Онлайн книга «Максвелловская научная революция»
|
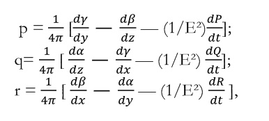
«Если мы сможем теперь объяснить состояние тела по отношению к окружающему веществу, когда говорится, что оно «заряжено» электричеством, и объяснить силы, действующие между наэлектризованными телами, то мы сможем тем самым установить связь между всеми феноменами электрической науки» (Maxwell, [1861], p. 13). Далее, отмечает Максвелл, если существует разница в натяжениях между различными частями любого тела, то электричество протекает, или стремится протечь, от мест с большим натяжением к местам с меньшим натяжением. Если рассматриваемое тело – проводник, будет иметь место действительное прохождение электричества. Но если перед нами изолятор, то, несмотря на то, что электричество течь по нему не может, электрические эффекты и их распространение все же могут иметь место. В данном отношении проводник может быть уподоблен пористой мембране, которая оказывает сопротивление прохождению жидкости через нее; в то время как диэлектрик аналогичен эластичной мембране, которая для жидкости непроницаема, но позволяет передавать давление из одной части в другую. Действующая на диэлектрик электродвижущая сила поляризует его части подобно поляризации железных опилок под воздействием магнита, приводя к тому, что каждая железная частица становится обладательницей двух полюсов, направленных в противоположные стороны. Поэтому в диэлектрике под воздействием индукции электричество в каждой молекуле смещается таким образом, что одна сторона оказывается заряженной положительно, а другая – отрицательно. Тем не менее, электричество всецело остается в пределах молекулы, и не перетекает от одной молекулы к другой. «В результате этого воздействия на весь диэлектрик возникает общее смещение электричества в определенном направлении. Это смещение не доходит до тока, поскольку, как только оно достигнет определенного значения, оно остается постоянным, но это – начало тока…» (Maxwell, [1861], p. 14). В итоге если h – смещение, R – электродвижущая сила, а E – коэффициент, зависящий от природы диэлектрика, то R = – 4πE h. Величина электрического тока из-за смещения r будет определяться из выражения: ![]() Эти соотношения не зависят ни от какой теории внутреннего механизма диэлектриков; но когда мы найдем электродвижущую силу, образующую электрическое смещение в диэлектрике, и когда мы найдем диэлектрик, освобождающийся от его состояния электрического смещения с равной электродвижущей силой, тогда мы придем к сравнению этого явления с упругим телом, которое поддается давлению и возвращает первоначальную форму тогда, когда давление устранено (Maxwell, [1861], p. 14). Для дальнейшего изложения существенно следующее замечание Максвелла, сделанное им в процессе развертывания теории молекулярных вихрей. «В последующем я рассмотрел отношение между смещением и той силой, которая его производит, в предположении, что ячейки являются сферическими. Действительная форма ячеек возможно [!] не настолько значительно отличается от сферической для того, чтобы привести к большим отличиям в численном результате» (Maxwell, [1861], p. 14). Этот результат был необходим Максвеллу «для получения соотношения между статической и динамической мерами электричества, и показал, при помощи сравнения электромагнитных экспериментов М. М. Кольрауша и Вебера со скоростью света, найденной М. Физо, что эластичность магнитной среды в воздухе – та же самая, что эластичность светоносной среды, если только эти две сосуществующие, одинаково протяженные и одинаково эластичные среды не одна и та же среда» (Maxwell, [1861], p. 14). Введение тока смещения потребовало изменения системы уравнений, полученных Максвеллом ранее, что и выразилось в доказательстве следующей теоремы (proposition XIV): скорректировать уравнения для электрических токов [уравнения (9) в обозначениях Максвелла] с учетом эластичности среды. Продифференцировав приведенное выше выражение для электродвижущей силы смещения по t, получим выражение
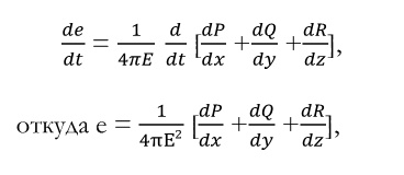
![]() где p, q, r – это компоненты вектора электрического тока в направлениях x,y,z; α, β, γ – компоненты вектора магнитного поля, а P, Q, R – компоненты электродвижущей силы. Тогда, если e – количество свободного электричества в единице объема, то уравнение непрерывности будет выглядеть следующим образом: ![]() Продифференцировав полученное выше выражение для p,q,r по x,y,z и подставив результаты в уравнение непрерывности, получим: ![]() Последняя формула нужна Максвеллу для того, чтобы доказать следующую теорему (proposition XV): найти силу, действующую между двумя наэлектризованными телами. Используя выражения для энергии, возникающей в среде в результате смещения, а также соответствующие выражения для электрического напряжения, Максвелл получает
Таким образом, распространение теории молекулярных вихрей на явления электростатики оказалось возможным именно из-за учета упругости вихрей, которые делают магнито-электрическую субстанцию способной поддерживать волны упругости. Определенная ранее в теореме XIII величина E оказывается коэффициентом, на который должно быть умножено выраженное в магнитных единицах количество электричества для того, чтобы получить число, выражающее то же самое количество электричества, но в электростатических единицах. Вебер и Кольрауш нашли, что E = 310 740 000 000. Все это необходимо Максвеллу для того, чтобы доказать теорему XVI: найти скорость распространения поперечных колебаний через упругую среду, из которой состоят ячейки, в предположении, что ее упругость целиком обусловлена силами, действующими между парами материальных точек. |
![Иллюстрация к книге — Максвелловская научная революция [img7db1524af5cf4410b91f57fce36a82e6.jpg] Иллюстрация к книге — Максвелловская научная революция [img7db1524af5cf4410b91f57fce36a82e6.jpg]](img/book_covers/076/76443/img7db1524af5cf4410b91f57fce36a82e6.jpg)
![Иллюстрация к книге — Максвелловская научная революция [img00d88604cf79463897f8c8e5802bc61b.jpg] Иллюстрация к книге — Максвелловская научная революция [img00d88604cf79463897f8c8e5802bc61b.jpg]](img/book_covers/076/76443/img00d88604cf79463897f8c8e5802bc61b.jpg)
![Иллюстрация к книге — Максвелловская научная революция [img46e1f42fd805496db791cf275a0c9452.jpg] Иллюстрация к книге — Максвелловская научная революция [img46e1f42fd805496db791cf275a0c9452.jpg]](img/book_covers/076/76443/img46e1f42fd805496db791cf275a0c9452.jpg)
![Иллюстрация к книге — Максвелловская научная революция [imgeedcb68bf75445b9a21c5cdbfeda4a21.jpg] Иллюстрация к книге — Максвелловская научная революция [imgeedcb68bf75445b9a21c5cdbfeda4a21.jpg]](img/book_covers/076/76443/imgeedcb68bf75445b9a21c5cdbfeda4a21.jpg)
![Иллюстрация к книге — Максвелловская научная революция [imgad40bbcc8fe94d65badcdf8f15e1e76e.jpg] Иллюстрация к книге — Максвелловская научная революция [imgad40bbcc8fe94d65badcdf8f15e1e76e.jpg]](img/book_covers/076/76443/imgad40bbcc8fe94d65badcdf8f15e1e76e.jpg)
![Иллюстрация к книге — Максвелловская научная революция [imgcc63093b5e1142ed9fb454c32a767aaa.jpg] Иллюстрация к книге — Максвелловская научная революция [imgcc63093b5e1142ed9fb454c32a767aaa.jpg]](img/book_covers/076/76443/imgcc63093b5e1142ed9fb454c32a767aaa.jpg)