Онлайн книга «На волне Вселенной. Шрёдингер. Квантовые парадоксы»
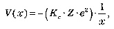
![]() пропорциональна скорости, с которой меняется касательная на графике временного изменения ![]() Если, например, коэффициент Т/р больше 1, волна будет более сжатой на временной оси, чем на пространственной (рисунок 4). ![]() РИС. 4 Если Т/р меньше 1, отношение обратное; если Т = р, касательная изменяется одинаково в пространстве и во времени. Иными словами, мы видим перед собой классическое описание работы струнного музыкального инструмента, сделанное с помощью постоянной функции, но со своими переменными, частотой, квантами. Между квантованием энергии уравнения Бора (1) для атомов и уравнением частоты гармоник нет существенного различия. Подчеркнем, что эта мощная аналогия до сих пор не привлекала внимания физиков, однако Шрёдингер не прошел мимо. Его уравнение предполагает бесконечность чисто математических решений, но если ввести дополнительные условия, то один из его параметров — энергия — становится квантованным. ![]() фундаментальная или первая гармоника ![]() вторая гармоника ![]() третья гармоника Первая статья Шрёдингера, посвященная структуре атома, называлась «Квантование как задача о собственных значениях» (1926). Под термином «собственное значение» имеется в виду параметр, который является квантованным после наложения на дифференциальное уравнение определенных условий. В этой статье Шрёдингер определенно ссылается на колебания струны. Целые числа, возникающие при рассмотрении атома водорода, получаются «естественным образом, сами по себе, подобно тому как сама по себе получается целочисленность числа узлов при рассмотрении колеблющейся струны. Это новое представление может быть обобщено, и я думаю, что оно тесно связано с истинной природой квантования». Пришло время вернуться к выражению: ![]() где m — масса электрона и Е — энергия системы. Функция ψ связана с информацией относительно расположения электрона таким способом, который пока еще нельзя объяснить. Функция V(x) представляет любое воздействие Вселенной на электрон. Когда она равна нулю, предполагают, что электрон является свободным, но как только электрон приближается к ядру и оказывается связанным с атомом, функция V(x) перестает быть равной нулю и подчиняется электрическому присутствию протонов: ![]() где Z — число протонов, идентифицирующее атом. Мы располагаем ядро в начале координат (х = 0) таким образом, что переменная х также означает расстояние, отделяющее нас от ядра. Введем это выражение в уравнение Шрёдингера: ![]() Мы можем рассматривать V(x) как произведение постоянной (соединяющей Кc, Z и е²) и функции расположения 1/х: ![]() где функция 1/х принимает вид как на рисунке 14 (стр. 89), на котором мы видим, что функция 1/х стремится к бесконечности при х = 0 и убывает до исчезновения, когда х становится очень большим числом. Свободный электрон Когда функция У исчезает, электрон становится свободным, и уравнение Шрёдингера сокращается до своей самой простой формы: ![]() Это очень похоже на уже рассмотренное первое дифференциальное уравнение: ![]() Из этого мы делаем вывод, что касательная у пропорциональна значению функции в каждой точке. Именно сейчас проявляется динамика изменения касательной функции ψ. Отметим, что при повышенном значении для Е (электрон с высокой энергией) вторая производная будет больше постоянной ψ. Мы окажемся в ситуации сжатой волны с малой длиной (см. рисунок 11, стр. 80). Если мы возьмем выражение де Бройля λ = h/p, то малая λ соответствует большой р (то есть повышенной скорости р = mv). И наоборот, малая Е приводит нас к случаю вытянутой волны, с большой длиной и, таким образом, низкой скоростью: электрон с низкой энергией. В уравнении (1) электрон, не испытывая никакого влияния окружающей среды, находится в состоянии, похожем на состояние свободной струны, и его частота постоянна. К тому же форма ψ очень похожа на волну, распространяющуюся в свободном пространстве. Энергия частицы также не является квантованной и предполагает бесконечный спектр значений. График кривой показывает, что V оказывается принципиальным в уравнении, когда значение х мало (когда электрон блуждает около ядра). Если мы разделим число на другое, намного меньшее, чем единица, то получим в качестве результата большое число. Чем сильнее уменьшается знаменатель, тем больше становится коэффициент. Например: ![]() |
![Иллюстрация к книге — На волне Вселенной. Шрёдингер. Квантовые парадоксы [img_62.jpg] Иллюстрация к книге — На волне Вселенной. Шрёдингер. Квантовые парадоксы [img_62.jpg]](img/book_covers/076/76610/img_62.jpg)
![Иллюстрация к книге — На волне Вселенной. Шрёдингер. Квантовые парадоксы [img_63.jpg] Иллюстрация к книге — На волне Вселенной. Шрёдингер. Квантовые парадоксы [img_63.jpg]](img/book_covers/076/76610/img_63.jpg)
![Иллюстрация к книге — На волне Вселенной. Шрёдингер. Квантовые парадоксы [img_64.jpg] Иллюстрация к книге — На волне Вселенной. Шрёдингер. Квантовые парадоксы [img_64.jpg]](img/book_covers/076/76610/img_64.jpg)
![Иллюстрация к книге — На волне Вселенной. Шрёдингер. Квантовые парадоксы [img_65.jpg] Иллюстрация к книге — На волне Вселенной. Шрёдингер. Квантовые парадоксы [img_65.jpg]](img/book_covers/076/76610/img_65.jpg)
![Иллюстрация к книге — На волне Вселенной. Шрёдингер. Квантовые парадоксы [img_66.jpg] Иллюстрация к книге — На волне Вселенной. Шрёдингер. Квантовые парадоксы [img_66.jpg]](img/book_covers/076/76610/img_66.jpg)
![Иллюстрация к книге — На волне Вселенной. Шрёдингер. Квантовые парадоксы [img_67.jpg] Иллюстрация к книге — На волне Вселенной. Шрёдингер. Квантовые парадоксы [img_67.jpg]](img/book_covers/076/76610/img_67.jpg)
![Иллюстрация к книге — На волне Вселенной. Шрёдингер. Квантовые парадоксы [img_68.jpg] Иллюстрация к книге — На волне Вселенной. Шрёдингер. Квантовые парадоксы [img_68.jpg]](img/book_covers/076/76610/img_68.jpg)
![Иллюстрация к книге — На волне Вселенной. Шрёдингер. Квантовые парадоксы [img_69.jpg] Иллюстрация к книге — На волне Вселенной. Шрёдингер. Квантовые парадоксы [img_69.jpg]](img/book_covers/076/76610/img_69.jpg)
![Иллюстрация к книге — На волне Вселенной. Шрёдингер. Квантовые парадоксы [img_70.jpg] Иллюстрация к книге — На волне Вселенной. Шрёдингер. Квантовые парадоксы [img_70.jpg]](img/book_covers/076/76610/img_70.jpg)
![Иллюстрация к книге — На волне Вселенной. Шрёдингер. Квантовые парадоксы [img_71.jpg] Иллюстрация к книге — На волне Вселенной. Шрёдингер. Квантовые парадоксы [img_71.jpg]](img/book_covers/076/76610/img_71.jpg)
![Иллюстрация к книге — На волне Вселенной. Шрёдингер. Квантовые парадоксы [img_72.jpg] Иллюстрация к книге — На волне Вселенной. Шрёдингер. Квантовые парадоксы [img_72.jpg]](img/book_covers/076/76610/img_72.jpg)
![Иллюстрация к книге — На волне Вселенной. Шрёдингер. Квантовые парадоксы [img_73.jpg] Иллюстрация к книге — На волне Вселенной. Шрёдингер. Квантовые парадоксы [img_73.jpg]](img/book_covers/076/76610/img_73.jpg)
![Иллюстрация к книге — На волне Вселенной. Шрёдингер. Квантовые парадоксы [img_74.jpg] Иллюстрация к книге — На волне Вселенной. Шрёдингер. Квантовые парадоксы [img_74.jpg]](img/book_covers/076/76610/img_74.jpg)