Книга Стратегии решения математических задач. Различные подходы к типовым задачам, страница 17 – Стивен Крулик, Альфред Позаментье

Авторы: А Б В Г Д Е Ж З И Й К Л М Н О П Р С Т У Ф Х Ч Ш Ы Э Ю Я
Книги: А Б В Г Д Е Ж З И Й К Л М Н О П Р С Т У Ф Х Ц Ч Ш Щ Ы Э Ю Я
Бесплатная онлайн библиотека LoveRead.ec

Онлайн книга «Стратегии решения математических задач. Различные подходы к типовым задачам»

📃 Cтраница 17
Иллюстрация к книге — Стратегии решения математических задач. Различные подходы к типовым задачам [i_084.jpg]

Упростив, таким образом, условия, мы видим, что сумма является большей из двух величин.

Задача 4.6

Чему равны все положительные целочисленные значения переменной n, для которой дробь

Иллюстрация к книге — Стратегии решения математических задач. Различные подходы к типовым задачам [i_085.jpg]
также является целым числом?

Обычный подход

Первой реакцией на эту задачу является попытка подставить разные значения n и посмотреть, какой результат будет целым числом. Например, если принять n = 4, мы получим

Иллюстрация к книге — Стратегии решения математических задач. Различные подходы к типовым задачам [i_086.jpg]
т. е. целое число. Хотя такой подход и позволяет выявить некоторые значения n, очень трудно сказать, все ли значения найдены. В результате обычно получается неполный ответ.

Образцовое решение

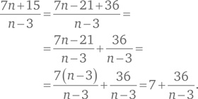
Воспользуемся стратегией принятия другой точки зрения. Для начала выполним деление:

Иллюстрация к книге — Стратегии решения математических задач. Различные подходы к типовым задачам [i_087.jpg]

Чтобы эта величина была целым числом, n — 3 должно быть пропорционально 36. Делителями для числа 36 являются 1, 2, 3, 4, 6, 9, 12, 18 и 36. Таким образом:

Иллюстрация к книге — Стратегии решения математических задач. Различные подходы к типовым задачам [i_088.jpg]

Значения n, при которых

Иллюстрация к книге — Стратегии решения математических задач. Различные подходы к типовым задачам [i_089.jpg]
является целым числом, равны 4, 5, 6, 7, 9, 12, 15, 21 и 39.

Задача 4.7

Каждый из 10 придворных ювелиров дает королевскому советнику г-ну Саксу стопку золотых монет. В каждой стопке находится 10 монет. Полноценные монеты весят 1 унцию. Однако в одной из стопок находятся «неполновесные» монеты, каждая из которых весит на 0,1 унции меньше. Г-н Сакс хочет выявить ювелира-жулика и стопку неполновесных монет с помощью всего лишь одного взвешивания. Как это сделать?

Обычный подход

Традиционная процедура начинается со случайного выбора стопки и ее взвешивания. Такой метод проб и ошибок дает искомый результат всего в 1 случае из 10. Учитывая это, можно попытаться решить задачу путем логического рассуждения. Прежде всего, если все монеты полновесные, их общий вес должен составлять 10 × 10 = 100 унций. Каждая из 10 неполновесных монет имеет меньший вес, поэтому недостача должна составить 10 × 0,1 = 1 унцию. Однако подход с точки зрения общей недостачи ничего не дает, поскольку она может оказаться в любой из стопок — в первой, второй, третьей и т. д.

Образцовое решение

Попробуем решить задачу, организовав данные иначе. Нам необходимо найти такой метод обнаружения недостачи, позволяющий идентифицировать стопку, из которой взяты неполновесные монеты. Присвоим стопкам номера № 1, № 2, № 3, № 4, …, № 9, № 10. Затем возьмем одну монету из стопки № 1, две монеты из стопки № 2, три монеты из стопки № 3, четыре монеты из стопки № 4 и т. д. Всего у нас получилось 1 + 2 + 3 + 4 + … + 8 + 9 + 10 = 55 монет. Если все монеты полновесные, то их общий вес должен составить 55 унций. Если обнаружится недостача 0,5 унции, значит в навеске присутствуют 5 неполновесных монет из стопки № 5. Если обнаружится недостача 0,7 унции, значит в навеске присутствуют 7 неполновесных монет из стопки № 7 и т. д. Таким образом, г-н Сакс может легко определить стопку неполновесных монет и ювелира, который принес эти монеты.

Задача 4.8

Ресторан быстрого питания продает куриные наггетсы в коробках по 7 штук и по 3 штуки. Какое наибольшее количество наггетсов нельзя купить?

Обычный подход

Мы просто пытаемся найти ответ путем перебора сочетаний 7 и 3 до тех пор, пока не дойдем до точки, начиная с которой можно купить любое количество наггетсов.

Иллюстрация к книге — Стратегии решения математических задач. Различные подходы к типовым задачам [i_090.jpg]

По всей видимости, наибольшее количество наггетсов, которое нельзя купить, равно 11. После этого все, что нужно, это добавлять 3 или 7.

Образцовое решение

Здесь мы обратимся к идее, привносящей в решение определенное изящество, и предоставим читателю возможность самому разобраться, почему это так, а не иначе. Существует теорема, известная под названием «теорема макнаггетсов». В соответствии с ней, если McDonald's продает макнаггетсы в коробках по a или b штук, где a и b не имеют общих множителей, то наибольшее количество макнаггетсов, которое нельзя купить, равно ab — (a + b). Например, если они продаются в коробках по 8 и 5 штук, то наибольшее количество макнаггетсов, которое нельзя купить, составляет 8 × 5 — (8 + 5) = 40–13 = 27.

В нашей задаче, наибольшее количество наггетсов, которое нельзя купить, равно 3 × 7 — (3 + 7), или 21–10 = 11.

Задача 4.9

Упростите каждое из следующих выражений:

Иллюстрация к книге — Стратегии решения математических задач. Различные подходы к типовым задачам [i_091.jpg]
Обычный подход

Хотя есть соблазн взять калькулятор и вычислить значение этих выражений, нередко наши надежды не оправдываются, и мы получаем на табло лишь сообщение error.

Образцовое решение

Подойдем к решению этой задачи с другой точки зрения. Учитывая, что число 3 возводить в степень довольно просто, решим задачу следующим образом:

Вход
Поиск по сайту
Ищем:
Календарь