Книга Укрощение бесконечности. История математики от первых чисел до теории хаоса, страница 22 – Йен Стюарт

Авторы: А Б В Г Д Е Ж З И Й К Л М Н О П Р С Т У Ф Х Ч Ш Ы Э Ю Я
Книги: А Б В Г Д Е Ж З И Й К Л М Н О П Р С Т У Ф Х Ц Ч Ш Щ Ы Э Ю Я
Бесплатная онлайн библиотека LoveRead.ec

Онлайн книга «Укрощение бесконечности. История математики от первых чисел до теории хаоса»

📃 Cтраница 22

Как следствие, астрономические вычисления связаны с геометрией сферы, а не плоскости. Соответственно, и требования к ним определяются не плоскостной геометрией и тригонометрией, а геометрией и тригонометрией сферы. Одной из самых ранних работ на эту тему считают сочинение Менелая «Сферика» примерно 100 г. н. э. Пример одной из его теорем, не имеющей аналогов в геометрии Евклида, таков: если два треугольника имеют одинаковые углы, то они конгруэнтны – т. е. совпадают как по размеру, так и по форме (по Евклиду они подобны: имеют одну форму, но, возможно, разные размеры). В сферической геометрии сумма углов треугольника превышает 180°. Например, треугольник, чьи вершины лежат на Северном полюсе и двух точках экватора, разнесенных на 90°, явно имеет три прямых угла, т. е. их сумма равна 270°. И чем больше размеры треугольника, тем больше сумма его углов. Фактически эта сумма минус 180° пропорциональна общей площади треугольника.

Эти примеры показывают, что геометрия сферы имеет свои характеристики и необычные черты. То же относится и к сферической тригонометрии, хотя и здесь основными остаются стандартные тригонометрические функции. Меняются только формулы.

Птолемей

Безусловно, вершиной тригонометрической мысли античности является текст Птолемея Александрийского Megale syntaxis («Великое построение»), датируемый примерно 150 г. н. э. Он больше известен как «Альмагест», что по-арабски означает «величайший», и включает тригонометрические таблицы, снова изложенные в понятиях хорд, вместе с методами вычисления их размеров, а также описание положений светил на небесной сфере. Превосходным примером сложнейшего хода мысли Птолемея служит его теорема, согласно которой если четырехугольник ABCD вписан в окружность (его вершины лежат на этой окружности), то

AB × CD + BC × DA = AC × BD

(произведение диагоналей вписанного четырехугольника равно сумме произведений противоположных сторон).

Иллюстрация к книге — Укрощение бесконечности. История математики от первых чисел до теории хаоса [i_073.jpg]

Четырехугольник, вписанный в окружность, и его диагонали


Современная интерпретация этого факта – знаменитая пара формул:

sin (θ + φ) = sin θ cos φ + cos θ sin φ,

cos (θ + φ) = cos θ cos φ – sin θ sin φ.

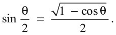
Главное следствие из этой формулы – возможность легко вычислить синус и косинус суммы двух углов, если вам известны синус и косинус каждого из них. Итак, начиная (например) с sin 1° и cos 1°, вы можете вычислить sin 2° и cos 2°, взяв θ = φ = 1°. Затем вы можете получить sin 3° и cos 3°, взяв θ = 1°, φ = 2°, и т. д. Вам только необходимо знать, как начать, но всё, что вам позже потребуется, не выходит за рамки арифметики. Вычислений будет довольно много, зато они несложные.

Начать эту цепочку легче, чем кажется, потребуются только арифметический и квадратный корни. Исходя из очевидного θ/2 + θ/2 = θ, теорема Птолемея приводит к тому, что:

Иллюстрация к книге — Укрощение бесконечности. История математики от первых чисел до теории хаоса [i_074.jpg]

Начав с cos 90° = 0, вы можете постоянно делить угол пополам, получая сколь угодно малые углы для синусов и косинусов (Птолемей использовал 1/4°). Затем вы можете пойти в обратную сторону, используя все целочисленные кратные этого малого угла. Начиная с нескольких основных формул тригонометрии и нескольких простых значений величины некоторых углов, вы сможете вычислить величину практически любого угла. Это был выдающийся прорыв, который вывел астрономию на вершину науки на целое тысячелетие.

Еще одним выдающимся достижением «Альмагеста» стало то, как в нем вычислены орбиты планет. Любой, кто занимается наблюдением за светилами, очень быстро замечает, что планеты блуждают между определенных звезд, а пути, по которым они следуют, довольно сложные и могут то поворачивать назад, то сворачиваться в вытянутые петли.

Евдокс, верный заветам Платона, нашел способ представлять эти сложные траектории в виде сфер, наложенных друг на друга. Его идею упростили Аполлоний и Гиппарх, предложив использовать эпициклы – окружности, чьи центры движутся по другим окружностям, и т. д. Птолемей развил идею эпициклов, и это позволило построить очень точную модель планетарных орбит.

Ранняя тригонометрия

Ранние концепции тригонометрии появляются в трудах индийских математиков и астрономов: «Панча-сиддхантика» («Трактат, включающий пять сиддхант» Варахамихиры, 575 г.), «Брахма-спхута-сиддханта» («Усовершенствованное учение Брахмы» Брахмагупты, 628 г.) и более подробный «Сиддханта-широмани» («Венец учения») Бхаскары, 1150 г.

Индийские математики обычно использовали полухорду, или «арха-джива», по сути современный синус. Варахамихира вычислил эту функцию для 24 целочисленных кратных, с 3°45´ до 90°. Примерно в 600 г. в книге Маха-Бхаскария привел полезную приблизительную формулу для синуса острого угла, изобретение которой он приписал Арьябхате. Этим ученым принадлежит авторство многих базовых тригонометрических формул.

Иллюстрация к книге — Укрощение бесконечности. История математики от первых чисел до теории хаоса [i_075.jpg]

Движение Марса, наблюдаемое с Земли


Арабский математик Насир-Ад-Дин Туси в «Трактате о полном четырехстороннике» комбинировал плоскостную и сферическую геометрию в единую унифицированную систему и привел несколько базовых формул для сферических треугольников. Он исследовал эту тему скорее с математических позиций, нежели с астрономических. Но на Западе никто не знал о его работах вплоть до 1450 г.

Благодаря тесной привязке к астрономии почти вся тригонометрия оставалась сферической вплоть до 1450 г. В частности, геодезия – нынешняя главная «потребительница» тригонометрии – по сути представляет собой эмпирически разработанные методы, приведенные в систему еще римлянами. Но в середине XV в. плоскостная тригонометрия стала выделяться в отдельную отрасль знаний, и началось это в Северогерманском Ганзейском союзе. Союз контролировал практически всю торговлю, поэтому был богатой и влиятельной организацией. И ему нужны были усовершенствованные методики навигации, наряду с точным измерением времени и практической прикладной астрономией.

Ключевой фигурой того времени был Иоганн Мюллер, более известный как Региомонтан. Он был учеником Георга Пурбаха, начавшего работу над новой редакцией «Альмагеста». В 1471 г. на деньги своего патрона Бернхарда Вальтера он работает над составлением новой таблицы синусов и таблицей тангенсов.

Вход
Поиск по сайту
Ищем:
Календарь