Книга Пол и гендер, страница 9 – Евгений Ильин

Авторы: А Б В Г Д Е Ж З И Й К Л М Н О П Р С Т У Ф Х Ч Ш Ы Э Ю Я
Книги: А Б В Г Д Е Ж З И Й К Л М Н О П Р С Т У Ф Х Ц Ч Ш Щ Ы Э Ю Я
Бесплатная онлайн библиотека LoveRead.ec

Онлайн книга «Пол и гендер»

📃 Cтраница 9
Рис. 1.2. Динамика вторичного соотношения полов (Германия 1908–1928 гг.)

Например, в Москве в 1911–1916 гг. соотношение было равно 104,7:100, в 1917 г. – 106,9:100, а в 1922–1924 гг., когда закончились Первая мировая и Гражданская войны, соотношение выросло до 107,4:100 (Новосельский С. А., 1958). Механизмы этой природной саморегуляции соотношения полов не ясны. В. А. Геодакян (1965) выдвинул в качестве регулирующего фактора интенсивность половой деятельности, которая возрастает тем больше, чем меньше остается после различных катаклизмов (например, войн) мужчин (при относительном росте числа молодых и слабых здоровьем, которых на войну не берут). Свою точку зрения он подкрепляет тем, что у животных половое истощение или физическая слабость производителя (самца) ведет к преобладанию в потомстве самцов. Таким образом, в экстремальных условиях самцов гибнет больше, но и больше рождается. С таким объяснением не согласны Д. В. Колесов и Н. В. Сельверова (1978), которые считают, что половая активность представителей мужского пола далеко не определяется их относительной численностью. Активность действительно может быть и ни при чем, но состояние здоровья как не воевавших, так и воевавших, скорее всего, играет свою роль.

Глава 2. Морфофункциональные половые различия

2.1. Морфологические различия между лицами мужского и женского пола

В первые 3 года жизни существенных различий по длине и массе тела, а также по окружности грудной клетки нет. Мальчики немного превосходят девочек в длине тела – до 10 лет, а в массе – примерно до 8,5 лет. Однако в связи с более ранним (на 1–1,5 года) началом полового созревания девочки начинают превосходить мальчиков в длине тела (с 10 до 13 лет) и в массе (с 9 до 14 лет). После 12 лет у девочек снижаются темпы увеличения роста, а с 14 лет – и темпы увеличения массы тела. У мальчиков же в этот период физическое развитие протекает весьма интенсивно. В результате, в 17 лет масса тела юношей превышает таковую девушек на 12 %, а рост и окружность грудной клетки – на 9 %. Мужчины в среднем выше женщин на 10 см. Формируются мужские пропорции тела: широкие плечи и спина, таз существенно уже, чем плечи, сравнительно длинные конечности, центр тяжести находится выше пояса, тогда как у женщин – ниже.

Дж. Таннер (1968) отмечает, что девочки уже с рождения опережают мальчиков по оссификации (замещение в скелете хрящевой ткани костной) приблизительно на 20 %. Оссификация скелета у девочек в возрасте 10–12 лет на 2–3 года опережает таковую у мальчиков. Однако женщины обладают более хрупким скелетом.

М. В. Антропова (1983) приводит данные темпов изменения антропометрических показателей у детей по отношению к данным взрослых (дефинитивным показателям), из которых следует, что в каждый возрастной период детства девочки морфологически развиваются большими темпами, чем мальчики (табл. 2.1).

Таблица 2.1.

Суммарные приросты основных соматометрических показателей ребенка в отдельные возрастные периоды его развития (средние величины, процент)*

Иллюстрация к книге — Пол и гендер [autogen_ebook_id3.jpg]

* Примечание: за 100 % приняты абсолютные величины соматометрических показателей взрослого условного человека, приведенные в книге: «Человек. Медико-биологические данные». М., 1977.

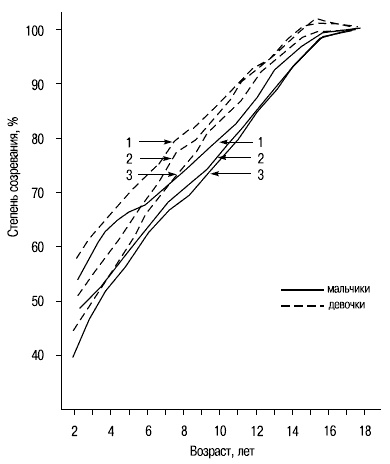
Согласно данным Дж. Таннер (1968), темпы развития конечностей выше у девочек. Уже с рождения по пропорциям тела девочки ближе к дефинитивному (окончательному) состоянию по сравнению с мальчиками. Это видно на рис. 2.1, где представлены градиенты созревания (степень приближения в данный момент к дефинитивным размерам, принятым за 100 %) верхних конечностей у девочек и мальчиков.

Иллюстрация к книге — Пол и гендер [autogen_ebook_id4.jpg]
Рис. 2.1. Градиенты созревания верхних конечностей: 1 – кисти рук, 2 – предплечье, 3 – плечо

Большие темпы роста и созревания девочек по сравнению с мальчиками можно объяснить тем, что в крови первых имеется большая концентрация гормона роста – соматотропина , чем в крови вторых (рис. 2.2).

Иллюстрация к книге — Пол и гендер [autogen_ebook_id5.jpg]
Рис. 2.2. Содержание соматотропина в плазме крови у детей на разных стадиях полового созревания

Однако надо отметить, что все приведенные данные не учитывают тип телосложения детей, который может внести в темпы развития мальчиков и девочек существенные коррективы. Так, по данным А. Б. Хазановой, средний возраст прорезывания зубов меньше у девочек только дигестивного типа телосложения, при наличии же других типов (торакального, мышечного и неопределенного) зубы быстрее прорезываются у мальчиков (табл. 2.2). Таблица 2.2. Средний возраст (месяцы) прорезывания зубов среди детей грудного возраста Москвы

Иллюстрация к книге — Пол и гендер [autogen_ebook_id6.jpg]

У шестилетних детей девочки дигестивного типа превосходят мальчиков астеноидного, мышечного и торакального типа по весу и обхвату груди и почти не уступают мальчикам астеноидного типа по длине тела (табл. 2.3). Таблица 2.3. Антропометрические показатели шестилетних детей в зависимости от типа конституции (по данным Т. В. Панасюк)

Иллюстрация к книге — Пол и гендер [autogen_ebook_id7.jpg]

...

Мужчины взрослеют к шестидесяти годам, а женщины – примерно к пятнадцати.

Дж. Стивенс, английский писатель

Несмотря на то что у взрослых женщин соматотропина в крови больше, чем у мужчин, они уступают мужчинам по физическому развитию. Связано это с тем, что на физическое развитие влияют и мужские половые гормоны (андрогены), которых у мужчин после полового созревания становится значительно больше, чем у женщин, и которые, по мнению некоторых ученых, не только сами влияют на развитие организма, но и усиливают продуцирование соматотропина. Во всяком случае, андрогены даже в качестве синергистов усиливают действие соматотропина у мужчин в гораздо большей степени, чем у женщин.

Женщины обладают меньшей длиной (в Европе – в среднем на 12 см) и массой тела (в среднем на 10–15 кг), менее сильным связочным аппаратом, более узкими плечами, короткой и широкой грудной клеткой, широким и ниже расположенным тазом (что обусловливает более низкое расположение центра тяжести), более длинным туловищем со сравнительно более короткими конечностями (на 10 %). Соотношение объема талии и бедер в среднем у женщин равно 0,7, а у мужчин – 0,9. У женщин сильнее выражен поясничный лордоз. У мужчин рост тела заканчивается в 25–32 года, у женщин – в 17–18 лет.

У лиц мужского пола мышечная (активная) масса тела больше, чем у лиц женского пола. Эти различия начинают проявляться уже у маленьких детей, когда после первого увеличения жировых отложений в возрасте от 0 до 6 месяцев они начинают уменьшаться явно заметнее у мальчиков, чем у девочек. В подростковом возрасте у мальчиков эта тенденция сохраняется, а у девочек опять начинается рост подкожного жирового слоя.

Реклама
Вход
Поиск по сайту
Ищем:
Календарь