Онлайн книга «Простая одержимость. Бернхард Риман и величайшая нерешенная проблема в математике»
![]() Рисунок 19.4.
Конечно, площадь под графиком функции J бесконечна. Нарисованная полоска уже имеет бесконечную площадь (высота 1/2, длина бесконечна, площадь 1/2×∞ = ∞). Таковы же площади и всех других полосок. Все вместе они складываются в бесконечность. Но что, если я пожелаю «придавить» функцию J справа таким образом, чтобы площадь под графиком стала конечной? Так, чтобы каждая из этих полосок постепенно сужалась и сжималась до такой степени, чтобы площадь ее стала конечной? Как можно было бы осуществить такое «придавливание»? Последний интеграл подсказывает как. Предположим, что мы взяли какое-нибудь число s (которое будем считать большим единицы). Для каждого аргумента x умножим J(x) на x−s−1. Для иллюстрации возьмем s = 1,2. Тогда x−s−1 = x−2,2 или, другими словами, 1/x2,2. Возьмем аргумент x, скажем, равным 15. Вот, J(15) есть 7,333333…, а 15−2,2 равно 0,00258582…. Перемножая, получаем, что J(x)x−s−1 имеет значение 0,018962721…. Если брать большие аргументы, то сдавливание будет выражено более ярко. При x = 100 значение выражения J(x)x−s−1 равно 0,001135932…. На рисунке 19.5 показан график функции J(x)x−s−1 при s = 1,2. Чтобы подчеркнуть «эффект сдавливания», там показана та же самая полоска, которая была выделена и ранее, но теперь после сдавливания. Видно, как она все более и более худеет по мере того, как аргумент устремляется на восток. Имеется вполне реальный шанс, что вся площадь окажется конечной, несмотря на свою бесконечную длину. В предположении, что так и есть и что дело обстоит таким же образом для всех полосок, спросим себя: какова же будет полная площадь под графиком этой функции? Или, выражаясь математически, каково будет значение
![]() Рисунок 19.5.
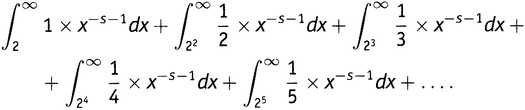
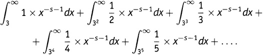
Давайте посмотрим. Будем перебирать простые числа одно за одним. Для простого числа 2 до сдавливания имеем полоску высоты 1, идущую от 2 до бесконечности, далее полоску высоты идущую от 22 до бесконечности, затем полоску высоты идущую от 23 до бесконечности, и т.д. Сумма площадей сдавленных полосок — если мы рассматриваем пока только простое число 2 — равна (19.4): ![]() Конечно, это пока только 2-полоски. Имеется аналогичная бесконечная сумма интегралов для 3-полосок (19.5): ![]() И аналогичная сумма для 5, потом для 7 и т.д. для всех простых чисел. Бесконечная сумма бесконечных сумм интегралов! Все хуже и хуже! Да, но самый густой мрак перед рассветом. Это возвращает нас к началу данного раздела. Поскольку интеграл прозрачен для умножения на число,
Золотой Ключ (аналитический вариант) (19.6) ![]() Я просто не нахожу слов, чтобы выразить, насколько это чудесный результат. Он ведет прямо к центральному результату в работе Римана — результату, который будет предъявлен в главе 21. На самом деле это просто переписывание Золотого Ключа в терминах анализа. Однако переписать его так — это невероятно мощное достижение, потому что теперь Золотой Ключ открыт для всех мощных средств дифференциального и интегрального исчисления XIX века. В этом состояло достижение Римана. |
![Иллюстрация к книге — Простая одержимость. Бернхард Риман и величайшая нерешенная проблема в математике [i_153.jpg] Иллюстрация к книге — Простая одержимость. Бернхард Риман и величайшая нерешенная проблема в математике [i_153.jpg]](img/book_covers/076/76259/i_153.jpg)
![Иллюстрация к книге — Простая одержимость. Бернхард Риман и величайшая нерешенная проблема в математике [i_152.jpg] Иллюстрация к книге — Простая одержимость. Бернхард Риман и величайшая нерешенная проблема в математике [i_152.jpg]](img/book_covers/076/76259/i_152.jpg)
![Иллюстрация к книге — Простая одержимость. Бернхард Риман и величайшая нерешенная проблема в математике [i_154.jpg] Иллюстрация к книге — Простая одержимость. Бернхард Риман и величайшая нерешенная проблема в математике [i_154.jpg]](img/book_covers/076/76259/i_154.jpg)
![Иллюстрация к книге — Простая одержимость. Бернхард Риман и величайшая нерешенная проблема в математике [i_155.jpg] Иллюстрация к книге — Простая одержимость. Бернхард Риман и величайшая нерешенная проблема в математике [i_155.jpg]](img/book_covers/076/76259/i_155.jpg)
![Иллюстрация к книге — Простая одержимость. Бернхард Риман и величайшая нерешенная проблема в математике [i_156.jpg] Иллюстрация к книге — Простая одержимость. Бернхард Риман и величайшая нерешенная проблема в математике [i_156.jpg]](img/book_covers/076/76259/i_156.jpg)
![Иллюстрация к книге — Простая одержимость. Бернхард Риман и величайшая нерешенная проблема в математике [i_157.jpg] Иллюстрация к книге — Простая одержимость. Бернхард Риман и величайшая нерешенная проблема в математике [i_157.jpg]](img/book_covers/076/76259/i_157.jpg)
![Иллюстрация к книге — Простая одержимость. Бернхард Риман и величайшая нерешенная проблема в математике [i_158.jpg] Иллюстрация к книге — Простая одержимость. Бернхард Риман и величайшая нерешенная проблема в математике [i_158.jpg]](img/book_covers/076/76259/i_158.jpg)
![Иллюстрация к книге — Простая одержимость. Бернхард Риман и величайшая нерешенная проблема в математике [i_159.jpg] Иллюстрация к книге — Простая одержимость. Бернхард Риман и величайшая нерешенная проблема в математике [i_159.jpg]](img/book_covers/076/76259/i_159.jpg)
![Иллюстрация к книге — Простая одержимость. Бернхард Риман и величайшая нерешенная проблема в математике [i_150.jpg] Иллюстрация к книге — Простая одержимость. Бернхард Риман и величайшая нерешенная проблема в математике [i_150.jpg]](img/book_covers/076/76259/i_150.jpg)
![Иллюстрация к книге — Простая одержимость. Бернхард Риман и величайшая нерешенная проблема в математике [i_160.jpg] Иллюстрация к книге — Простая одержимость. Бернхард Риман и величайшая нерешенная проблема в математике [i_160.jpg]](img/book_covers/076/76259/i_160.jpg)
![Иллюстрация к книге — Простая одержимость. Бернхард Риман и величайшая нерешенная проблема в математике [i_161.jpg] Иллюстрация к книге — Простая одержимость. Бернхард Риман и величайшая нерешенная проблема в математике [i_161.jpg]](img/book_covers/076/76259/i_161.jpg)