Книга Как работает вселенная. Введение в современную космологию, страница 58 – Сергей Парновский

Авторы: А Б В Г Д Е Ж З И Й К Л М Н О П Р С Т У Ф Х Ч Ш Ы Э Ю Я
Книги: А Б В Г Д Е Ж З И Й К Л М Н О П Р С Т У Ф Х Ц Ч Ш Щ Ы Э Ю Я
Бесплатная онлайн библиотека LoveRead.ec

Онлайн книга «Как работает вселенная. Введение в современную космологию»

📃 Cтраница 58
Иллюстрация к книге — Как работает вселенная. Введение в современную космологию [i_117.jpg]

На рис. А.1 показана эволюция отношения постоянной Хаббла к параметру Хаббла в зависимости от относительного масштабного фактора.

Иллюстрация к книге — Как работает вселенная. Введение в современную космологию [i_118.jpg]

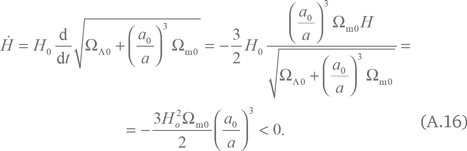
Как насчет ускоренного расширения? Напомним, что ускорение расширения не означает, что постоянная Хаббла увеличивается. Например, в модели де Ситтера она постоянна, а q < 0. Параметр торможения q определяется по формуле (2.23). Мы можем получить формулу

Иллюстрация к книге — Как работает вселенная. Введение в современную космологию [i_119.jpg]

В современную эпоху z = 0 она превращается в уравнение (А.9). На рис. А.2 построен график этой функции для полученных астрономами значений Ωm0 = 0,31, ΩΛ0 = 0,69. Мы видим, что после окончания инфляции параметр замедления был равен 0,5 и уменьшался. Он исчез при a/a0 = (Ωm0/2ΩΛ0)1/3 ≈ 0,608, когда масштабный фактор составлял около 61 % от текущего. Это соответствует красному смещению z ≈ 0,645. Самая дальняя из известных сверхновых старше, чем переход от замедления к ускорению, так что она взорвалась еще во Вселенной, расширяющейся с замедлением. В будущем Вселенная продолжит ускоренно расширяться и ее параметр замедления будет уменьшаться, стремясь к –1.

Иллюстрация к книге — Как работает вселенная. Введение в современную космологию [i_120.jpg]

Рассмотрим эволюцию параметра плотности вещества Ωm и параметра плотности темной энергии ΩΛ с учетом формул (А.5) – (А.7):

Иллюстрация к книге — Как работает вселенная. Введение в современную космологию [i_121.jpg]

Используя текущие значения параметров плотности, мы строим на рис. А.3 их значения в прошлом и в будущем в зависимости от относительного масштабного фактора. Параметрам плотности материи и космологической постоянной соответствуют длины линейных отрезков выше и ниже кривой. В левой части участка, который соответствует прошлому, мы могли бы перейти к красному смещению по формуле a0/a = 1 + z. В будущем мы могли бы формально использовать эту формулу и получить отрицательные значения z, но это не принято. В нерелятивистском случае мы можем использовать радиус сферы r вместо масштабного коэффициента, так что a0/a = r0/r. Момент нулевого ускорения соответствует Ωm = 2/3, ΩΛ = 1/3 по формулам (А.9) и (А.17).

Иллюстрация к книге — Как работает вселенная. Введение в современную космологию [i_122.jpg]

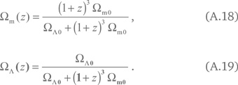
Итак, мы нашли зависимости всех необходимых параметров от масштабного фактора, используя только значение параметра плотности вещества Ωm. Масштабный фактор часто используется в космологии. Но нам интересно еще и то, когда все это происходило. Мы можем проинтегрировать уравнение (А.11) и получить

Иллюстрация к книге — Как работает вселенная. Введение в современную космологию [i_123.jpg]

Момент t = 0 соответствует Большому взрыву (строго говоря, концу эпохи инфляции менее чем секунду позже). Возьмем H0 = 68 (км/с)/Мпк. Характерный масштаб времени равен обратному параметру Хаббла H0–1 ≈ 4,54×1017 с ≈ 14,4×109 лет. Мы построили график этой зависимости на рис. 2.9 (слева). Мы также использовали эту зависимость, чтобы преобразовать рис. А.1–А.3 в рис. 2.9 (справа), 2.10 и 2.11.

Из (А.15) получаем закон расширения Вселенной:

Иллюстрация к книге — Как работает вселенная. Введение в современную космологию [i_124.jpg]

Рассчитаем возраст Вселенной T. Это интервал времени от Большого взрыва до «сейчас», которое соответствует a = a0. Таким образом, возраст Вселенной равен

Иллюстрация к книге — Как работает вселенная. Введение в современную космологию [i_125.jpg]

Для сравнения найдем этот возраст в случае, если темная энергия отсутствовала бы. Полагая в формуле (А.20) Ωm= 1 и ΩΛ= 0, получаем T = 2/3H0 ≈ 9,6 млрд лет в полном соответствии с формулой (2.19). Это меньше возраста самых старых звезд.

Литература

Abbott, B. P. et al. (2016a). Observation of Gravitational Waves from a Binary Black Hole Merger, Phys. Rev. Lett., 116, 061102.

Abbott, B. P. et al. (2016b). GW151226: Observation of Gravitational Waves from a 22-Solar-Mass Binary Black Hole Coalescence, Phys. Rev. Lett., 116, 241103.

Aprile, E. et al. (2017). Search for Electronic Recoil Event Rate Modulation with 4 Years of XENON100 Data, arXiv:1701.00769 (astro-ph.CO).

Assis, A. K. T., and Neves, M. C. D. (1995). History of the 2.7 K Temperature Prior to Penzias and Wilson, Apeiron, 2, pp. 79–87.

Cline, D., Simpson, M. (2015). Comparison of DAMA/LIBRA and DM ICE Results using Information Theory to Rule out Dark Matter Claims, arXiv:1504.04633 (astro-ph.HE).

Cline, P. A. (2014). Brief Status of the Direct Search for WIMP Dark Matter, arXiv:1406.5200 (astro-ph.HE).

Kimura M. et al. (2016). Repetitive patterns in rapid optical variations in the nearby black-hole binary V404 Cygni, Nature, 529, pp. 54–58.

Kragh, H. (2012). Quasi-Steady-State and Related Cosmological Models: A Historical Review, arXiv:1201.3449 (physics.hist-ph).

Manalaysay, A. (2011). Recent results in the search for dark matter with noble liquid detectors, arXiv:1106.0037 (hep-ex).

Peter, A. H. G. (2012). Dark Matter, arXiv:1201.3942 (astro-ph.CO).

Suzuki, N. et al. (2012). The Hubble Space Telescope Cluster Supernova Survey: V. Improving the Dark Energy Constraints Above z > 1 and Building an Early-Type-Hosted Supernova Sample, The Astrophysical Journal, 746 (1), 85. DOI: 10.1088/0004-637X/746/1/85.

Гамов Г. Моя мировая линия: неформальная автобиография. – М.: Наука, 1994 (My World Line: An Informal Autobiography. 1st Ed. Viking Adult, USA, 1970).

Булгаков М. Мастер и Маргарита. – М.: Азбука, Азбука-Аттикус, 2016.

Зельдович Я., Новиков И. Строение и эволюция Вселенной. – М.: Наука, 1975.

Вход
Поиск по сайту
Ищем:
Календарь