Книга Максвелловская научная революция, страница 1 – Ринат Нугаев

Авторы: А Б В Г Д Е Ж З И Й К Л М Н О П Р С Т У Ф Х Ч Ш Ы Э Ю Я
Книги: А Б В Г Д Е Ж З И Й К Л М Н О П Р С Т У Ф Х Ц Ч Ш Щ Ы Э Ю Я
Бесплатная онлайн библиотека LoveRead.ec

Онлайн книга «Максвелловская научная революция»

📃 Cтраница 1
ВВЕДЕНИЕ

Принято считать, что объединившая оптику, электричество и магнетизм максвелловская электродинамика явилась этапом развертывания фарадеевской научно-исследовательской программы, основанной на концепции близкодействия (см., например, Chalmers, [1976], 2007). Последняя, обеспечив и предсказание, и опытное подтверждение существования радиоволн, победила, наконец, успешно конкурировавшую с ней – на первых порах – исследовательскую программу Ампера-Вебера, основанную на альтернативной близкодействию концепции дальнодействия.

Тем не менее, более пристальный взгляд на историю и методологию физики второй половины XIX в., ставший возможным прежде всего благодаря исследованиям Дэниела Сигела (1991), Маргарет Моррисон (2000) и Оливье Дарриголя (2001), позволяет поставить эту точку зрения под сомнение как слишком большое упрощение – и предложить ее определенную модификацию – на основе учета следующих аргументов.

(А) Во-первых, сам Максвелл неоднократно – с самой первой «электрической» работы и до конца своих дней – подчеркивал, что ключевые идеи электродинамики Ампера-Вебера не столько альтернативны, сколько дополнительны по отношению к концепции полевого взаимодействия, поскольку и та, и другая необходимы, хотя и в разной степени, для дальнейшего развития электродинамики. И в «Трактате об Электричестве и Магнетизме», и в других работах Максвелл отмечал, что полевая теория электромагнитного действия через посредника математически идентична теориям действия на расстоянии, разрабатывавшимися Вебером и Нейманом.

Еще в начале своих исследований в области электродинамики, в мае 1855 г., аспирант кембриджского университета, прилежный студент профессора математики Габриэля Стокса и ректора Тринити-колледжа философа науки кантианца Уильяма Уэвелла, а также постоянный корреспондент Уильяма Томсона с гордостью сообщает отцу:

«Я продолжаю работать над электричеством, стремясь проложить свой путь сквозь работы солидных (heavy) немецких авторов. Привести в порядок все их понятия потребует много времени, но я надеюсь выработать свой взгляд на этот предмет и прийти в конце концов к чему-то интеллигибельному (intelligible) в виде теории» (цит. по работе Campbell & Garnett, 1882, p.105).

Использование юным Максвеллом картезианской терминологии обусловлено тем, что именно Декарт требовал артикуляции феноменов на интеллигибельные и сугубо чувственно-воспринимаемые вещи; в отличие от первых, последние представляют собой мир хаоса, преходящих ощущений и влечений.

И уже в последовавшей вскоре самой первой «электрической» статье «О фарадеевых силовых линиях» (1856), заложившей основы собственной методологии построения теории электрических и магнитных явлений, ее автор заявляет, что в данной работе « мы продвигаемся вперед на основе другого принципа». Какого именно? – Мы «ищем объяснения явлений не только в токах, но также и в окружающей их среде» (Maxwell, 1856, p. 193).

Но при этом перед современным исследователем неизбежно встает следующий вопрос: зачем же нужна была еще одна точка зрения на явления электричества и магнетизма? Разве мало было разнообразных теоретических воззрений в электродинамике первой половины XIX в.? Чем плоха была, например, «настоящая физическая теория», выдвинутая «Ньютоном теории электричества» – Андре-Мари Ампером (c работы которого в 1826 г. и началась теоретическая электродинамика) – и основанная им вместе с Вебером и Нейманом на принципах действия на расстоянии, тех принципах, «которые мы прекрасно понимаем» 1? Ведь домаксвелловская теоретическая электродинамика Ампера-Вебера, действительно обеспечившая объединение электростатики и электродинамики с теорией магнетизма, прекрасно согласовывалась с опытными данными, была свободна от внутренних противоречий и обещала плодотворный союз с оптикой. Никакой авральной необходимости выработки иного подхода к электродинамике в этот период большинством исследователей «не ощущалось».

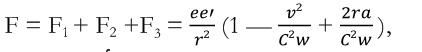
Например, в 1846 г. немецкий последователь Ампера Вильгельм Вебер (1804-1890) предложил простую и изящную интегральную теорию, объединявшую все известные тогда классы электромагнитных явлений. Согласно этой теории, сила взаимодействия между двумя зарядами e и e’, находящимися на расстоянии r друг от друга,

Иллюстрация к книге — Максвелловская научная революция [img276acdb180054e3a976cc8b13672e8bc.jpg]

где Cw = √2с;

v – относительная скорость зарядов;

a – ускорение;

F1 – электростатические силы;

F2 – электричество и магнетизм;

F3 – электромагнитная индукция.

К этому следует добавить, что уже в 1847 г. Герман Гельмгольц показал, что явление электромагнитной индукции с необходимостью следует из закона Ампера, если учитывать закон сохранения энергии, т.е. это основополагающее явление впервые получило свое теоретическое объяснение именно в рамках программы Ампера-Вебера.

Судя по всему, впервые Максвелл сослался на теорию Вебера в письме Уильяму Томсону от 15 мая 1855 г. По совету последнего, он проработал веберовский трактат «Elektrodynamische Maasbestimmungen» и охарактеризовал прочитанное следующим образом: «Я специально изучал его [т.е. веберовский] способ соединения электростатики с электродинамикой, индукцией и т.д., и должен признаться, что мне он, хоть и не с первого раза, понравился» (цит. по: D’Agostino, 1984, p. 150).

Как заметил впоследствии один из современных историков и методологов науки, «Максвелл был сильно впечатлен – и даже несколько напуган – предлагаемым таким образом элегантным объединением электромагнитных явлений» (Siegel, 1991, p.10).

Более того, как впоследствии отмечал сам Максвелл, именно «согласно теории Вебера, периодические электрические возмущения должны распространяться со скоростью равной скорости света» (Maxwell [1868], 1890,p.137).

– Все, что на эти весомые аргументы в пользу исследовательской программы Ампера-Вебера мог сначала возразить Максвелл: «всегда хорошо иметь два разных подхода к одному и тому же предмету… Кроме того, я не думаю, что мы имеем право утверждать, что действительно понимаем действие электричества, и я также полагаю, что главная заслуга современной теории, имеющей лишь преходящий характер, состоит в том, что она только направляет действия экспериментаторов, не препятствуя появлению истинной теории до тех пор, когда последняя будет создана» (Maxwell, 1856, p. 208).

Правда, уже в другом месте той же работы Максвелл приводит более глубокие аргументы в пользу необходимости создания новой теории электромагнетизма. Он отмечает, что электродинамика Ампера-Вебера – слишком математизированная теория, игнорирующая связи между явлениями, теория, огрубляющая, упрощающая отношения между статическим и динамическим электричеством: «…теория проводимости гальванизма и теория взаимного притяжения проводников были сведены к математическим формулам, но не были поставлены в отношения к другим частям электрической науки» (Maxwell, 1856, p. 155).

Вход
Поиск по сайту
Ищем:
Календарь