Онлайн книга «Пуговицы Наполеона. Семнадцать молекул, которые изменили мир»
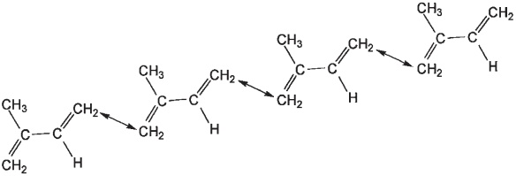
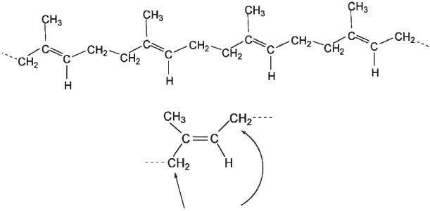
![]() а затем соединить четыре такие молекулы, ![]() то получится транс-изомер каучука. ![]() Продолжающаяся углеродная цепь подходит к этой двойной связи с разных сторон. Таким образом, здесь изображен транс-изомер. Этот транс-изомер встречается в природе в виде двух веществ — гуттаперчи и балаты. Гуттаперчу получают из млечного сока различных представителей семейства Sapotaceae, в частности деревьев рода Palaquium, произрастающих на полуострове Малакка. Примерно на 80 % гуттаперча состоит из трансизомера изопрена. Балата, которую получают из млечного сока растения Mimusopsglobosa, произрастающего в Панаме и на севере Южной Америки, содержит аналогичный трансполимер. Как гуттаперчу, так и балату можно плавить и формовать, но через некоторое время под действием воздуха эти вещества твердеют и роговеют. Однако под водой этого не происходит, поэтому в конце XIX и начале XX века гуттаперчу широко использовали в качестве покрытия для подводной части кабелей. Гуттаперчу также применяли врачи и дантисты, например, для изготовления шин, катетеров и щипцов, для припарок от нарывов и в качестве пломбировочного материала для лечения зубов. Ценные свойства гуттаперчи и балаты, возможно, более всего оценили любители гольфа. Сначала мячи для гольфа были деревянными, чаще всего их делали из древесины вяза или березы. Однако в начале XVIII века шотландцы изобрели “перьевые” мячи — кожаные мячи с набивкой из гусиных перьев. Такие мячи летели примерно вдвое дальше деревянных, однако они намокали и в сырую погоду вели себя непредсказуемо. Кроме того, со временем эти мячи рассыпались, причем были в десять с лишним раз дороже деревянных. Наконец в 1848 году появились гутти. Эти мячи делали из гуттаперчи, которую кипятили в воде, а затем вручную (позднее с помощью металлических отливок) лепили из нее шар и оставляли твердеть. Такие мячи вскоре стали очень популярными, но и у них были свои недостатки. Со временем транс-изомер изопрена становится жестким, так что старые гуттаперчевые мячи частенько разваливались прямо во время игры. Правила игры в гольф это учитывали, и в такой ситуации игроку разрешалось взять новый мяч, поставив его в то место, куда упал самый крупный фрагмент рассыпавшегося мяча. Кроме того, истертые и ободранные мячи летели дальше. В общем, производители задумались над разработкой новых мячей и наконец создали современные мячи, поверхность которых покрыта небольшими углублениями. В конце XIX века цис-изомер изопрена также проник в сферу гольфа: появились мячи с гуттаперчевым ядром и оболочкой из каучука. Сегодня мячи для гольфа делают из множества разных материалов. Некоторые из них содержат каучук. Покрытие до сих пор иногда делают из транс-изомера изопрена, но чаще из балаты, чем из гуттаперчи. “Отцы” резины
Майкл Фарадей не был единственным ученым, экспериментировавшим с резиной. В 1823 году химик из Глазго Чарльз Макинтош использовал нафту, продукт переработки угля, в качестве растворителя для изготовления прорезиненной ткани. Водонепроницаемые плащи до сих пор называют макинтошами. Открытие Макинтоша способствовало активному применению резины для изготовления механических устройств, шлангов, ботинок и резиновых сапог, шляп и плащей. В начале 30-х годов XIX века в США началась “резиновая лихорадка”. Однако несмотря на водоотталкивающие свойства изделий из резины, их популярность пошла на спад, когда люди поняли, что зимой прорезиненная одежда становится жесткой, как камень, а летом плавится и издает неприятный запах. “Резиновая лихорадка” прошла очень скоро, и казалось, что резина останется всего лишь любопытным материалом, пригодным только для ластиков. Слово “резина” (rubber) [10] в 1770 году придумал английский химик Джозеф Пристли, который обнаружил, что кусочек каучука стирает (rubout) следы карандаша лучше, чем сырой хлеб, которым пользовались для этой цели. Ластики продавались в Англии как “индийские”, в связи с чем распространилось ошибочное мнение о том, что родиной резины является Индия. В начале “резиновой лихорадки”, около 1834 года, американский изобретатель и предприниматель Чарльз Гудьир осуществил серию экспериментов, вызвавших гораздо более длительный интерес к резине. Гудьир был скорее изобретателем, чем бизнесменом. Он всю жизнь прожил в долгах, несколько раз становился банкротом и называл долговые тюрьмы своими “отелями”. Гудьиру пришла мысль, что путем смешивания какого-либо сухого порошка с резиной можно добиться впитывания избыточной влаги, которая делает резину липкой в жаркую погоду. Он изучил свойства разных смесей. Каждый раз ему казалось, что ответ найден, но летом проблема возникала вновь: температура поднималась, и резиновая обувь и одежда опять начинали расплываться и неприятно пахнуть. Соседи жаловались на запах, исходящий из его мастерской, спонсоры отступались, но Гудьир упрямо продолжал поиски. Одна серия экспериментов дала интересные результаты. Если обработать резину азотной кислотой, она превращается в практически сухой гладкий материал, который, как надеялся Гудьир, не должен изменяться при смене температуры. Он вновь нашел спонсора, который помог ему получить государственный подряд на производство почтовых сумок. Теперь Гудьир был уверен, что добился успеха. Он оставил готовые сумки в закрытом помещении и уехал с семьей на летние каникулы. Возвратившись, он обнаружил, что сумки слиплись в бесформенную массу, до боли знакомую. Удача пришла к изобретателю только зимой 1839 года, когда Гудьир проводил эксперименты по смешиванию резины с порошком серы. Он случайно просыпал немного этой смеси на горячую печь. Чутье исследователя подсказало ему, что обуглившаяся клейкая масса может представлять определенный интерес. Он понял, что сера и нагревание изменили резину необходимым образом, однако пока не знал, сколько серы и какая температура нужны для получения оптимального результата. Гудьир продолжал эксперименты на собственной кухне. Он прижигал утюгом смесь серы с резиной, запекал ее в печи, жарил на огне, прогревал над чайником и зарывал в горячий песок. Упорство Гудьира было вознаграждено. Через пять лет он получил воспроизводимый результат: создал резину, которая была плотной, эластичной и устойчивой в любую погоду. Однако успешный ученый продолжал оставаться неудачливым бизнесменом. За свои патенты он получил минимальный гонорар, а вот те, кому он продал свои изобретения, обогатились. Гудьир не менее тридцати двух раз подавал жалобы в Верховный суд США и выигрывал дело, но несмотря на это его права на изобретение постоянно нарушались. Он не был дельцом. Он был полностью захвачен поиском бесконечных возможностей созданного им вещества: он хотел создать из резины банкноты, ювелирные изделия, паруса, краски, автомобильные рессоры, оснастку кораблей, музыкальные инструменты, напольные покрытия, спасательные плоты. Заметим, что многие из его идей были впоследствии реализованы. |
![Иллюстрация к книге — Пуговицы Наполеона. Семнадцать молекул, которые изменили мир [i_138.jpg] Иллюстрация к книге — Пуговицы Наполеона. Семнадцать молекул, которые изменили мир [i_138.jpg]](img/book_covers/073/73959/i_138.jpg)
![Иллюстрация к книге — Пуговицы Наполеона. Семнадцать молекул, которые изменили мир [i_139.jpg] Иллюстрация к книге — Пуговицы Наполеона. Семнадцать молекул, которые изменили мир [i_139.jpg]](img/book_covers/073/73959/i_139.jpg)
![Иллюстрация к книге — Пуговицы Наполеона. Семнадцать молекул, которые изменили мир [i_140.jpg] Иллюстрация к книге — Пуговицы Наполеона. Семнадцать молекул, которые изменили мир [i_140.jpg]](img/book_covers/073/73959/i_140.jpg)