Книга Красота в квадрате. Как цифры отражают жизнь и жизнь отражает цифры, страница 92 – Алекс Беллос

Авторы: А Б В Г Д Е Ж З И Й К Л М Н О П Р С Т У Ф Х Ч Ш Ы Э Ю Я
Книги: А Б В Г Д Е Ж З И Й К Л М Н О П Р С Т У Ф Х Ц Ч Ш Щ Ы Э Ю Я
Бесплатная онлайн библиотека LoveRead.ec

Онлайн книга «Красота в квадрате. Как цифры отражают жизнь и жизнь отражает цифры»

📃 Cтраница 92

Для того чтобы понять изложенные ниже разъяснения, мы должны иметь определенное представление о координатной геометрии (о концепции градиента, например), а также об основных свойствах логарифмов. Кроме того, нам необходимо принять как истинное следующее утверждение.

(1) На координатной плоскости, где горизонтальная и вертикальная оси обозначаются как х и у, все прямые линии могут быть описаны уравнением y = mx + c, где m — это градиент прямой, а с — точка, в которой эта прямая пересекает вертикальную ось.

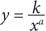
Итак, начнем с уравнения:

Иллюстрация к книге — Красота в квадрате. Как цифры отражают жизнь и жизнь отражает цифры [i_366.jpg]

Возьмем логарифм от обеих его частей:

Иллюстрация к книге — Красота в квадрате. Как цифры отражают жизнь и жизнь отражает цифры [i_367.jpg]

Согласно свойствам логарифмов, мы можем записать это уравнение в таком виде:

log y = log k — logxa

Или так:

log y = log k — a log x

Если log y = Y, а log x = X, то это уравнение можно записать следующим образом:

Y= —aX + log k

Исходя из представленного выше предположения (1), мы знаем, что на координатной плоскости, где Х — это горизонтальная ось, а Y — вертикальная, это прямая с градиентом — а, пересекающая вертикальную ось в точке log k.

Поскольку Х = log x, а Y = log y, этот график отображен в двойном логарифмическом масштабе, а так как градиент отрицательный, можно сделать вывод, что прямая должна быть наклонена влево.

Аналогичным образом представьте себе прямую с уклоном влево в двойном логарифмическом масштабе. Согласно предположению (1), ее можно описать таким уравнением:

log y = —log x + c

(Поскольку прямая наклонена влево, можно сказать, что она имеет отрицательный градиент.)

Если c = log k, это дает уравнение:

log y = —a log x + log k

или

log y = log k — a log x

Воспользовавшись свойствами логарифма, это уравнение можно преобразовать так:

log y = log k — log xa

Или так:

Иллюстрация к книге — Красота в квадрате. Как цифры отражают жизнь и жизнь отражает цифры [i_368.jpg]

Что означает следующее:

Иллюстрация к книге — Красота в квадрате. Как цифры отражают жизнь и жизнь отражает цифры [i_369.jpg]

Что и требовалось доказать.

Дополнительный вывод состоит в том, что уравнение y = kxa описывает прямую с уклоном вправо в логарифмическом масштабе, а любая такая прямая может быть представлена данным уравнением.

Приложение 3
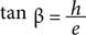
ВЫСОТА ГОРЫ
Иллюстрация к книге — Красота в квадрате. Как цифры отражают жизнь и жизнь отражает цифры [i_370.jpg]

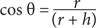
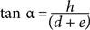
На рисунке изображены треугольники из главы 3. Наша задача — вычислить высоту горы h, зная только значения α, β и d. Пусть е — это расстояние от точки, находящейся непосредственно под вершиной, до ближайшей точки наблюдения.

Нам известно, что

Иллюстрация к книге — Красота в квадрате. Как цифры отражают жизнь и жизнь отражает цифры [i_371.jpg]
, а также что
Иллюстрация к книге — Красота в квадрате. Как цифры отражают жизнь и жизнь отражает цифры [i_372.jpg]
. Преобразуем эти уравнения так:

h = (d + e) tan α

h = e tan β

Следовательно:

(d + e) tan α = e tan β

Что можно записать в таком виде:

Иллюстрация к книге — Красота в квадрате. Как цифры отражают жизнь и жизнь отражает цифры [i_373.jpg]

Исходя из равенства h = e tan β, мы можем утверждать, что:

Иллюстрация к книге — Красота в квадрате. Как цифры отражают жизнь и жизнь отражает цифры [i_374.jpg]

В этом уравнении высота рассчитывается только с использованием значений α, β и d.

РАДИУС ЗЕМЛИ
Иллюстрация к книге — Красота в квадрате. Как цифры отражают жизнь и жизнь отражает цифры [i_375.jpg]

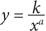
На этом рисунке представлен тот же треугольник, что и на соответствующем рисунке в главе 3. Нам известен угол между горизонталью и горизонтом θ и высота горы h. Наша задача — вычислить радиус Земли r.

Сначала надо показать, что угол, исходящий из центра Земли, равен θ. На рисунке видно, что угол ϕ равен 90º — θ. Поскольку сумма углов в треугольнике составляет 180º, то искомый угол равен θ.

Мы знаем, что

Иллюстрация к книге — Красота в квадрате. Как цифры отражают жизнь и жизнь отражает цифры [i_376.jpg]

Следовательно:

(r + h) cos θ = r

r cos θ + h cos θ = r

Эти равенства можно преобразовать так:

Вход
Поиск по сайту
Ищем:
Календарь