Онлайн книга «Красота в квадрате. Как цифры отражают жизнь и жизнь отражает цифры»
|
r — r cos θ = h cos θ r (1 — cos θ) = h cos θ Тогда ![]() Приложение 4
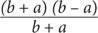
МАШИНА УМНОЖЕНИЯ ![]() Утверждение. Для того чтобы умножить a × b, необходимо построить на параболе y = x2 прямую из точки x = −а до точки x = b, как показано на рисунке. Прямая линия, соединяющая эти две точки, пересекает ось y в точке a × b. Доказательство. Примем за истинное следующее утверждение: уравнение прямой, проходящей через точку с координатами (p, q), имеет вид y — q = (x — p)m, где m — градиент. Прямая на графике проходит через точки с координатами (−a, a2) и (b, b2). Градиент этой прямой, который представляет собой отношение расстояния по вертикали к расстоянию по горизонтали, рассчитывается по формуле
Следовательно, уравнение прямой выглядит так: y — a2 = (x + a) (b — a) Его можно преобразовать следующим образом: y — a2 = xb — xa + ab — a2 Члены — a2 можно сократить, после чего останется такое уравнение: y = xb — xa + ab Если прямая пересекает вертикальную ось, тогда x = 0, а значит, y = ab Другими словами, прямая пересекает ось в точке ab, что равно a × b. Приложение 5
Если сумма S наращивается со скоростью r, то после t периодов начисления сложных процентов значение этой суммы равно S (1 + r)t Сумма удвоится, когда (1 + r)t = 2. Чтобы решить это уравнение, необходимо взять натуральный логарифм обеих его частей. Натуральный логарифм — это логарифм с основанием е, который обозначается как ln. Таким образом ln (1 + r)t = ln 2 Что сводится к t ln (1 + r) = ln 2 Следовательно, ![]() Когда r имеет небольшое значение, то ln (1 + r) ≈ r, стало быть, это уравнение можно записать так: ![]() Что эквивалентно ![]() Если r — скорость, выраженная в дробном виде, то обозначим через R скорость в процентном выражении. В таком случае необходимо умножить числитель и знаменатель в дроби t на 100 ![]() Следовательно, количество периодов начисления сложных процентов t, необходимых для удвоения суммы, составляет 69 разделить на темпы роста в процентах R. Поскольку число 72 легче делится на другие числа, чем 69, в правиле 72 чаще всего используется именно это число, хотя значение 69 было бы точнее [187]. Приложение 6
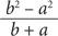
Площадь самого большого заштрихованного квадрата составляет
![]() Однако каждому заштрихованному квадрату соответствует ровно по два незаштрихованных квадрата одинакового размера. Таким образом, площадь заштрихованных квадратов должна также составлять
![]() |
![Иллюстрация к книге — Красота в квадрате. Как цифры отражают жизнь и жизнь отражает цифры [i_377.jpg] Иллюстрация к книге — Красота в квадрате. Как цифры отражают жизнь и жизнь отражает цифры [i_377.jpg]](img/book_covers/071/71253/i_377.jpg)
![Иллюстрация к книге — Красота в квадрате. Как цифры отражают жизнь и жизнь отражает цифры [i_378.jpg] Иллюстрация к книге — Красота в квадрате. Как цифры отражают жизнь и жизнь отражает цифры [i_378.jpg]](img/book_covers/071/71253/i_378.jpg)
![Иллюстрация к книге — Красота в квадрате. Как цифры отражают жизнь и жизнь отражает цифры [i_379.jpg] Иллюстрация к книге — Красота в квадрате. Как цифры отражают жизнь и жизнь отражает цифры [i_379.jpg]](img/book_covers/071/71253/i_379.jpg)
![Иллюстрация к книге — Красота в квадрате. Как цифры отражают жизнь и жизнь отражает цифры [i_380.jpg] Иллюстрация к книге — Красота в квадрате. Как цифры отражают жизнь и жизнь отражает цифры [i_380.jpg]](img/book_covers/071/71253/i_380.jpg)
![Иллюстрация к книге — Красота в квадрате. Как цифры отражают жизнь и жизнь отражает цифры [i_381.jpg] Иллюстрация к книге — Красота в квадрате. Как цифры отражают жизнь и жизнь отражает цифры [i_381.jpg]](img/book_covers/071/71253/i_381.jpg)
![Иллюстрация к книге — Красота в квадрате. Как цифры отражают жизнь и жизнь отражает цифры [i_382.jpg] Иллюстрация к книге — Красота в квадрате. Как цифры отражают жизнь и жизнь отражает цифры [i_382.jpg]](img/book_covers/071/71253/i_382.jpg)
![Иллюстрация к книге — Красота в квадрате. Как цифры отражают жизнь и жизнь отражает цифры [i_383.jpg] Иллюстрация к книге — Красота в квадрате. Как цифры отражают жизнь и жизнь отражает цифры [i_383.jpg]](img/book_covers/071/71253/i_383.jpg)
![Иллюстрация к книге — Красота в квадрате. Как цифры отражают жизнь и жизнь отражает цифры [i_384.jpg] Иллюстрация к книге — Красота в квадрате. Как цифры отражают жизнь и жизнь отражает цифры [i_384.jpg]](img/book_covers/071/71253/i_384.jpg)
![Иллюстрация к книге — Красота в квадрате. Как цифры отражают жизнь и жизнь отражает цифры [i_385.jpg] Иллюстрация к книге — Красота в квадрате. Как цифры отражают жизнь и жизнь отражает цифры [i_385.jpg]](img/book_covers/071/71253/i_385.jpg)
![Иллюстрация к книге — Красота в квадрате. Как цифры отражают жизнь и жизнь отражает цифры [i_386.jpg] Иллюстрация к книге — Красота в квадрате. Как цифры отражают жизнь и жизнь отражает цифры [i_386.jpg]](img/book_covers/071/71253/i_386.jpg)
![Иллюстрация к книге — Красота в квадрате. Как цифры отражают жизнь и жизнь отражает цифры [i_387.jpg] Иллюстрация к книге — Красота в квадрате. Как цифры отражают жизнь и жизнь отражает цифры [i_387.jpg]](img/book_covers/071/71253/i_387.jpg)
![Иллюстрация к книге — Красота в квадрате. Как цифры отражают жизнь и жизнь отражает цифры [i_388.jpg] Иллюстрация к книге — Красота в квадрате. Как цифры отражают жизнь и жизнь отражает цифры [i_388.jpg]](img/book_covers/071/71253/i_388.jpg)
![Иллюстрация к книге — Красота в квадрате. Как цифры отражают жизнь и жизнь отражает цифры [i_389.jpg] Иллюстрация к книге — Красота в квадрате. Как цифры отражают жизнь и жизнь отражает цифры [i_389.jpg]](img/book_covers/071/71253/i_389.jpg)