Книга Пол и гендер, страница 12 – Евгений Ильин

Авторы: А Б В Г Д Е Ж З И Й К Л М Н О П Р С Т У Ф Х Ч Ш Ы Э Ю Я
Книги: А Б В Г Д Е Ж З И Й К Л М Н О П Р С Т У Ф Х Ц Ч Ш Щ Ы Э Ю Я
Бесплатная онлайн библиотека LoveRead.ec

Онлайн книга «Пол и гендер»

📃 Cтраница 12
Иллюстрация к книге — Пол и гендер [autogen_ebook_id12.jpg]
Рис. 2.7. Максимальная легочная вентиляция в разном возрасте у мужчин и женщин

Активность системы серотонина выше у девочек, чем у мальчиков, а гистамина – наоборот, выше у мальчиков, чем у девочек. Наиболее существенные различия в гормональной системе у лиц мужского и женского пола состоят, конечно же, в количестве в их организме мужских (андрогены) и женских (эстрогены, прогестерон) половых гормонов.

* * *

Древнее житейское представление о глазах как о «зеркале души» (величина зрачка) 150 лет назад было дополнено научным заключением о глазах как о «зеркале тела». Таким вторым «зеркалом» является структура радужной оболочки. А. Я. Зайцев и И. М. Палей (1998) совместили изучение этих «зеркал» и выяснили, что соотношение между площадью зрачка и площадью радужки у мужчин и женщин разное. В мужской группе площадь радужки превышает площадь зрачка в значительно большей степени, чем в женской группе. Это различие в тенденции выражается в том, что абсолютная площадь зрачка у женщин больше, чем у мужчин, даже в спокойных фоновых условиях. Примечательно, что разница в относительных величинах зрачка и радужки коррелирует с эрготропностью – трофотропностью. Для мужчин характерно преобладание эрготропности, а для женщин – трофотропности.

Авторы полагают, что обнаруженные различия являются частным случаем различия акупунктурной «насыщенности» кожи у мужчин и женщин. Они ссылаются при этом на данные Е. С. Вельхова, который показал, что количество акупунктурных точек у мужчин в 2,4 раза больше, чем у женщин.

2.3. Половые различия в темпах моторного развития

По данным П. С. Бабкина (1975), половые различия в психомоторике начинают проявляться у детей уже на безусловно-рефлекторном уровне. Так, у девочек по таким рефлексам, как глоточный, хоботковый, Майера, Кернига, контрлатеральный Брудзинского, брюшные гипои арефлексия чаще наблюдаются у девочек, чем у мальчиков. И только по рефлексу Тромнера гипои арефлексия чаще наблюдаются у мальчиков, чем у девочек.

Мальчики на 2–3 месяца позже, чем девочки, начинают ходить, речь у мальчиков тоже появляется позже на 4–6 месяцев. Однако сроки моторного развития мальчиков и девочек грудного возраста во многом зависят от типа телосложения (табл. 2.4).

Таблица 2.4.

Средний возраст (месяцы) по этапам моторного развития детей грудного возраста разного типа телосложения (по данным Хазановой А. Б., 1975)

Иллюстрация к книге — Пол и гендер [autogen_ebook_id13.jpg]

Как видно из таблицы, по способности держать голову девочки торакального типа опережают мальчиков всех типов, а девочки мышечного типа уступают мальчикам всех типов. По способности переворачиваться девочки мышечного типа опережают мальчиков мышечного и дигестивного типа, а девочки торакального типа отстают в сроках от мальчиков всех типов и т. д.

Во многом благодаря морфологическим и физиологическим различиям, проявляющимся после периода полового созревания, по мышечной силе и быстроте, а также аэробной выносливости лица мужского пола превосходят лиц женского пола.

2.4. Половые различия в проявлении свойств нервной системы и темперамента

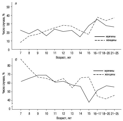
Сила нервной системы. По данным А. М. Сухаревой (1972), увеличение с возрастом количества лиц, имеющих большую и среднюю силу нервной системы, выражено у лиц как мужского, так и женского пола, но у последних более ярко – за счет того, что девочек 7–8 лет со слабой нервной системой больше, чем мальчиков того же возраста, а в возрасте 18–25 лет различий между лицами мужского и женского пола в количестве лиц с сильной и слабой нервной системой нет (рис. 2.8).

Иллюстрация к книге — Пол и гендер [autogen_ebook_id14.jpg]
Рис. 2.8. Изменение с возрастом количества лиц с различной силой нервной системы: а – сильная нервная система; б – слабая нервная система

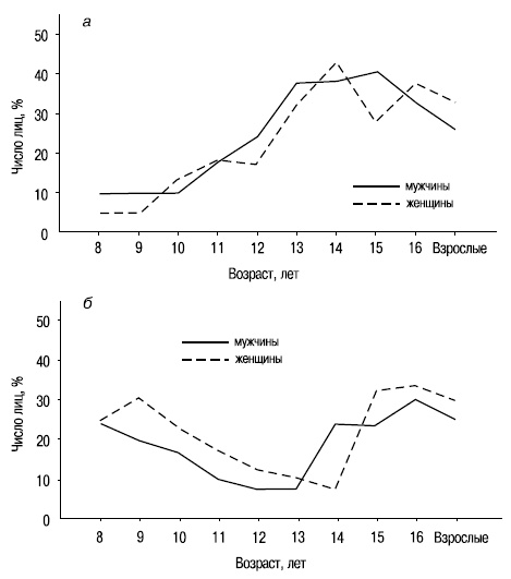
Подвижность нервных процессов. По данным Н. Е. Высотской (1972) и А. Г. Пинчукова (1974), среди мальчиков 7–16 лет количество лиц с подвижностью как возбуждения, так и торможения больше, чем среди девочек (рис. 2.9). Затем с подвижностью возбуждения больше становится женщин.

Иллюстрация к книге — Пол и гендер [autogen_ebook_id15.jpg]
Рис. 2.9. Подвижность возбуждения у лиц мужского и женского пола (Высотская Н. Е., 1972)

Баланс нервных процессов. Существенных различий между школьниками мужского и женского пола по внешнему балансу нет. До периода полового созревания лиц с преобладанием торможения несколько больше среди девочек, так же как и после него. В пубертатном возрасте с преобладанием торможения больше мальчиков. Возможно, это связано с тем, что этот период наступает раньше у девочек и, следовательно, раньше уменьшается (в связи со сдвигом баланса в сторону возбуждения) число лиц с преобладанием торможения. По количеству лиц с преобладанием возбуждения различий между лицами мужского и женского пола практически не было во всех возрастных группах (рис. 2.10).

Иллюстрация к книге — Пол и гендер [autogen_ebook_id16.jpg]
Рис. 2.10. Внешний баланс между возбуждением и торможением у лиц мужского и женского пола: а – преобладание возбуждения; б – преобладание торможения (Семенов М. И., 1972)

Лабильность. По данным Е. В. Воронина (1984), между мужчинами и женщинами различия по лабильности есть, хотя и несущественные: лабильность на свет была в среднем равна соответственно 39,2 и 38,9 единиц, а на звук – 75,9 и 74,5 единицы. Н. М. Пейсахов и А. О. Прохоров (1975) нашли статистически достоверные различия по КЧМ в пользу мужчин.

Свойства темперамента. И. М. Владимирова (2001), используя опросник Д. Кейрси для выявления типов темперамента, установила, что в выборке мужчин оказалось вдвое больше лиц сенсорного планирующего (SJ) и вчетверо – интуитивного рационального (NT) типа, в группе женщин – вдвое больше лиц интуитивного эмоционального (NF) типа. Девушки оказались более экстравертированными, эмоциональными, с лучше развитой интуицией, более естественными и спонтанными, чем юноши. Юноши же отличались рациональностью и планомерностью.

По данным Н. Герасимовой (1998), общительность женщин 20–25 лет значительно выше таковой у мужчин того же возраста.

Распространенность типов с акцентуацией характера по А. Е. Личко. М. К. Омаровой (2002) выявлено на большом контингенте обследованных, что у юношей достоверно чаще, чем у девушек, встречается эпилептоидный и гипертимный типы, а у девушек – лабильный и психастенический типы. Остальные типы представлены у тех и других практически одинаково (табл. 2.5).

Таблица 2.5. Частота разных типов акцентуации у юношей и девушек (процент случаев)
Иллюстрация к книге — Пол и гендер [autogen_ebook_id17.jpg]

Реклама
Вход
Поиск по сайту
Ищем:
Календарь