Книга Стратегии решения математических задач. Различные подходы к типовым задачам, страница 14 – Стивен Крулик, Альфред Позаментье

Авторы: А Б В Г Д Е Ж З И Й К Л М Н О П Р С Т У Ф Х Ч Ш Ы Э Ю Я
Книги: А Б В Г Д Е Ж З И Й К Л М Н О П Р С Т У Ф Х Ц Ч Ш Щ Ы Э Ю Я
Бесплатная онлайн библиотека LoveRead.ec

Онлайн книга «Стратегии решения математических задач. Различные подходы к типовым задачам»

📃 Cтраница 14
Иллюстрация к книге — Стратегии решения математических задач. Различные подходы к типовым задачам [i_071.jpg]

Рассмотрение треугольника APC показывает, что AP + PC > AC, поскольку сумма любых двух сторон треугольника всегда больше третьей стороны. Аналогичным образом, BP + PD > BD. В результате суммирования мы получаем, что AP + PC + BP + PD > AC + BD. Таким образом, отталкиваясь от предположения, что P может быть искомой точкой, мы находим, что выбор любой другой точки даст такой же результат. Единственной точкой, удовлетворяющей условиям задачи, является точка E на пересечении диагоналей.

Задача 3.7

Допустим, квадратные корни из уравнения x2 + 3x — 3 = 0 равны r и s. Чему равна сумма r2 + s2?

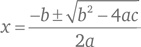
Обычный подход

Обычный подход заключается в решении уравнения для значений r и s. Используя формулу

Иллюстрация к книге — Стратегии решения математических задач. Различные подходы к типовым задачам [i_072.jpg]
для определения корней квадратного уравнения вида ax2 + bx + c = 0, мы получаем:

Иллюстрация к книге — Стратегии решения математических задач. Различные подходы к типовым задачам [i_073.jpg]

Теперь нам нужно найти квадраты этих корней и их сумму:

Иллюстрация к книге — Стратегии решения математических задач. Различные подходы к типовым задачам [i_074.jpg]
Образцовое решение

Чтобы получить более изящное решение, нужно вспомнить зависимость из элементарной алгебры, в соответствии с которой сумма корней квадратного уравнения ax2 + bx + c = 0 составляет

Иллюстрация к книге — Стратегии решения математических задач. Различные подходы к типовым задачам [i_075.jpg]
а произведение корней
Иллюстрация к книге — Стратегии решения математических задач. Различные подходы к типовым задачам [i_076.jpg]
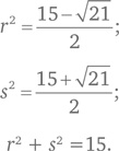
Из приведенного в условиях задачи уравнения мы находим, что сумма корней r + s = –3, а произведение rs = –3. При подходе от обратного, т. е. при определении суммы квадратов корней вместо прямых вычислений, как мы делали выше, для определения корней нам нужно искать эту сумму, поскольку (r + s)2 = r2 + s2 + 2rs. Перепишем это уравнение следующим образом r2 + s2 = (r + s)2 — 2rs.

Таким образом, значение r2 + s2 = (–3)2 — 2 (–3) = 9 + 6 = 15.

Задача 3.8

Макс, Сэм и Джек играют в необычную карточную игру. В этой игре проигравший отдает другим игрокам столько денег, сколько у них есть. Макс проигрывает в первой партии и отдает Сэму и Джеку столько денег, сколько есть у каждого из них. Сэм проигрывает во второй партии и отдает Максу и Джеку столько денег, сколько есть у каждого из них. Джек проигрывает в третьей партии и отдает Максу и Сэму столько денег, сколько есть у каждого из них. На этом они решают закончить игру, и у каждого остается ровно $8,00. Сколько денег у каждого из игроков было перед началом игры?

Обычный подход

Задача предполагает составление ряда уравнений, представляющих каждую партию. Обозначим начальную сумму денег у каждого игрока следующим образом: Макс — x, Сэм — y, Джек — z.

Иллюстрация к книге — Стратегии решения математических задач. Различные подходы к типовым задачам [i_077.jpg]

В последней партии, как мы знаем, каждое из значений равно 8. Это дает следующие три уравнения с тремя неизвестными:

Иллюстрация к книге — Стратегии решения математических задач. Различные подходы к типовым задачам [i_078.jpg]

В результате решения системы из трех уравнений мы получаем:

x = 13, y = 7, z = 4.

Образцовое решение
Иллюстрация к книге — Стратегии решения математических задач. Различные подходы к типовым задачам [i_079.jpg]

Обратите внимание, что в задаче дается конечная ситуация и спрашивается, какой была начальная ситуация. Это может указывать на эффективность подхода от обратного при решении. Также заметьте, что в соответствии с описанием ситуации в игре постоянно находится одно и то же количество денег (а именно $24). Подход от обратного дает изящное решение.

Макс начинает с $13, Сэм — с $7, а Джек — с $4. Ответ получился таким же, как и при обычном подходе, однако решение было более изящным.

Задача 3.9

Ал и Стив делят пятнистых саламандр для участия в выставке. Ал отбирает для своей экспозиции саламандр с двумя пятнами, а Стив — с семью пятнами. У Ала на пять саламандр больше, чем у Стива. Всего на их саламандрах 100 пятен. Сколько саламандр на двух экспозициях?

Обычный подход

Характер этой задачи создает сложности для использования алгебры. Обычно количество саламандр у Ала обозначают как x, а количество саламандр у Стива — как y. Это позволяет составить следующие уравнения:

x — y = 5;

2x + 7y = 100.

Для решения этих двух уравнений умножим первое из них на 2:

2x — 2y = 10;

Вход
Поиск по сайту
Ищем:
Календарь