Книга От атомов к древу. Введение в современную науку о жизни, страница 8 – Сергей Ястребов

Авторы: А Б В Г Д Е Ж З И Й К Л М Н О П Р С Т У Ф Х Ч Ш Ы Э Ю Я
Книги: А Б В Г Д Е Ж З И Й К Л М Н О П Р С Т У Ф Х Ц Ч Ш Щ Ы Э Ю Я
Бесплатная онлайн библиотека LoveRead.ec

Онлайн книга «От атомов к древу. Введение в современную науку о жизни»

📃 Cтраница 8

Интересно, что и вещество с формулой H–CO–H, где оба радикала сводятся к атомам водорода, тоже принято считать альдегидом. Название этого вещества — муравьиный альдегид, или формальдегид. Это одно из самых простых органических веществ в природе. Водный раствор формальдегида, часто используемый биологами для консервации объектов, — жидкость с отвратительным едким запахом, которая называется формалином. За формальдегидом по сложности следует уксусный альдегид (CH3–CO–H), ну и так далее.

Бывает и так, что в одну и ту же молекулу входит несколько разных кислородсодержащих групп. Например, спирт, который одновременно является альдегидом или кетоном, по-научному называется углеводом. Самый простой из всех возможных углеводов — гликольальдегид, формула которого CH2OH–CO–H. Как видим, гликольальдегид включает в себя всего два атома углерода. Один из этих атомов углерода несет гидроксильную группу (как в любом спирте), а второй входит в состав альдегидной группы.

Относительно простые углеводы часто называют сахарами. Таким образом, гликольальдегид — это двухуглеродный сахар. Вот тут мы уже в полной мере заходим в область биологии: гликольальдегид — важный участник обмена веществ во всех живых клетках.

Еще более широко известны сахара, основу которых образуют цепочки из пяти или шести атомов углерода. Такие сахара называют, соответственно, пяти- или шестиуглеродными. Познакомимся для начала с тремя их представителями:

* рибоза — пятиуглеродный сахар с четырьмя гидроксильными группами и альдегидной группой;

* глюкоза — шестиуглеродный сахар с пятью гидроксильными группами и альдегидной группой;

* фруктоза — шестиуглеродный сахар с пятью гидроксильными группами и кетогруппой.

Краткую формулу рибозы можно записать так: C5H10O5. А глюкоза и фруктоза — изомеры с общей формулой C6H12O6. Сравнив их графические формулы, легко увидеть, что глюкоза отличается от фруктозы только положением группы –CO– (в глюкозе на конце углеродной цепочки, а во фруктозе внутри нее). Этого достаточно, чтобы дать веществу совсем другие химические свойства. И действительно, фруктоза несколько иначе, чем глюкоза, участвует в нашем обмене веществ. Именно поэтому ее часто используют в качестве заменителя обычного сахара (в состав которого глюкоза как раз входит). Сладкие продукты “на фруктозе” можно сейчас найти в любом супермаркете.

Мир кислот

Следующий интересный класс веществ — карбоновые кислоты (см. рис. 1.7). Это соединения, в состав которых входит группа –CO–OH (она называется карбоксильной). Любая карбоновая кислота по общему виду формулы похожа на альдегид, но отличается от него “лишним” атомом кислорода, который и превращает альдегидную группу (–CO–H) в карбоксильную (–CO–O–H). Общая формула карбоновой кислоты: R–COOH, где R — любая углеводородная цепочка или просто атом водорода.

Иллюстрация к книге — От атомов к древу. Введение в современную науку о жизни [img_8.jpg]

Простейшая карбоновая кислота — муравьиная (HCOOH). Следующая по сложности — уксусная (CH3COOH), затем — пропионовая (C2H5COOH), масляная (C3H7COOH) и т.д. Бывают и гораздо более экзотично выглядящие карбоновые кислоты: например, щавелевая, молекула которой представляет собой две карбоксильные группы, соединенные встык (HOOC–COOH). Она действительно есть в щавеле, а также в ревене и некоторых других растениях. Или бензойная кислота, имеющая в качестве радикала ароматическое ядро (C6H5COOH). Она тоже содержится во многих растениях, например в бруснике и клюкве, а еще служит широко распространенным консервантом (пищевая добавка E210).

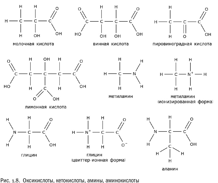
Более того, молекула карбоновой кислоты вполне может включать в себя и другие группы, кроме карбоксильной. Например, в некоторых кислотах помимо карбоксильных групп есть гидроксильные (см. рис. 1.8). Такие соединения, по определению, являются одновременно кислотами и спиртами. Их называют спиртокислотами или (чаще) оксикислотами. Именно к этому классу относится важный промежуточный продукт нашего обмена веществ — молочная кислота, молекула которой включает три атома углерода, одну карбоксильную группу и одну гидроксильную (CH3–CHOH–COOH). Винная кислота, химию которой в свое время изучал великий Луи Пастер, устроена чуть сложнее: четыре атома углерода, две карбоксильные группы и две гидроксильные (HOOC–CHOH–CHOH–COOH). Она действительно есть в вине, а иногда добавляется и в еду, например в кондитерские изделия (пищевая добавка Е334). Заметим, что пугаться таких добавок не стоит: очень часто они, как в данном случае, представляют собой безобидные вещества, с тем же успехом изобилующие в самых что ни на есть натуральных продуктах. Винной кислоты, например, много в винограде и яблоках.

Иллюстрация к книге — От атомов к древу. Введение в современную науку о жизни [img_9.jpg]

Бывают и такие кислоты, которые одновременно являются альдегидами или кетонами. Тут достаточно одного примера: пировиноградная кислота — простейшая кетокислота с формулой CH3–CO–COOH. Эта молекула тоже играет огромную роль в нашем обмене веществ (см. главу 11).

И еще несколько слов о спиртах. Карбоновая кислота и спирт могут вступить между собой в реакцию, при которой от карбоксильной группы отщепляется –OH, а от спиртовой –H. Эти отщепленные фрагменты тут же образуют воду (формула которой H–O–H или H2O). А остатки кислоты и спирта соединяются в сложный эфир — молекулу с общей формулой R1–CO–O–R2. Надо учитывать, что сложные эфиры и уже знакомые нам простые эфиры — это совершенно разные классы соединений, которые ни в коем случае нельзя путать. По-английски, например, они обозначаются разными корнями, соответственно ester (сложный эфир) и ether (простой эфир). Среди биологически активных веществ есть и те и другие, но сложных эфиров там в целом больше. Без знания того, что это такое, невозможно разобраться, например, в устройстве клеточной мембраны.

Кислоты versus основания

А теперь нам самое время задаться вопросом, что такое кислота. И заодно — что такое основание.

Начнем с кислоты. Как правило, кислотой называют молекулу, которая в водном растворе диссоциирует (это высоконаучный термин, означающий “распадается”) на катион водорода, то есть протон (H+), и некий анион. Например, уксусная кислота (CH3COOH) распадается в водном растворе на протон и ацетат-ион, имеющий формулу CH3COO. Так же ведут себя и все остальные карбоновые кислоты. И не только карбоновые, но и любые другие. Например, соляная кислота (HСl) потому и называется кислотой, что распадается в воде на протон (H+) и ион хлора (Cl). Правда, на самом-то деле протон не способен самостоятельно существовать в водном растворе — он всегда мгновенно захватывается водой, образуя так называемый ион гидроксония (H3O+). Концентрацию именно этих ионов реально измеряют при определении кислотности раствора.

Реклама
Вход
Поиск по сайту
Ищем:
Календарь