Книга Укрощение бесконечности. История математики от первых чисел до теории хаоса, страница 20 – Йен Стюарт

Авторы: А Б В Г Д Е Ж З И Й К Л М Н О П Р С Т У Ф Х Ч Ш Ы Э Ю Я
Книги: А Б В Г Д Е Ж З И Й К Л М Н О П Р С Т У Ф Х Ц Ч Ш Щ Ы Э Ю Я
Бесплатная онлайн библиотека LoveRead.ec

Онлайн книга «Укрощение бесконечности. История математики от первых чисел до теории хаоса»

📃 Cтраница 20

Современные символы > и < для «больше» и «меньше» пришли к нам благодаря Томасу Хэрриоту. Круглые скобки () появились в 1544 г., а квадратные [] и фигурные { } изобрел Виет примерно в 1593 г. Декарт использовал символ квадратного корня √, представляющего стилизованную букву r для обозначения корня; для кубического корня он использовал символ √с.

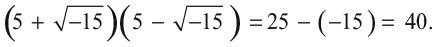
Чтобы наглядно показать разницу между символами нашего времени и периода Возрождения, приведу цитату из «Великого искусства» Кардано:

5p: R m:15

5m: R m:15

25m: m:15 qd. est 40.

В современных символах получится:

Иллюстрация к книге — Укрощение бесконечности. История математики от первых чисел до теории хаоса [i_067.jpg]

Итак, здесь мы видим p: и m: для плюса и минуса, R для квадратного корня и qd. est для латинского выражения «что есть». Кардано писал

qdratu aeqtur 4 rebus p: 32

там, где мы бы написали

x2 = 4x + 32.

Он использовал разные сокращения, rebus и aeqtur, для неизвестного (предмета) и его квадрата. В остальных местах он использует R как неизвестное, Z для его квадрата и C для куба.

Влиятельной, хотя и малоизвестной фигурой был в свое время француз Никола Шюке, чья книга «Наука о числах в трех частях» («Le triparty еn la science des nombres»), вышедшая в 1484 г., описывала три главные математические темы: арифметику, корни и неизвестные. Его обозначение для корней очень похоже на символ Кардано, но он первым ввел надстрочное написание степени неизвестного. Он называл первые четыре степени неизвестного premier, champs, cubiez и champs de champs [4]. Для того, что мы бы сейчас написали как 6x, 4x2, 5x3, он использовал комбинации.6.1, 4.2 и.5.3. Он также применял ноль и отрицательные степени и писал.2.0 и.3.1.m., где мы бы написали 2 и 3x–1. Он использовал экспоненциальную запись (надстрочные символы) для степеней неизвестного, но не символы для самого неизвестного.

Это упущение исправил Декарт. Его запись уже очень близка к современной, за одним исключением. Там, где мы бы написали:

5 + 4x + 6x2 + 11x3 + 3x4,

Декарт писал:

5 + 4x + 6xx + 11x3 + 3x4.

Как видите, xx используется вместо квадрата. Правда, время от времени Декарт тоже писал x2. Ньютон обозначал степени неизвестного так же, как и мы, включая дроби и отрицательные показатели, например x3/2 для квадратного корня из x3. А Гаусс окончательно отказался от xx в пользу x2. И как только это совершил Гроссмейстер, все сочли своим долгом последовать его примеру.

Логика символов

Алгебра началась как способ систематизации задач по арифметике, но ко времени Виета уже жила собственной жизнью. До Виета алгебраические символы и операции рассматривались только как способы записать и выразить арифметические процедуры: во главе угла оставались числа. Виет ввел четкое различие между тем, что он называл логикой символов и логикой чисел. С его точки зрения алгебраическое уравнение представляет целый класс (вид символов) арифметических выражений. Это была новаторская концепция. В труде 1591 г. «Введение в аналитическое искусство» он объясняет, что алгебра – метод оперирования общими формами, а арифметика имеет дело с конкретными числами.

Возможно, вам это покажется педантизмом, но различие с новой точкой зрения значительно. По Виету, алгебраическое вычисление, например (в нашем написании)

(2x + 3y) – (x + y) = x + 2y,

выражает путь действий с символьными обозначениями. Отдельные выражения 2x + 3y и т. д. – математические объекты сами по себе. Они могут быть прибавлены, вычтены, умножены и разделены даже без учета того, какие числа представляют. Но для предшественников Виета то же уравнение – не более чем численное соотношение, верное только тогда, когда конкретные числа подставлены вместо символов x и y. Так алгебра обрела самостоятельную жизнь как раздел математики, посвященный символьным выражениям. Это был первый шаг к ее освобождению от ярлыка приложения к арифметике.

ЧТО АЛГЕБРА ДАЕТ НАМ

Главные «потребители» алгебры в современном мире – ученые, старающиеся представить законы природы в виде уравнений. Последние могут быть решены, чтобы выразить неизвестные величины с использованием известных. Техника стала настолько привычной, что никто не замечает, что использует алгебру.

Алгебра очень эффектно была приложена к археологии в сериале «Команда времени», когда несгибаемый телеархеолог решает выяснить, насколько глубок был средневековый колодец. Первой идеей было что-нибудь туда кинуть и измерить время до момента, когда предмет упадет на дно. Это заняло шесть секунд. Соответствующая алгебраическая формула такова:

s = 1/2gt2,

где s – глубина колодца, t – время падения предмета, а g – ускорение свободного падения, примерно 10 м/с2. Поставив 6 вместо t, по формуле мы получим глубину около 180 метров.

Из-за неуверенности в формуле – хотя, как выясняется позже, команда времени вспомнила ее правильно – герои решили опустить в колодец связанные вместе три мерные ленты.

И глубина колодца на самом деле оказалась очень близкой к 180 метрам.

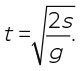
Алгебра покажется нам еще более полезной, если мы будем знать глубину и захотим вычислить время. Теперь нам предстоит решить уравнение для неизвестной t с заданной s и получить результат по формуле

Иллюстрация к книге — Укрощение бесконечности. История математики от первых чисел до теории хаоса [i_068.jpg]

Зная, что s = 180 м, например, мы можем предположить, что t равно квадратному корню из 360/10, или квадратному корню из 36, т. е. шесть секунд.

Глава 5. Вечные треугольники

Тригонометрия и логарифмы

Евклидова геометрия основана на треугольниках – главным образом потому, что любой многоугольник можно построить из нескольких треугольников, а практически все прочие важные фигуры, такие как круги и эллипсы, аппроксимируются с помощью многоугольников. Метрические свойства треугольников – те, что поддаются измерению, например длина их сторон, величина углов или общая площадь, – описаны разными формулами, подчас весьма изящными. Практическое приложение этих формул, особенно важных для навигаторов и землемеров, дало толчок развитию тригонометрии: само название этой отрасли знаний означает «измерение треугольников».

Вход
Поиск по сайту
Ищем:
Календарь