Книга От атомов к древу. Введение в современную науку о жизни, страница 6 – Сергей Ястребов

Авторы: А Б В Г Д Е Ж З И Й К Л М Н О П Р С Т У Ф Х Ч Ш Ы Э Ю Я
Книги: А Б В Г Д Е Ж З И Й К Л М Н О П Р С Т У Ф Х Ц Ч Ш Щ Ы Э Ю Я
Бесплатная онлайн библиотека LoveRead.ec

Онлайн книга «От атомов к древу. Введение в современную науку о жизни»

📃 Cтраница 6
Углеводороды

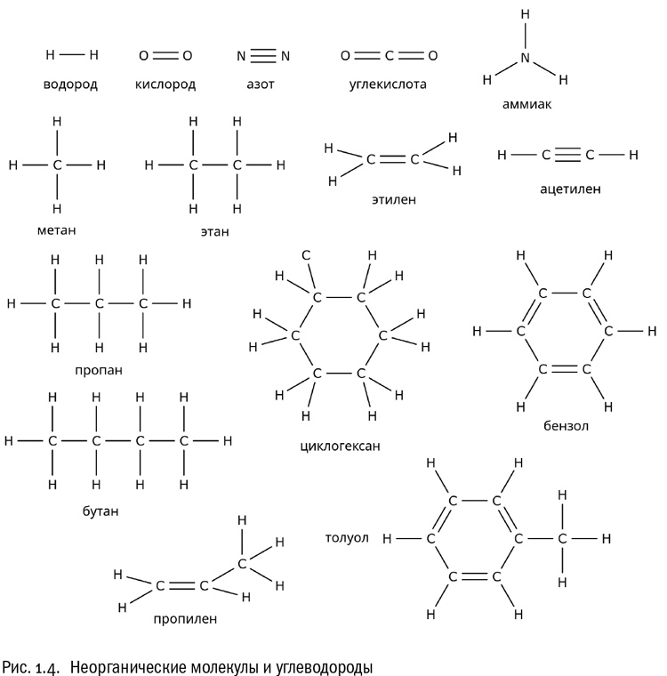
Самое простое на свете органическое соединение называется метаном. Молекула метана состоит из одного атома углерода и четырех атомов водорода, соединенных с углеродом ковалентными связями. На языке химических символов это выглядит так: один углерод (C) и четыре водорода (H) образуют молекулу CH4 (формула метана). В более подробной формуле — графической — каждую ковалентную связь обозначают чертой, проводимой в данном случае между символами C и H.

Химические соединения, состоящие только из углерода и водорода, вполне логично называются углеводородами (см. рис. 1.4). Метан — это самый простой возможный углеводород. Примеры углеводородов, следующих за ним по сложности: этан (C2H6), пропан (C3H8), бутан (C4H10), пентан (C5H12), гексан (C6H14). Основу любой из этих молекул образует цепочка атомов углерода, соединенных между собой ковалентными связями. А все валентности, свободные от углерод-углеродных связей, там занимают атомы водорода. Зная эти принципы, нарисовать структуру углеводорода с любым заданным числом углеродных атомов можно очень легко. На графических формулах видно, что несколько знакомых нам теперь углеводородов — этан, пропан, бутан, пентан и гексан — отличаются друг от друга только числом совершенно одинаковых групп –CH2–.

Цепочки атомов углерода, соединенных ковалентными связями, образуют основу не только углеводородов, но и многих других органических веществ. Длина этих цепочек ничем не ограничена, в них вполне могут входить десятки, сотни, а иногда и тысячи атомов. Кроме того, углеродные цепочки не обязательно линейны. Они могут ветвиться, а могут и замыкаться в кольца.

Но и это еще не все. Бывают такие углеводороды, где некоторые углерод-углеродные связи в цепочке — двойные или тройные, то есть образованы двумя или тремя парами электронов. Напомним, что валентность углерода в органических молекулах всегда равна четырем. Поэтому атом углерода, участвующий в образовании двойной связи, может присоединить на один атом водорода меньше, а при тройной связи — на два атома водорода меньше по сравнению с атомом углерода, все связи которого одинарные. Разумеется, это отражается в формулах веществ. Простейший углеводород с двойной связью — этилен (C2H4), один из относительно немногих углеводородов, всерьез интересующих физиологов: он служит гормоном у растений. Простейший углеводород с тройной связью — ацетилен (C2H2). На современной Земле биохимическое значение ацетилена не слишком велико, зато он распространен в космосе и считается одним из самых вероятных участников добиологического синтеза, приведшего когда-то к возникновению жизни [13]. Это довольно активное вещество, которое прекрасно горит и может поэтому использоваться для освещения. В старину ацетиленовые фары умудрялись ставить даже на велосипеды. Взрыв такой велосипедной фары стал ярким воспоминанием героев повести Джерома Джерома “Трое на велосипедах” (продолжения знаменитой “Трое в одной лодке”): “…мы тихо-мирно ехали по Уитби-роуд, беседовали о Тридцатилетней войне, и вдруг твоя фара взорвалась, как будто из ружья пальнули. От неожиданности я свалился в канаву. Никогда не забуду лица миссис Гаррис, когда я говорил ей, что ничего страшного не произошло, волноваться не следует — тебя уже несут на носилках, а врач с сестрой будут с минуты на минуту...” [14] Сейчас ацетиленовые светильники используются редко. Дольше всего они продержались на отдаленных маяках, куда было трудно провести электричество.

Иллюстрация к книге — От атомов к древу. Введение в современную науку о жизни [img_5.jpg]

Двинемся дальше. В некоторых углеводородах замыкание углеродной цепочки в кольцо сочетается с присутствием двойных связей, причем сразу нескольких. Самый известный из таких углеводородов — бензол (C6H6). Молекула бензола — это кольцо из шести атомов углерода с тремя одинарными и тремя двойными связями между ними (см. рис. 1.5А). Одинарные и двойные связи в кольце строго чередуются. В результате у каждого атома углерода остается по одной свободной валентности, и эти валентности заполняет, как всегда, водород.

Структуру бензола выяснил тот же знаменитый химик, который открыл четырехвалентность углерода, — немец Фридрих Август Кекуле. В свое время это было занимательной химической “интригой”: состав молекулы бензола — шесть атомов углерода и шесть атомов водорода — уже был точно известен, а вот порядок связей в этой молекуле долго оставался загадкой. Кекуле далеко не сразу удалось ее разгадать. Однажды он задремал днем у камина и увидел сон, в котором несколько переплетающихся змей образовали кольцо. Сон и подсказал ему правильную графическую формулу бензола [15]. Эту историю часто рассказывают школьные учителя химии, почему-то заменяя змей на цепляющихся друг за друга обезьян, которых Кекуле якобы видел в зоопарке. Про обезьян, судя по всему, чистейшая выдумка; но сон, навеянный размышлениями о бензоле, действительно был, и структуру бензола Кекуле установил в результате верно.

Правда, тут есть одна важная поправка. Проведенные в XX веке физические исследования показали, что все шесть углерод-углеродных связей в молекуле бензола на самом деле одинаковы: одинарные связи там невозможно отличить от двойных. Объясняется это тем, что электроны, образующие двойные связи, делокализованы (“размазаны”) по всему кольцу. И в результате все углерод-углеродные связи в бензоле не строго одинарные и не строго двойные, а как бы “полуторные” (см. рис. 1.5Б). На схемах органических молекул шестичленное углеродное кольцо с такой системой связей часто обозначают простым шестиугольником с кругом внутри (см. рис. 1.5В, Г). Эта структура — так называемое ароматическое ядро — есть во многих органических молекулах, в том числе и биологически активных. Ароматическое ядро, не входящее в состав никакой другой молекулы, — это просто бензол.

Иллюстрация к книге — От атомов к древу. Введение в современную науку о жизни [img_6.jpg]

Жаль только, что Фридриха Августа Кекуле обычно упоминают в книгах в связи с формулой бензола и ни с чем другим. Тем самым его невольно недооценивают. Ведь Кекуле открыл не что-нибудь, а четырехвалентность углерода! Это одно из важнейших химических открытий XIX века, сильно повлиявшее на развитие не только химии, но и биологии.

Углеводороды, как правило, биохимически неактивны. Подавляющее большинство органических соединений, участвующих у живых организмов в обмене веществ, содержит как минимум еще и кислород, то есть к углеводородам никак не относится.

Вход
Поиск по сайту
Ищем:
Календарь