотой 6 сантиметров имеют объем 36π. Кольцо для салфеток высотой 6 сантиметров, полученное путем высверливания отверстия в шаре размером с апельсин, имеет такой же объем, как и кольцо, сделанное из шара размером с пляжный мяч или даже с Луну. Увеличивая радиус кольца, вы делаете его тоньше, при этом такие факторы, как увеличение радиуса и уменьшение толщины кольца, полностью компенсируют друг друга для шаров всех размеров. Этот факт просто взрывает мозг! 45. НЕРАЗБЕРИХА С ПЛОЩАДЯМИ Дополните рисунок с помощью пунктирных линий. Размер прямоугольника A и прямоугольника площадью 24 см2 составляет 9 × 5 = 45 см2, поэтому A = 45–24 = 21 см2. При этом A + B = 5 × 8 = 40 см2. Следовательно, B = 19 см2. ![]() Прямоугольник B имеет аналогичную ширину и площадь, что и расположенный под ним прямоугольник площадью 19 см2. Следовательно, его высота такая же и он должен быть идентичен этому прямоугольнику. Стало быть, у прямоугольника A та же высота и ширина, что и у прямоугольника, площадь которого мы вычисляем, а соответственно, и его площадь. Ответ: 21 см2. 46. ПРЯМОУГОЛЬНИКИ ![]() 47. КИТАЙСКАЯ СТЕНА ![]() 48. АДСКИЙ ГОЛЬФ ![]() 49. СВЕТ ![]() 50. ТЕМНАЯ КОМНАТА Существует много решений этой головоломки, и все они построены по одному принципу. Комната с минимальным количеством стен – это комната с шестью стенами, напоминающая сюрикэн («лезвие, скрытое в руке» – япон.) с тремя зубцами – метательное оружие японских воинов в форме звезды. Квадратная комната более реалистична с архитектурной точки зрения. ![]() 10 УВЛЕКАТЕЛЬНЫХ ГОЛОВОЛОМОК |
![Иллюстрация к книге — Капуста, неверные мужья и зебра. Загадки и головоломки для развития критического мышления [i_200.jpg] Иллюстрация к книге — Капуста, неверные мужья и зебра. Загадки и головоломки для развития критического мышления [i_200.jpg]](img/book_covers/095/95498/i_200.jpg)
![Иллюстрация к книге — Капуста, неверные мужья и зебра. Загадки и головоломки для развития критического мышления [i_201.jpg] Иллюстрация к книге — Капуста, неверные мужья и зебра. Загадки и головоломки для развития критического мышления [i_201.jpg]](img/book_covers/095/95498/i_201.jpg)
![Иллюстрация к книге — Капуста, неверные мужья и зебра. Загадки и головоломки для развития критического мышления [i_202.jpg] Иллюстрация к книге — Капуста, неверные мужья и зебра. Загадки и головоломки для развития критического мышления [i_202.jpg]](img/book_covers/095/95498/i_202.jpg)
![Иллюстрация к книге — Капуста, неверные мужья и зебра. Загадки и головоломки для развития критического мышления [i_203.jpg] Иллюстрация к книге — Капуста, неверные мужья и зебра. Загадки и головоломки для развития критического мышления [i_203.jpg]](img/book_covers/095/95498/i_203.jpg)
![Иллюстрация к книге — Капуста, неверные мужья и зебра. Загадки и головоломки для развития критического мышления [i_204.jpg] Иллюстрация к книге — Капуста, неверные мужья и зебра. Загадки и головоломки для развития критического мышления [i_204.jpg]](img/book_covers/095/95498/i_204.jpg)
![Иллюстрация к книге — Капуста, неверные мужья и зебра. Загадки и головоломки для развития критического мышления [i_205.jpg] Иллюстрация к книге — Капуста, неверные мужья и зебра. Загадки и головоломки для развития критического мышления [i_205.jpg]](img/book_covers/095/95498/i_205.jpg)
![Иллюстрация к книге — Капуста, неверные мужья и зебра. Загадки и головоломки для развития критического мышления [i_206.jpg] Иллюстрация к книге — Капуста, неверные мужья и зебра. Загадки и головоломки для развития критического мышления [i_206.jpg]](img/book_covers/095/95498/i_206.jpg)
![Иллюстрация к книге — Капуста, неверные мужья и зебра. Загадки и головоломки для развития критического мышления [i_207.jpg] Иллюстрация к книге — Капуста, неверные мужья и зебра. Загадки и головоломки для развития критического мышления [i_207.jpg]](img/book_covers/095/95498/i_207.jpg)
![Иллюстрация к книге — Капуста, неверные мужья и зебра. Загадки и головоломки для развития критического мышления [i_208.jpg] Иллюстрация к книге — Капуста, неверные мужья и зебра. Загадки и головоломки для развития критического мышления [i_208.jpg]](img/book_covers/095/95498/i_208.jpg)
![Иллюстрация к книге — Капуста, неверные мужья и зебра. Загадки и головоломки для развития критического мышления [i_209.jpg] Иллюстрация к книге — Капуста, неверные мужья и зебра. Загадки и головоломки для развития критического мышления [i_209.jpg]](img/book_covers/095/95498/i_209.jpg)
![Иллюстрация к книге — Капуста, неверные мужья и зебра. Загадки и головоломки для развития критического мышления [i_210.jpg] Иллюстрация к книге — Капуста, неверные мужья и зебра. Загадки и головоломки для развития критического мышления [i_210.jpg]](img/book_covers/095/95498/i_210.jpg)
![Иллюстрация к книге — Капуста, неверные мужья и зебра. Загадки и головоломки для развития критического мышления [i_211.jpg] Иллюстрация к книге — Капуста, неверные мужья и зебра. Загадки и головоломки для развития критического мышления [i_211.jpg]](img/book_covers/095/95498/i_211.jpg)
![Иллюстрация к книге — Капуста, неверные мужья и зебра. Загадки и головоломки для развития критического мышления [i_212.jpg] Иллюстрация к книге — Капуста, неверные мужья и зебра. Загадки и головоломки для развития критического мышления [i_212.jpg]](img/book_covers/095/95498/i_212.jpg)
![Иллюстрация к книге — Капуста, неверные мужья и зебра. Загадки и головоломки для развития критического мышления [i_213.jpg] Иллюстрация к книге — Капуста, неверные мужья и зебра. Загадки и головоломки для развития критического мышления [i_213.jpg]](img/book_covers/095/95498/i_213.jpg)
![Иллюстрация к книге — Капуста, неверные мужья и зебра. Загадки и головоломки для развития критического мышления [i_214.jpg] Иллюстрация к книге — Капуста, неверные мужья и зебра. Загадки и головоломки для развития критического мышления [i_214.jpg]](img/book_covers/095/95498/i_214.jpg)