Книга Как работает вселенная. Введение в современную космологию, страница 57 – Сергей Парновский

Авторы: А Б В Г Д Е Ж З И Й К Л М Н О П Р С Т У Ф Х Ч Ш Ы Э Ю Я
Книги: А Б В Г Д Е Ж З И Й К Л М Н О П Р С Т У Ф Х Ц Ч Ш Щ Ы Э Ю Я
Бесплатная онлайн библиотека LoveRead.ec

Онлайн книга «Как работает вселенная. Введение в современную космологию»

📃 Cтраница 57
Иллюстрация к книге — Как работает вселенная. Введение в современную космологию [i_106.jpg]
Иллюстрация к книге — Как работает вселенная. Введение в современную космологию [i_107.jpg]

Рассмотрим сферу с двумя видами материи. Пылевидная материя создает ускорение (2.24), а космологическая постоянная создает ускорение (А.1). Вместе они обеспечивают ускорение

Иллюстрация к книге — Как работает вселенная. Введение в современную космологию [i_108.jpg]

Вычислим значение параметра замедления q (2.23). Мы получаем:

Иллюстрация к книге — Как работает вселенная. Введение в современную космологию [i_109.jpg]

Обратите внимание: мы получили это важное соотношение без использования ОТО. Мы видим, что расширение Вселенной может быть ускоренным или замедленным в зависимости от соотношения между двумя параметрами плотности. Астрономические наблюдения говорят нам, что теперь оно ускоряется, но до того оно замедлялось вплоть до некого момента в прошлом, когда красное смещение составляло около 0,5. Данные спутника «Планк» в сочетании с некоторыми другими наблюдениями обеспечивают текущие значения ΩΛ ≈ 0,68 и Ωm ≈ 0,32. В соответствии с (A.9) параметр замедления теперь равен q ≈ 0,32/2 – 0,68 = –0,52.

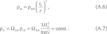
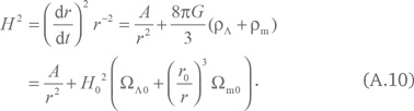
Воспользуемся (2.12), чтобы найти закон эволюции Вселенной в рамках ΛCDM-модели. Мы получаем плотность материи из уравнения (2.8), снабдив величины индексом m: ρm = Br–3. Вместо уравнения (2.12а) получим уравнение, учитывающее влияние космологической постоянной

Иллюстрация к книге — Как работает вселенная. Введение в современную космологию [i_110.jpg]

Оно описывает зависимость H(r). Зависимость t(r) имеет вид

Иллюстрация к книге — Как работает вселенная. Введение в современную космологию [i_111.jpg]

Напомним, что уравнение (2.10) было получено из закона сохранения энергии. Применяя эту интерпретацию к уравнению (А.10), мы видим, что космологическая постоянная вносит в энергию свой вклад, пропорциональный r2, т. е. площади поверхности сферы. Та же зависимость от r будет у энергии поверхностного натяжения сферической оболочки, но с отрицательным коэффициентом поверхностного натяжения. В результате мы пришли к довольно неожиданной нерелятивистской аналогии для космологической постоянной. Эта аналогия, скорее всего, чисто математическая и, вероятно, не имеет особого физического смысла.

Из уравнений (2.11) и (A.10) можно получить обобщение уравнения (2.26) для ΛCDM-модели

Иллюстрация к книге — Как работает вселенная. Введение в современную космологию [i_112.jpg]

В релятивистской космологии значение 1 – Ωm – ΩΛ обозначается Ωk и пропорционально пространственной кривизне Вселенной, взятой с обратным знаком. Ее абсолютная величина уменьшается при q < 0. В результате при ускоренном расширении Вселенной она становится все более плоской. Мы уже имели дело с аналогичной ситуацией сразу же после Большого взрыва во время инфляционного расширения Вселенной, которое мы обсуждали в разделе 3.6.

А.3. Плоская ΛCDM-модель
Иллюстрация к книге — Как работает вселенная. Введение в современную космологию [i_113.jpg]

Астрономические наблюдения дают информацию о том, что наша Вселенная является практически плоской и

Иллюстрация к книге — Как работает вселенная. Введение в современную космологию [i_114.jpg]

Главное свидетельство малой кривизны пространства – это расположение основного максимума в спектре на рис. 3.2, который называется акустическим пиком. При положительной или отрицательной кривизне Вселенной он сдвигается влево или вправо. Плоскостность объясняется теорией инфляции. В эпоху инфляции любые отклонения от плоскостности быстро уменьшались, поэтому в настоящее время выполняется условие (A.13). В результате космологи используют две версии ΛCDM-модели. В первой из них мы используем плоскую модель с

Иллюстрация к книге — Как работает вселенная. Введение в современную космологию [i_115.jpg]

Это условие выполняется постоянно. Другими словами, сумма плотностей материи и материи, имитирующей космологическую постоянную, всегда равна критической плотности. Этот случай соответствует А = 0 в уравнениях (A.10), (A.11).

Вторая версия допускает некоторое незначительное отклонение от плоскостности Вселенной, которое возрастало с течением времени во время расширения с замедлением. В этом случае сумма плотностей материи и космологической постоянной почти равна критической. Естественно, это справедливо лишь с конца космологической инфляции. Инфляция обеспечила прекрасную тонкую настройку параметров плотности, удовлетворяющих условию (A.13) даже через миллиарды лет после ее окончания. Ограничение (A.13) выполняется в настоящее время и будет справедливо всегда из-за ускоренного расширения.

В плоской Вселенной параметр А в уравнениях (A.10) и (A.12) равен нулю. В почти плоской Вселенной все члены с этим параметром дают очень малые вклады в правые части соответствующих уравнений и могут быть отброшены, в результате чего мы получаем плоскую ΛCDM-модель. Она прекрасно описывает эволюцию Вселенной после завершения инфляционного периода.

Нам нужны значения только двух космологических параметров, полученных из наблюдений, а именно – текущее значение параметра плотности Ωm (значение ΩΛ мы находим из условия (А.14)) и параметр Хаббла H0. С их помощью из уравнения (А.10) мы получаем закон изменения со временем постоянной Хаббла

Иллюстрация к книге — Как работает вселенная. Введение в современную космологию [i_116.jpg]

Здесь a0 – это текущий масштабный фактор (часто принимаемый равным единице), а a – зависящий от времени масштабный фактор. Закон (А.15) описывает как прошлое, так и будущее Вселенной. Для эволюции в прошлом мы можем использовать красное смещение z = a0/a – 1. Уравнение (А.15), как и ожидалось, дает текущее значение постоянной Хаббла, равное H0. Значение постоянной Хаббла непрерывно уменьшается:

Вход
Поиск по сайту
Ищем:
Календарь