Книга Простая одержимость. Бернхард Риман и величайшая нерешенная проблема в математике, страница 97 – Джон Дербишир

Авторы: А Б В Г Д Е Ж З И Й К Л М Н О П Р С Т У Ф Х Ч Ш Ы Э Ю Я
Книги: А Б В Г Д Е Ж З И Й К Л М Н О П Р С Т У Ф Х Ц Ч Ш Щ Ы Э Ю Я
Бесплатная онлайн библиотека LoveRead.ec

Онлайн книга «Простая одержимость. Бернхард Риман и величайшая нерешенная проблема в математике»

📃 Cтраница 97
π(x) = J(x)1/2J(√x) − 1/3J(3√x) − 1/5J(5√x) + 1/6J(6√x) − 1/7J(7√x) + 1/10J(10√x) + …. (19.2)

Можно заметить, что некоторые члены (четвертый, восьмой, девятый) здесь отсутствуют. А из тех, что присутствуют, некоторые (первый, шестой, десятый) входят со знаком плюс, тогда как другие (второй, третий, пятый, седьмой) — со знаком минус. Ничего не напоминает? Здесь спрятана функция Мебиуса из главы 15. На самом деле

Иллюстрация к книге — Простая одержимость. Бернхард Риман и величайшая нерешенная проблема в математике [i_145.jpg]

(где 1√x как и в других местах в книге, есть, конечно, просто x). Почему, как вам теперь кажется, это назвали мебиусовым обращением?

Итак, мы записали функцию π(x), выразив ее через J(x). Это чудесно, потому что Риман нашел способ, как выразить J(x) через ζ(x).

Прежде чем расстаться с выражением (19.2), надо еще упомянуть, что, подобно выражению (19.1), это не бесконечная сумма, а конечная. Это происходит из-за того, что функция J, как и функция π, равна нулю, когда x меньше 2 (взгляните на график!), а если последовательно извлекать корни из какого-нибудь числа, то результат рано или поздно упадет ниже 2 и там останется. Например,

π(100) = J(100) − 1/2J(10) − 1/3J(4,64…) − 1/5J(2,51…) + 1/6J(2,15…) − 0 + 0 + … = 288/15 − 22/35/61/5 + 1/6,

что дает в точности число 25, которое и в самом деле является числом простых чисел меньших 100. Волшебство.

А теперь повернем Золотой Ключ.


V.

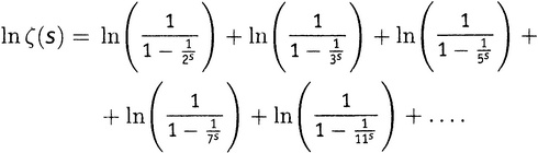
Вот Золотой Ключ, первое равенство в статье Римана 1859 года, полученное нами в главе 7, когда я убеждал вас, что это просто хитрый способ переписать решето Эратосфена:

Иллюстрация к книге — Простая одержимость. Бернхард Риман и величайшая нерешенная проблема в математике [i_146.jpg]

He будем забывать, что числа, появляющиеся в правой части, — это в точности все простые числа.

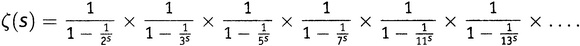
Возьмем логарифм от обеих частей. Если что-то равно чему-то, то, конечно, и логарифм одного должен быть равен логарифму другого. Согласно 9-му правилу действий со степенями, которое гласит, что ln(a×b) = ln а + ln b, получаем

Иллюстрация к книге — Простая одержимость. Бернхард Риман и величайшая нерешенная проблема в математике [i_147.jpg]

Но, поскольку ln 1/a = −ln a согласно 10-му правилу, это выражение равно

Иллюстрация к книге — Простая одержимость. Бернхард Риман и величайшая нерешенная проблема в математике [i_148.jpg]

Теперь вспомним ряд сэра Исаака Ньютона для функции ln (1 − x) из главы 9.vii. Он пригоден при x, лежащем от −1 до +1, что, без сомнения, выполнено в нашем случае, поскольку s положительно. Поэтому каждый логарифм можно разложить в бесконечный ряд таким образом (19.3):

Иллюстрация к книге — Простая одержимость. Бернхард Риман и величайшая нерешенная проблема в математике [i_149.jpg]

Это бесконечная сумма бесконечных сумм — с первого взгляда, я полагаю, подобное немного пугает, но в математике такие конструкции встречаются достаточно часто.

Сейчас может показаться, что мы оказались в ситуации, которая много хуже той, что была вначале. Аккуратненькое бесконечное произведение мы превратили в бесконечную сумму бесконечных сумм. Предприятие может показаться безнадежным. Да, но это если не использовать всю мощь анализа.


VI.

Возьмем какой-нибудь один из членов в этой сумме сумм. Выберем, например,

Иллюстрация к книге — Простая одержимость. Бернхард Риман и величайшая нерешенная проблема в математике [i_150.jpg]
. Рассмотрим функцию xs−1 и будем временно считать, что s — положительное число. Каков интеграл от xs−1? В силу общих правил обращения со степенями, приведенных в главе 7.vii, это xs/(−s), т.е. (−1/s)×(1/xs). Если мы возьмем этот интеграл при x, равном бесконечности, и вычтем из того, что получится, тот же интеграл, взятый при x равном 32,то что получится? Ну, если x — очень большое число, то (−1/s)×(1/xs) — число очень маленькое, так что справедливо будет считать, что, когда x бесконечно велико, это выражение равно нулю. И из этого — из нуля — мы собираемся вычесть (−1/s)×(1/(32)s). Такое вычитание дает (1/s)×(1/(32)s). Сухой остаток таков: выбранный член в выражении (19.3) можно переписать в виде интеграла

Иллюстрация к книге — Простая одержимость. Бернхард Риман и величайшая нерешенная проблема в математике [i_151.jpg]

Но зачем мы вообще все это делаем? Чтобы вернуться к функции J, вот зачем.

Дело в том, что x = 32 — это значение, при котором функция J совершает прыжок на 1/2. В голове у математика — и уж точно в голове у великого математика, каким был Риман, — приведенное выражение

Иллюстрация к книге — Простая одержимость. Бернхард Риман и величайшая нерешенная проблема в математике [i_152.jpg]
сразу вызывает некоторый образ. Этот образ представлен на рисунке 19.4: это функция J с заполненной полосой. Полоса тянется от 32 (т.е. от 9) до бесконечности и имеет высоту одна вторая. Ясно, что вся площадь под (говорим «площадь под» — думаем «интеграл») графиком функции J составлена из подобных же полосок. Полоски высотой 1, протянувшиеся от каждого простого числа до бесконечности; полоски высотой одна вторая, идущие от каждого квадрата простого числа до бесконечности; полоски высотой одна треть от каждого куба простого числа до бесконечности… Видите, как все срастается с той бесконечной суммой бесконечных сумм в выражении (19.3)?

Реклама
Вход
Поиск по сайту
Ищем:
Календарь