Онлайн книга «На волне Вселенной. Шрёдингер. Квантовые парадоксы»
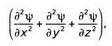
![]() И наоборот, если х увеличивается, коэффициент ![]() уменьшается, пока не станет незначительным. Эти две тенденции показывают, что электрон подвержен воздействию притяжения, когда он находится поблизости от ядра (где V сильно увеличивается). И его присутствие едва заметно, когда он очень далеко (V уменьшается, пока не исчезнет). В последнем случае, когда V стремится к нулю, уравнение сокращается до того вида, который соответствует свободному электрону (рисунок 15). Мы предполагаем, что в любой момент ядро находится в состоянии покоя (или что можно не обращать внимания на его скорость, как и на скорость электронов). ![]() РИС. 14 ![]() РИС. 15 Действие V, связывающее электроны с ядром, равносильно тому, чтобы зафиксировать струну на подставке скрипки. Так как функция а(х,t) должна быть равна нулю на концах или соответствовать форме струны до касания, существуют дополнительные условия к ψ. Она должна быть постоянной и ее значение должно стремиться к нулю при нахождении далеко от ядра. Настоящее значение этих условий будет раскрыто в следующей главе. В тот момент, когда условия будут выполнены, энергия системы будет квантована согласно формуле Бора. Функции решения ψ ведут себя так же, как стоячие волны, создавая в атоме стабильную ситуацию. Главная загадка уравнения Шрёдингера (которая будет решена в следующей главе) — какая физическая величина представляет знаменитую функцию ψ? Этот вопрос вызвал бурные споры с того самого момента, когда он был поставлен. Наглядность функции Ψ Чтобы описать реальный атом водорода, необходимо ввести три координаты: ![]() В трех измерениях анализ уравнения усложняется. Очевидно, чтобы визуализировать решения, необходимы четыре оси: одна — для ψ и три другие — для х, у и z. И если мы введем время t, то нам понадобится пятая ось. Но несмотря на эти сложности, можно сделать несколько замечаний относительно вида искомого решения. Например, проясняя (1), мы замечаем, что сумма динамики изменения касательных ψ ![]() которую мы назовем Rизменения, равна: ![]() Переобозначим постоянные для большей ясности: ![]() Когда мы удаляемся от начала координат (х, у и z, большие), SQRT(x² + у² + z²) приобретает намного большее значение, чем b, и коэффициент уменьшается до тех пор, пока не исчезнет. Таким образом, из уравнения следует: Rизменения =3Ψ. Принимая во внимание, что одно из условий, поставленных функции ψ, было таким, чтобы она стремилась к нулю при удалении от ядра, произведение постоянной а через ψ в равной степени будет тяготеть к нулю. Тогда последнее уравнение показывает, что сумма динамики изменения трех касательных стремится к нулю с ростом расстояния: Rизменения -> О· Кажется разумным предположить, что они изменятся по отдельности. Если бы это было так, у них была бы возможность соединиться, чтобы исчезнуть при сложении. Вдалеке от протонов ψ исчезает, и касательные принимают горизонтальное положение. И наоборот, когда электрон находится рядом с ядром, где значения переменных х, у и z, малы, сумма динамики изменения касательных будет выше. Это поведение обязано тому факту, что при Rизменения выражение ![]() стремительно растет и превышает постоянную а. На кривой функции ψ мы увидим взлеты и падения около начала координат. Затем функция успокаивается при условии, что она удаляется (см. рисунок). ![]() Для изучения вида функции ψ она может быть разделена на три зоны. B A Rизменения увеличивается, и ψ представляет несколько касательных. В С Rизменения стремится к нулю как касательная ψ. Научные дискуссии казались бесконечными, и Макс Борн, который предложил наиболее удовлетворительный ответ, должен был ждать около 30 лет, чтобы получить за него Нобелевскую премию. Шрёдингер сам не мог принять свою интерпретацию. Он всегда думал о том, что ψ представляла распределение заряда электрона, как если бы частица рассыпалась в пространстве. Словно разлитая вода, накапливающаяся в углублениях и избегающая возвышенностей, электрический заряд концентрируется больше в одних местах, чем в других. Волновая функция рисует карту распределения плотностей. Шрёдингер стремился к классической физике, но научная честность заставляла его заметить, что его традиционное видение теряет силу во владениях атома. Выход нашелся в отказе от примитивного значения частицы: «Материя представляет собой волны и только волны». Вселенная состояла из колебаний, которые часто сосредотачивались в определенных зонах пространства, создавая иллюзию частиц с макроскопической точки зрения. Математики могут играть с волновыми конструктивными и деструктивными интерференциями, суммируя их и заставляя принимать почти все формы, какие только возможно, особенно форму сгустка или, говоря техническим языком, форму волнового пакета (см. рисунок). |
![Иллюстрация к книге — На волне Вселенной. Шрёдингер. Квантовые парадоксы [img_75.jpg] Иллюстрация к книге — На волне Вселенной. Шрёдингер. Квантовые парадоксы [img_75.jpg]](img/book_covers/076/76610/img_75.jpg)
![Иллюстрация к книге — На волне Вселенной. Шрёдингер. Квантовые парадоксы [img_76.jpg] Иллюстрация к книге — На волне Вселенной. Шрёдингер. Квантовые парадоксы [img_76.jpg]](img/book_covers/076/76610/img_76.jpg)
![Иллюстрация к книге — На волне Вселенной. Шрёдингер. Квантовые парадоксы [img_77.jpg] Иллюстрация к книге — На волне Вселенной. Шрёдингер. Квантовые парадоксы [img_77.jpg]](img/book_covers/076/76610/img_77.jpg)
![Иллюстрация к книге — На волне Вселенной. Шрёдингер. Квантовые парадоксы [img_78.jpg] Иллюстрация к книге — На волне Вселенной. Шрёдингер. Квантовые парадоксы [img_78.jpg]](img/book_covers/076/76610/img_78.jpg)
![Иллюстрация к книге — На волне Вселенной. Шрёдингер. Квантовые парадоксы [img_79.jpg] Иллюстрация к книге — На волне Вселенной. Шрёдингер. Квантовые парадоксы [img_79.jpg]](img/book_covers/076/76610/img_79.jpg)
![Иллюстрация к книге — На волне Вселенной. Шрёдингер. Квантовые парадоксы [img_80.jpg] Иллюстрация к книге — На волне Вселенной. Шрёдингер. Квантовые парадоксы [img_80.jpg]](img/book_covers/076/76610/img_80.jpg)
![Иллюстрация к книге — На волне Вселенной. Шрёдингер. Квантовые парадоксы [img_81.jpg] Иллюстрация к книге — На волне Вселенной. Шрёдингер. Квантовые парадоксы [img_81.jpg]](img/book_covers/076/76610/img_81.jpg)
![Иллюстрация к книге — На волне Вселенной. Шрёдингер. Квантовые парадоксы [img_82.jpg] Иллюстрация к книге — На волне Вселенной. Шрёдингер. Квантовые парадоксы [img_82.jpg]](img/book_covers/076/76610/img_82.jpg)
![Иллюстрация к книге — На волне Вселенной. Шрёдингер. Квантовые парадоксы [img_83.jpg] Иллюстрация к книге — На волне Вселенной. Шрёдингер. Квантовые парадоксы [img_83.jpg]](img/book_covers/076/76610/img_83.jpg)
![Иллюстрация к книге — На волне Вселенной. Шрёдингер. Квантовые парадоксы [img_84.jpg] Иллюстрация к книге — На волне Вселенной. Шрёдингер. Квантовые парадоксы [img_84.jpg]](img/book_covers/076/76610/img_84.jpg)