Книга Пуговицы Наполеона. Семнадцать молекул, которые изменили мир, страница 35 – Пенни Лекутер, Джей Берресон

Авторы: А Б В Г Д Е Ж З И Й К Л М Н О П Р С Т У Ф Х Ч Ш Ы Э Ю Я
Книги: А Б В Г Д Е Ж З И Й К Л М Н О П Р С Т У Ф Х Ц Ч Ш Щ Ы Э Ю Я
Бесплатная онлайн библиотека LoveRead.ec

Онлайн книга «Пуговицы Наполеона. Семнадцать молекул, которые изменили мир»

📃 Cтраница 35

Первым человеком, заинтересовавшимся возможностью практического применения этого странного вещества, был француз Шарль Мари де ла Кондамин. Его называют и математиком, и географом, и астрономом, а также гулякой и авантюристом. Французская академия наук отправила его в Перу для измерения меридиана на экваторе, чтобы удостовериться в том, что Земля действительно несколько сплющена у полюсов. Выполнив задание, Кондамин воспользовался возможностью исследовать джунгли Южной Америки. Он вернулся в Париж в 1735 году и привез несколько мячей, изготовленных из смолы каучукового, или “плачущего”, дерева. Он наблюдал за тем, как индейцы в Эквадоре собирают липкий белый сок каучукового дерева, а затем выдерживают его над огнем и заливают в формы, чтобы изготовить различные емкости, мячи, головные уборы и обувь. К сожалению, привезенный Кондамином сырой сок, не подвергшийся тепловой обработке, перебродил во время путешествия и превратился в ни на что не годную, дурно пахнущую массу.

Млечный сок, или латекс, представляет собой коллоидную эмульсию — взвесь частиц природной резины в воде. Многие тропические деревья и кустарники производят латекс (среди них комнатное растение Ficuselastica, которое часто называют каучуковым, или резиновым, деревом). Млечный сок образуют все представители широко распространенного семейства Euphorbia. К этому семейству относятся: молочай, пуансеттия, напоминающие кактус суккуленты, листопадные и вечнозеленые эуфорбии, а также однолетнее североамериканское растение “снег на горах” (молочай окаймленный). Вечнозеленое растение Partheniumargentatum, или гваюла серебристая, которое растет на юге США и на севере Мексики, тоже производит много природного каучука. Даже скромный одуванчик, хотя не является тропическим растением и не относится к семейству Euphorbia, тоже образует млечный сок. Но самым мощным производителем природного каучука является дерево Hevea brasiliensis, происходящее из бассейна Амазонки в Бразилии.

Цис— и транс-

Природная резина представляет собой полимер изопрена. Состоящий всего из пяти атомов углерода изопрен является самым маленьким мономером в составе природных полимеров, а природная резина — самым простым из природных полимеров. Первые химические опыты по изучению структуры резины поставил великий английский ученый Майкл Фарадей. Хотя сегодня Фарадея считают скорее физиком, чем химиком, сам он предпочитал называть себя натурфилософом. Дело в том, что в его времена границы между физической и химической науками были весьма расплывчатыми. Майкл Фарадей знаменит своими открытиями в области электричества, магнетизма и оптики, однако его вклад в развитие химии также весьма значителен. В частности, в 1826 году он установил, что мономерным звеном резины является молекула с формулой C5H8.

К 1835 году стало ясно, что из резины с помощью дистилляции можно выделить изопрен и что резина, по-видимому, является полимером, состоящим из повторяющихся звеньев изопрена. Через несколько лет, когда удалось полимеризовать изопрен с образованием резиновой массы, эта гипотеза была доказана. Структурную формулу изопрена обычно изображают так:

Иллюстрация к книге — Пуговицы Наполеона. Семнадцать молекул, которые изменили мир [i_131.jpg]

Здесь у каждого из двух соседних атомов углерода имеется двойная связь, а вокруг одинарной связи, соединяющей центральные атомы углерода, возможно свободное вращение.

Иллюстрация к книге — Пуговицы Наполеона. Семнадцать молекул, которые изменили мир [i_132.jpg]

Понятно, что эти две структуры, образующиеся в результате вращения вокруг одинарной связи, описывают одно и то же вещество. При образовании природной резины молекулы изопрена присоединяются друг к другу “хвост в хвост”. В результате полимеризации изопрена образуются так называемые двойные цис-связи. Двойная связь придает молекуле жесткость и предотвращает вращение. Поэтому изображенная слева на рисунке так называемая цис-форма отличается от изображенной справа так называемой трансформы.

Иллюстрация к книге — Пуговицы Наполеона. Семнадцать молекул, которые изменили мир [i_133.jpg]

Цис-форма

Иллюстрация к книге — Пуговицы Наполеона. Семнадцать молекул, которые изменили мир [i_134.jpg]

Транс-форма


В цис-структуре два атома водорода (а также CH3 группы) располагаются с одной и той же стороны от двойной связи, а в транс-структуре атомы водорода (и CH3 группы) располагаются по разные стороны от двойной связи. Это, казалось бы, незначительное различие в расположении групп и атомов по отношению к двойной связи оказывает чрезвычайно сильное влияние на свойства полимеров изопрена. Стоит сказать, что изопрен — это лишь одно из многих органических соединений, существующих в цис— и транс-форме, и в каждом случае химических вещества с разным расположением групп относительно двойной связи заметно отличаются по своим свойствам.

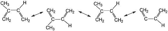
На рисунке внизу изображены четыре молекулы изопрена, готовые вступить в реакцию с образованием молекулы природной резины:

Иллюстрация к книге — Пуговицы Наполеона. Семнадцать молекул, которые изменили мир [i_135.jpg]

На следующей странице пунктирными линиями обозначено продолжение полимерной цепи, которое может происходить в случае присоединения новых молекул изопрена.

Иллюстрация к книге — Пуговицы Наполеона. Семнадцать молекул, которые изменили мир [i_136.jpg]

Фрагмент структуры природной резины


При соединении молекул изопрена образуются новые двойные связи. Все они имеют цис-форму по отношению к полимерной цепи; это означает, что “вход” и “выход” полимерной цепи в каждое мономерное звено осуществляется с одной и той же стороны от двойной связи.

Иллюстрация к книге — Пуговицы Наполеона. Семнадцать молекул, которые изменили мир [i_137.jpg]

Атомы углерода, продолжающие полимерную цепь, располагаются с одной и той же стороны от двойной связи, следовательно, это цис-изомер


Такое строение цепи имеет определяющее значение для эластичности резины. Однако в природе полимеризация изопрена не всегда происходит именно таким образом. Если присоединение звеньев идет в транс-положении, получается полимер, свойства которого отличаются от свойств природного каучука. Если молекулу изопрена повернуть так, как показано на рисунке:

Реклама
Вход
Поиск по сайту
Ищем:
Календарь