Онлайн книга «Капуста, неверные мужья и зебра. Загадки и головоломки для развития критического мышления»
|
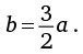
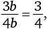
Объединив оба уравнения, получим: πr2 – площадь линз = πr2 – площадь крыльев. Из этого следует, что площадь линз равна площади крыльев. Поскольку есть четыре крыла равного размера и четыре линзы равного размера, площадь одного крыла равна площади одной линзы. 35. КРУГИ САНГАКУ ![]() Идеальное совмещение кругов друг с другом на рисунке – не только то, что делает изображение столь привлекательным, но еще и ключ к решению головоломки, так как у нас есть возможность сравнивать радиусы кругов. Обозначим круги в порядке возрастания размера символами A, B, C, D и E, а их радиусы – a, b, c, d и e. Наша задача – выразить d через a. На первом рисунке я выделил жирным три отрезка. Вертикальный отрезок – это радиус круга D, обозначенного пунктиром, но этот же отрезок соответствует четырем радиусам круга A и трем радиусам круга B. Следовательно, мы можем записать такое уравнение: [1] d = 4a + 3b. Аналогично два других отрезка, радиусы круга E, также можно выразить через радиусы других кругов: [2] e = 4a + 5b; [3] e = b + 2c. Хитрость заключается в том, чтобы понять (благодаря изображению ромба на втором рисунке), что: [4] 4a + 2b = b + c. Мы имеем четыре уравнения с пятью неизвестными. Поскольку нам нужно выразить d через a, избавимся от других членов уравнений. Во-первых, мы можем исключить e, приравняв выражения [2] и [3]: 4a + 5b = b + 2c. Следовательно, 4a + 4b = 2c, или [5] 2a + 2b = c. Подстановка c в уравнение [4] даст такой результат: 4a + 2b = b + 2a +2b, или [6] 2a = b. А подстановка в уравнение [1] дает: d = 4a + 6a = 10a. Это и есть ответ: радиус круга D в десять раз больше радиуса круга A. 36. ТРЕУГОЛЬНИК САНГАКУ Я обозначил круги разных размеров символами A, B и C, а их радиусы – a, b и c. Стратегия решения задачи заключается в том, чтобы сначала выразить радиус b через a, а затем c через b, что позволит нам доказать, что с = 2a. На рисунке я обозначил пунктирной линией треугольник, длина гипотенузы которого равна b + a, поскольку она состоит из радиусов соответствующих кругов, а длина двух других сторон – b и 2b – a. Вторую длину можно вывести исходя из того, что эта сторона треугольника равна половине стороны квадрата, длина которой должна быть равна 4b, за вычетом радиуса круга A. ![]() Теорема Пифагора гласит, что во всех прямоугольных треугольниках квадрат гипотенузы равен сумме квадратов катетов, а значит: (b + a)2 = b2 + (2b – a)2. Это уравнение можно представить в таком виде: b2 + 2ab + a2 = b2 + 4b2 – 4ab + a2. Сократим его до: 6ab = 4b2. Затем сократим еще раз: 3a = 2b. И наконец, получим решение: ![]() Таким образом, мы выразили b через a. Теперь посмотрим на верхний треугольник на рисунке. Я построил отрезки от центра круга до каждой из его сторон. Каждый отрезок образует со стороной треугольника прямой угол, а значит, этот треугольник состоит из квадрата b × b и двух фигур в форме воздушного змея. Длинная сторона воздушного змея, смотрящая влево, составляет 3b, поскольку она равна стороне большого квадрата минус радиус круга B. А исходя из того, что воздушные змеи симметричны, вторая сторона змея также должна быть 3b. Если обозначить символом x сторону воздушного змея, смотрящую направо, то с помощью теоремы Пифагора получим: (3b + x)2 = (b + x)2 + (4b)2. Раскрыв скобки в уравнении, будем иметь: 9b2 + 6bx + x2 = b2 + 2bx + x2 + 16b2. Сокращение даст нам следующий результат: 4bx = 8b2. Отсюда следует: x = 2b. Вертикальная сторона верхнего треугольника равна x + b = 2b + b = 3b. Вертикальная сторона нижнего треугольника равна 4b. Учитывая, что эти два треугольника одинаковой формы (хотя и разных размеров), соотношение их сторон, равное
Если
Теперь у нас есть c, выраженное через b, и b, выраженное через a. Следовательно, c можно выразить через a в таком виде:
|
![Иллюстрация к книге — Капуста, неверные мужья и зебра. Загадки и головоломки для развития критического мышления [i_185.jpg] Иллюстрация к книге — Капуста, неверные мужья и зебра. Загадки и головоломки для развития критического мышления [i_185.jpg]](img/book_covers/095/95498/i_185.jpg)
![Иллюстрация к книге — Капуста, неверные мужья и зебра. Загадки и головоломки для развития критического мышления [i_186.jpg] Иллюстрация к книге — Капуста, неверные мужья и зебра. Загадки и головоломки для развития критического мышления [i_186.jpg]](img/book_covers/095/95498/i_186.jpg)
![Иллюстрация к книге — Капуста, неверные мужья и зебра. Загадки и головоломки для развития критического мышления [i_187.jpg] Иллюстрация к книге — Капуста, неверные мужья и зебра. Загадки и головоломки для развития критического мышления [i_187.jpg]](img/book_covers/095/95498/i_187.jpg)
![Иллюстрация к книге — Капуста, неверные мужья и зебра. Загадки и головоломки для развития критического мышления [i_188.jpg] Иллюстрация к книге — Капуста, неверные мужья и зебра. Загадки и головоломки для развития критического мышления [i_188.jpg]](img/book_covers/095/95498/i_188.jpg)
![Иллюстрация к книге — Капуста, неверные мужья и зебра. Загадки и головоломки для развития критического мышления [i_189.jpg] Иллюстрация к книге — Капуста, неверные мужья и зебра. Загадки и головоломки для развития критического мышления [i_189.jpg]](img/book_covers/095/95498/i_189.jpg)
![Иллюстрация к книге — Капуста, неверные мужья и зебра. Загадки и головоломки для развития критического мышления [i_190.jpg] Иллюстрация к книге — Капуста, неверные мужья и зебра. Загадки и головоломки для развития критического мышления [i_190.jpg]](img/book_covers/095/95498/i_190.jpg)
![Иллюстрация к книге — Капуста, неверные мужья и зебра. Загадки и головоломки для развития критического мышления [i_191.jpg] Иллюстрация к книге — Капуста, неверные мужья и зебра. Загадки и головоломки для развития критического мышления [i_191.jpg]](img/book_covers/095/95498/i_191.jpg)